Cater Daniel T, Ealy Aimee R, Kramer Erin, Abu-Sultaneh Samer, Rowan Courtney M
Department of Pediatrics, Division of Critical Care, Indiana University School of Medicine, Indianapolis, IN 46202, USA.
Riley Hospital for Children, Pediatric Critical Care, Indiana University Health, Indianapolis, IN 46202, USA.
Children (Basel). 2020 Dec 17;7(12):303. doi: 10.3390/children7120303.
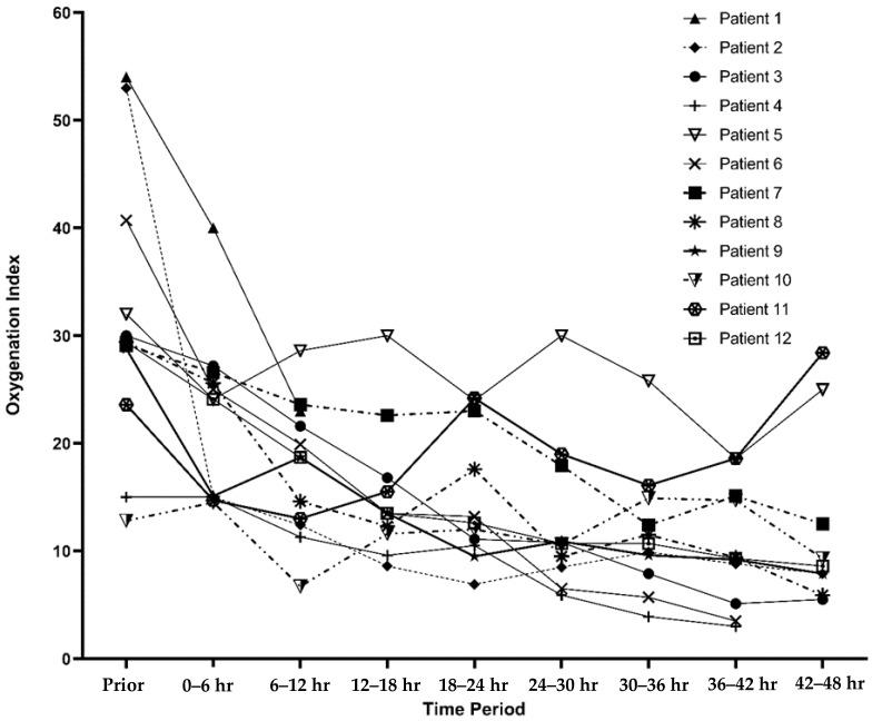
Patients with acute respiratory distress syndrome (ARDS) commonly have dependent atelectasis and heterogeneous lung disease. Due to the heterogenous lung volumes seen, the application of positive end expiratory pressure (PEEP) can have both beneficial and deleterious effects. Alternating supine and prone positioning may be beneficial in ARDS by providing more homogenous distribution of PEEP and decreasing intrapulmonary shunt. In pediatrics, the pediatric acute lung injury and consensus conference (PALICC) recommended to consider it in severe pediatric ARDS (PARDS). Manually prone positioning patients can be burdensome in larger patients. In adults, the use of rotational beds has eased care of these patients. There is little published data about rotational bed therapy in children. Therefore, we sought to describe the use of a rotational bed in children with PARDS. We performed a retrospective case series of children who utilized a rotational bed as an adjunctive therapy for their PARDS. Patient data were collected and analyzed. Descriptive statistical analyses were performed and reported. Oxygenation indices (OI) pre- and post-prone positioning were analyzed. Twelve patients with PARDS were treated with a rotational bed with minimal adverse events. There were no complications noted. Three patients had malfunctioning of their arterial line while on the rotational bed. Oxygenation indices improved over time in 11 of the 12 patients included in the study while on the rotational bed. Rotational beds can be safely utilized in pediatric patients. In larger children with PARDS, where it may be more difficult to perform a manual prone position, use of a rotational bed can be considered a safe alternative.
急性呼吸窘迫综合征(ARDS)患者通常存在肺下叶肺不张和肺部疾病异质性。鉴于所观察到的肺容积异质性,呼气末正压(PEEP)的应用可能既有有益作用,也有有害影响。仰卧位与俯卧位交替可能对ARDS有益,因为它能使PEEP分布更均匀,并减少肺内分流。在儿科,儿科急性肺损伤共识会议(PALICC)建议在重症儿科ARDS(PARDS)中考虑采用这种方法。对于体型较大的患者,手动将其置于俯卧位可能很费力。在成人中,使用旋转床减轻了对这些患者的护理负担。关于儿童旋转床治疗的已发表数据很少。因此,我们试图描述旋转床在PARDS患儿中的应用情况。我们对使用旋转床作为PARDS辅助治疗的患儿进行了一项回顾性病例系列研究。收集并分析了患者数据。进行并报告了描述性统计分析。分析了俯卧位前后的氧合指数(OI)。12例PARDS患儿接受了旋转床治疗,不良事件最少。未观察到并发症。3例患者在旋转床治疗期间动脉导管出现故障。在研究纳入的12例患者中,有11例在旋转床治疗期间氧合指数随时间有所改善。旋转床可安全用于儿科患者。对于体型较大的PARDS患儿,可能更难进行手动俯卧位,此时可考虑使用旋转床作为一种安全的替代方法。