Suppr超能文献

通过对基因型×环境互作进行建模,分析国际玉米小麦改良中心(CIMMYT)国际优质春小麦产量试验中的遗传产量增益。

Genetic Yield Gains In CIMMYT's International Elite Spring Wheat Yield Trials By Modeling The Genotype × Environment Interaction.

作者信息

Crespo-Herrera Leonardo A, Crossa Jose, Huerta-Espino Julio, Autrique Enrique, Mondal Suchismita, Velu Govindan, Vargas Mateo, Braun Hans J, Singh Ravi P

机构信息

CIMMYT, Global Wheat Program, Apdo. 0660, Mexico City, México.

Institute Nacional de Investigaciones Forestales Agrícolas y Pecuarias, Campo Experimental Valle de Mexico, Apdo. Postal 10, 56230 Chapingo, Edo. de México, México.

出版信息

Crop Sci. 2017 Mar-Apr;57:789-801. doi: 10.2135/cropsci2016.06.0553. Epub 2017 Jan 12.

Abstract

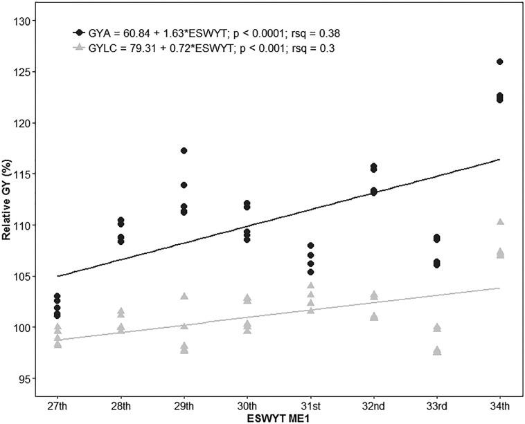
We calculated the annual genetic gains for grain yield (GY) of wheat ( L.) achieved over 8 yr of international Elite Spring Wheat Yield Trials (ESWYT), from 2006-2007 (27th ESWYT) to 2014-2015 (34th ESWYT). In total, 426 locations were classified within three main megaenvironments (MEs): ME1 (optimally irrigated environments), ME4 (drought-stressed environments), and ME5 (heat-stressed environments). By fitting a factor analytical structure for modeling the genotype environment (G E) interaction, we measured GY gains relative to the widely grown cultivar Attila (GYA) and to the local checks (GYLC). Genetic gains for GYA and GYLC across locations were 1.67 and 0.53% (90.1 and 28.7 kg ha yr), respectively. In ME1, genetic gains were 1.63 and 0.72% (102.7 and 46.65 kg ha yr) for GYA and GYLC, respectively. In ME4, genetic gains were 2.7 and 0.41% (88 and 15.45 kg ha yr) for GYA and GYLC, respectively. In ME5, genetic gains were 0.31 and 1.0% (11.28 and 36.6 kg ha yr) for GYA and GYLC, respectively. The high GYA in ME1 and ME4 can be partially attributed to yellow rust races that affect Attila. When G E interactions were not modeled, genetic gains were lower. Analyses showed that CIMMYT's location at Ciudad Obregon, Mexico, is highly correlated with locations in other countries in ME1. Lines that were top performers in more than one ME and more than one country were identified. CIMMYT's breeding program continues to deliver improved and widely adapted germplasm for target environments.

摘要

我们计算了2006 - 2007年(第27届国际优质春小麦产量试验,ESWYT)至2014 - 2015年(第34届ESWYT)这8年间,在国际优质春小麦产量试验中,小麦(L.)籽粒产量(GY)的年度遗传增益。总共426个地点被划分为三个主要的大环境(MEs):ME1(最优灌溉环境)、ME4(干旱胁迫环境)和ME5(热胁迫环境)。通过拟合一个因子分析结构来模拟基因型 - 环境(G - E)互作,我们测量了相对于广泛种植品种阿提拉(GYA)和当地对照(GYLC)的GY增益。各地GYA和GYLC的遗传增益分别为1.67%和0.53%(每年每公顷90.1和28.7千克)。在ME1中,GYA和GYLC的遗传增益分别为1.63%和0.72%(每年每公顷102.7和46.65千克)。在ME4中,GYA和GYLC的遗传增益分别为2.7%和0.41%(每年每公顷88和15.45千克)。在ME5中,GYA和GYLC的遗传增益分别为0.31%和1.0%(每年每公顷11.28和36.6千克)。ME1和ME4中较高的GYA部分可归因于影响阿提拉的条锈菌小种。当未对G - E互作进行建模时,遗传增益较低。分析表明,国际玉米小麦改良中心(CIMMYT)位于墨西哥奥布雷贡市的地点与ME1中其他国家的地点高度相关。确定了在多个ME和多个国家表现优异的品系。CIMMYT的育种计划继续为目标环境提供改良且广泛适应的种质资源。

https://cdn.ncbi.nlm.nih.gov/pmc/blobs/b88a/7680939/92074ac0043d/CROPSCI-57-02-789-g001.jpg

文献AI研究员

20分钟写一篇综述,助力文献阅读效率提升50倍。

立即体验

用中文搜PubMed

大模型驱动的PubMed中文搜索引擎

马上搜索

文档翻译

学术文献翻译模型,支持多种主流文档格式。

立即体验