Suppr超能文献

胎粪中粪便钙卫蛋白水平与脐血中维生素D水平的相关性:与肠道窘迫的关联

Correlation between Fecal Calprotectin Levels in Meconium and Vitamin D Levels in Cord Blood: Association with Intestinal Distress.

作者信息

Jung Jae Hoon, Park Sook Hyun

机构信息

Department of Pediatrics, School of Medicine, Kyunpook National University, Daegu 41404, Korea.

Division of Neonatology, Kyunpook National University Chilgok Hospital, Daegu 41404, Korea.

出版信息

J Clin Med. 2020 Dec 18;9(12):4089. doi: 10.3390/jcm9124089.

Abstract

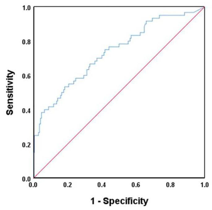
We aimed to investigate the correlation between vitamin D status in cord blood and fecal calprotectin concentrations in meconium, and also find their association with intestinal distress symptoms during the first two weeks of life. Two hundred and twenty-eight newborns were enrolled in the study who were delivered at Kyungpook National University Children's Hospital between July 2016 and August 2017. The first passed meconium samples were collected for fecal calprotectin analysis. Intestinal distress involved infants with necrotizing enterocolitis (NEC) and other feeding interruption signs. The median gestational age of the population was 37.0 (34.3-38.4) weeks, and the median birth weight was 2635 (2100-3268) g. The median fecal calprotectin levels in meconium were 134.1 (55.6-403.2) μg/g (range: 11.5-2000 μg/g) and the median 25-hydroxyvitamin D (25-OHD) concentrations in cord blood were 21.0 (15.5-28.8) ng/mL. Sixty infants (26.3%) had intestinal distress, including four patients (1.8%) diagnosed as having NEC. Higher fecal calprotectin concentrations (398.2 (131.8-900.2) μg/g vs. 105.6 (39.4-248.5) μg/g, < 0.001) and lower 25-OHD levels (17.9 (12.8-22.1) ng/mL vs. 23.2 (17.2-33.0) ng/mL, < 0.001) were found in infants with intestinal distress compared to infants without intestinal distress. The cut-off value was set at 359.8 μg/g with a sensitivity of 0.53 and a specificity of 0.82 for the development of intestinal distress in the first two weeks of life. Serum 25-OHD levels in cord blood were inversely correlated with fecal calprotectin concentrations in meconium.

摘要

我们旨在研究脐血中维生素D状态与胎粪中粪便钙卫蛋白浓度之间的相关性,并找出它们与出生后前两周肠道不适症状的关联。2016年7月至2017年8月期间在庆北国立大学儿童医院分娩的228名新生儿纳入了本研究。收集首次排出的胎粪样本用于粪便钙卫蛋白分析。肠道不适包括患有坏死性小肠结肠炎(NEC)和其他喂养中断迹象的婴儿。研究人群的中位胎龄为37.0(34.3 - 38.4)周,中位出生体重为2635(2100 - 3268)g。胎粪中粪便钙卫蛋白的中位水平为134.1(55.6 - 403.2)μg/g(范围:11.5 - 2000μg/g),脐血中25 - 羟基维生素D(25 - OHD)的中位浓度为21.0(15.5 - 28.8)ng/mL。60名婴儿(26.3%)出现肠道不适,其中4名患者(1.8%)被诊断为患有NEC。与无肠道不适的婴儿相比,有肠道不适的婴儿粪便钙卫蛋白浓度更高(398.2(131.8 - 900.2)μg/g对105.6(39.4 - 248.5)μg/g,<0.001),25 - OHD水平更低(17.9(12.8 - 22.1)ng/mL对23.2(17.2 - 33.0)ng/mL,<0.001)。出生后前两周肠道不适发生的临界值设定为359.8μg/g,敏感性为0.53,特异性为0.82。脐血中血清25 - OHD水平与胎粪中粪便钙卫蛋白浓度呈负相关。

https://cdn.ncbi.nlm.nih.gov/pmc/blobs/3fb0/7766555/3b85884d890d/jcm-09-04089-g001.jpg

文献AI研究员

20分钟写一篇综述,助力文献阅读效率提升50倍。

立即体验

用中文搜PubMed

大模型驱动的PubMed中文搜索引擎

马上搜索

文档翻译

学术文献翻译模型,支持多种主流文档格式。

立即体验