Department of Urology, Shengjing Hospital of China Medical University, Shenyang 110004, China.
Medical Research Center, Shengjing Hospital of China Medical University, Shenyang 110004, China.
Oxid Med Cell Longev. 2020 Dec 2;2020:2641461. doi: 10.1155/2020/2641461. eCollection 2020.
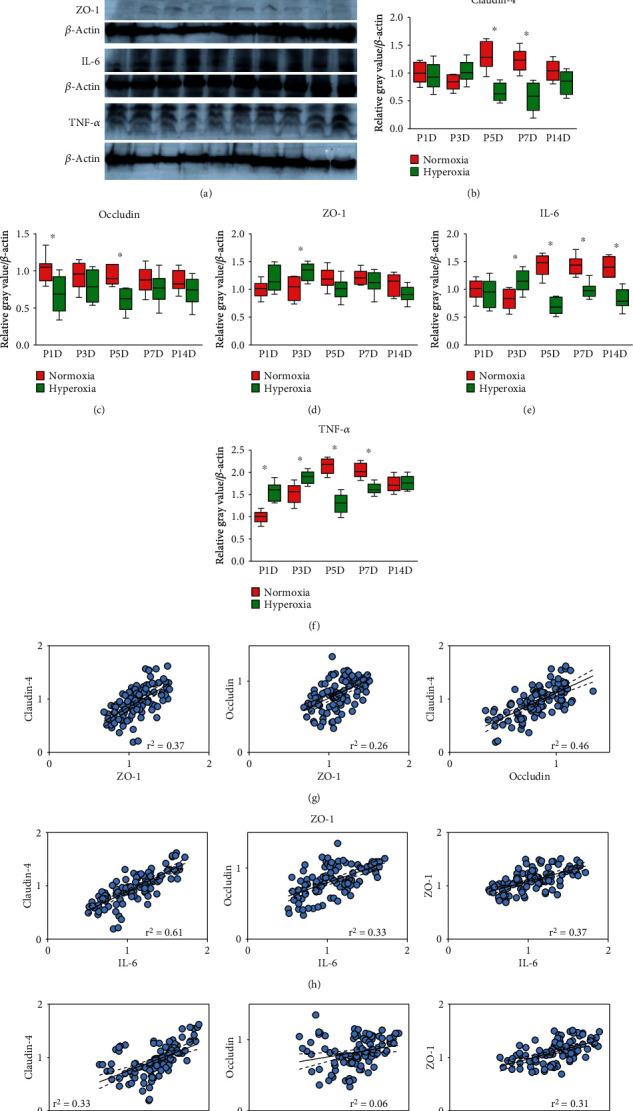
Hyperoxia is essential to manage in preterm infants but causes injury to immature kidney. Previous study indicates that hyperoxia causes oxidative damage to neonatal kidney and impairs renal development. However, the underlying mechanisms by which neonatal hyperoxia effects on immature kidney still need to be elucidated. Tight junction, among which the representative proteins are claudin-4, occludin, and ZO-1, plays a crucial role in nephrogenesis and maintaining renal function. Inflammatory cytokines are involved in the pleiotropic regulation of tight junction proteins. Here, we investigated how neonatal hyperoxia affected the expression of key tight junction proteins and inflammatory factors (IL-6 and TNF-) in the developing rat kidneys and elucidated their correlation with renal injury. We found claudin-4, occludin, and zonula occludens-1 (ZO-1) expression in proximal tubules was significantly downregulated after neonatal hyperoxia. The expression of these tight junction proteins was positively correlated with that of IL-6 and TNF-, while claudin-4 expression was positively correlated with injury score of proximal tubules in mature kidneys. These findings indicated that impaired expression of tight junction proteins in kidney might be a potential mechanism of hyperoxia-induced nephrogenic disorders. It provides new insights to further study oxidative renal injury and development disorders and will be helpful for seeking potential therapeutics for hyperoxia-induced renal injury in the future.
高氧对于早产儿的管理至关重要,但会对未成熟的肾脏造成损伤。先前的研究表明,高氧会导致新生儿肾脏的氧化损伤,并损害肾脏发育。然而,新生儿高氧对未成熟肾脏的影响的潜在机制仍需要阐明。紧密连接在其中,代表性蛋白是 claudin-4、occludin 和 ZO-1,在肾发生和维持肾功能中起着关键作用。炎症细胞因子参与了紧密连接蛋白的多种调节。在这里,我们研究了新生儿高氧如何影响发育中大鼠肾脏中关键紧密连接蛋白和炎症因子(IL-6 和 TNF-)的表达,并阐明了它们与肾脏损伤的相关性。我们发现,近端肾小管中的 claudin-4、occludin 和 zonula occludens-1(ZO-1)表达在新生儿高氧后显著下调。这些紧密连接蛋白的表达与 IL-6 和 TNF-的表达呈正相关,而 claudin-4 的表达与成熟肾脏近端肾小管损伤评分呈正相关。这些发现表明,肾脏中紧密连接蛋白表达的受损可能是高氧诱导的肾发育障碍的潜在机制。它为进一步研究氧化肾损伤和发育障碍提供了新的见解,并有助于未来寻找治疗高氧诱导肾损伤的潜在疗法。