Suppr超能文献

激波周围的流体动力学和热力学非平衡效应:基于离散玻尔兹曼方法

Hydrodynamic and Thermodynamic Nonequilibrium Effects around Shock Waves: Based on a Discrete Boltzmann Method.

作者信息

Lin Chuandong, Su Xianli, Zhang Yudong

机构信息

Sino-French Institute of Nuclear Engineering and Technology, Sun Yat-Sen University, Zhuhai 519082, China.

Key Laboratory for Thermal Science and Power Engineering of Ministry of Education, Department of Energy and Power Engineering, Tsinghua University, Beijing 100084, China.

出版信息

Entropy (Basel). 2020 Dec 10;22(12):1397. doi: 10.3390/e22121397.

Abstract

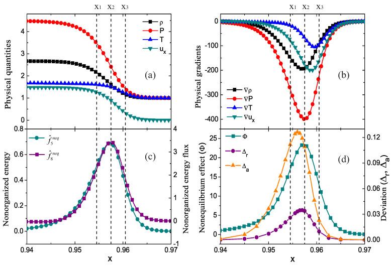
A shock wave that is characterized by sharp physical gradients always draws the medium out of equilibrium. In this work, both hydrodynamic and thermodynamic nonequilibrium effects around the shock wave are investigated using a discrete Boltzmann model. Via Chapman-Enskog analysis, the local equilibrium and nonequilibrium velocity distribution functions in one-, two-, and three-dimensional velocity space are recovered across the shock wave. Besides, the absolute and relative deviation degrees are defined in order to describe the departure of the fluid system from the equilibrium state. The local and global nonequilibrium effects, nonorganized energy, and nonorganized energy flux are also investigated. Moreover, the impacts of the relaxation frequency, Mach number, thermal conductivity, viscosity, and the specific heat ratio on the nonequilibrium behaviours around shock waves are studied. This work is helpful for a deeper understanding of the fine structures of shock wave and nonequilibrium statistical mechanics.

摘要

以急剧物理梯度为特征的激波总是会使介质偏离平衡态。在这项工作中,使用离散玻尔兹曼模型研究了激波周围的流体动力学和热力学非平衡效应。通过查普曼 - 恩斯科格分析,在一维、二维和三维速度空间中恢复了激波两侧的局部平衡和非平衡速度分布函数。此外,定义了绝对和相对偏差度以描述流体系统偏离平衡态的程度。还研究了局部和全局非平衡效应、非组织能和非组织能通量。此外,研究了弛豫频率、马赫数、热导率、粘度和比热容对激波周围非平衡行为的影响。这项工作有助于更深入地理解激波的精细结构和非平衡统计力学。

https://cdn.ncbi.nlm.nih.gov/pmc/blobs/e75a/7763068/7d892f405de5/entropy-22-01397-g0A1.jpg

文献AI研究员

20分钟写一篇综述,助力文献阅读效率提升50倍。

立即体验

用中文搜PubMed

大模型驱动的PubMed中文搜索引擎

马上搜索

文档翻译

学术文献翻译模型,支持多种主流文档格式。

立即体验