• 文献检索
  • 文档翻译
  • 深度研究
  • 学术资讯
  • Suppr Zotero 插件Zotero 插件
  • 邀请有礼
  • 套餐&价格
  • 历史记录
应用&插件
Suppr Zotero 插件Zotero 插件浏览器插件Mac 客户端Windows 客户端微信小程序
定价
高级版会员购买积分包购买API积分包
服务
文献检索文档翻译深度研究API 文档MCP 服务
关于我们
关于 Suppr公司介绍联系我们用户协议隐私条款
关注我们

Suppr 超能文献

核心技术专利:CN118964589B侵权必究
粤ICP备2023148730 号-1Suppr @ 2026

文献检索

告别复杂PubMed语法,用中文像聊天一样搜索,搜遍4000万医学文献。AI智能推荐,让科研检索更轻松。

立即免费搜索

文件翻译

保留排版,准确专业,支持PDF/Word/PPT等文件格式,支持 12+语言互译。

免费翻译文档

深度研究

AI帮你快速写综述,25分钟生成高质量综述,智能提取关键信息,辅助科研写作。

立即免费体验

用磺胺类药物抑制原生动物病原体的β-碳酸酐酶。

Inhibition of the β-carbonic anhydrase from the protozoan pathogen with sulphonamides.

机构信息

Faculty of Medicine and Health Technology, Tampere University, Tampere, Finland.

Neurofarba Department, Sezione di Chimica Farmaceutica e Nutraceutica, Università degli Studi di Firenze, Firenze, Italy.

出版信息

J Enzyme Inhib Med Chem. 2021 Dec;36(1):329-334. doi: 10.1080/14756366.2020.1863958.

DOI:10.1080/14756366.2020.1863958
PMID:33356653
原文链接:https://pmc.ncbi.nlm.nih.gov/articles/PMC7782162/
Abstract

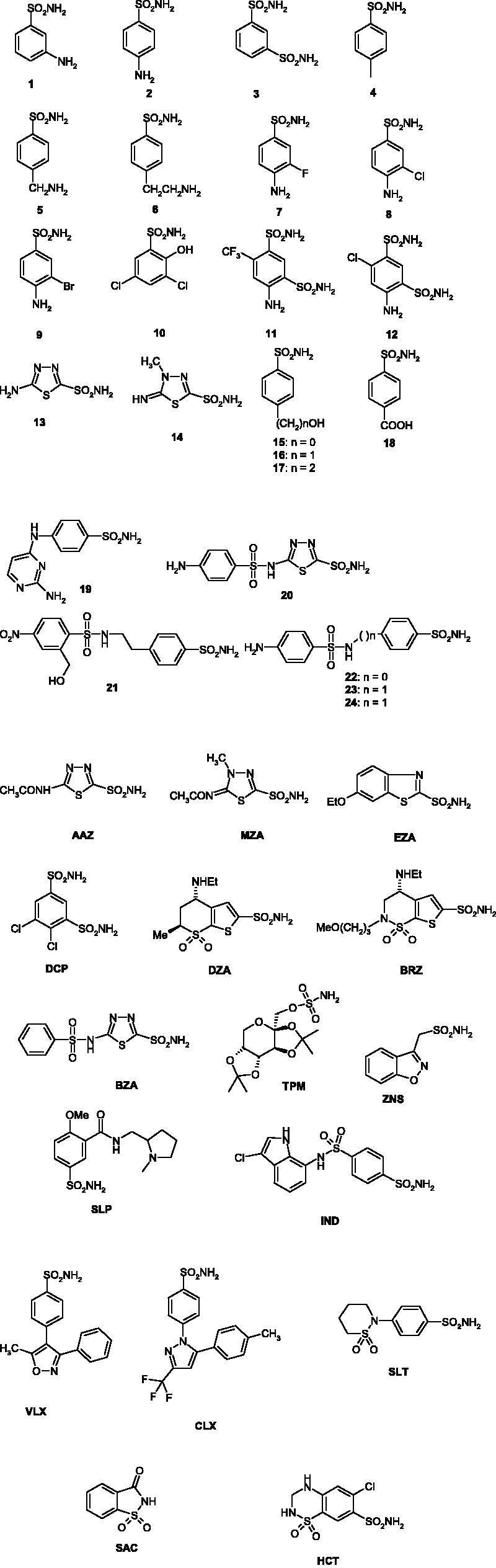
Sulphonamides and their isosteres are classical inhibitors of the carbonic anhydrase (CAs, EC 4.2.1.1) metalloenzymes. The protozoan pathogen encodes two such enzymes belonging to the β-class, TvaCA1 and TvaCA2. Here we report the first sulphonamide inhibition study of TvaCA1, with a series of simple aromatic/heterocyclic primary sulphonamides as well as with clinically approved/investigational drugs for a range of pathologies (diuretics, antiglaucoma, antiepileptic, antiobesity, and antitumor drugs). TvaCA1 was effectively inhibited by acetazolamide and ethoxzolamide, with Ks of 391 and 283 nM, respectively, whereas many other simple or clinically used sulphonamides were micromolar inhibitors or did not efficiently inhibit the enzyme. Finding more effective TvaCA1 inhibitors may constitute an innovative approach for fighting trichomoniasis, a sexually transmitted infection, caused by .

摘要

磺胺类药物及其同系物是碳酸酐酶(CA,EC 4.2.1.1)金属酶的经典抑制剂。原生动物病原体 编码两种属于β类的此类酶,TvaCA1 和 TvaCA2。在这里,我们报告了对 TvaCA1 的第一个磺胺类抑制研究,使用了一系列简单的芳香族/杂环初级磺胺类药物以及一系列用于治疗各种病理的临床批准/研究药物(利尿剂、降眼压药、抗癫痫药、减肥药和抗肿瘤药)。TvaCA1 被乙酰唑胺和乙氧唑胺有效抑制,Ks 值分别为 391 和 283 nM,而许多其他简单或临床使用的磺胺类药物是微摩尔抑制剂或不能有效抑制该酶。寻找更有效的 TvaCA1 抑制剂可能是对抗滴虫病的一种创新方法,滴虫病是一种由 引起的性传播感染。

https://cdn.ncbi.nlm.nih.gov/pmc/blobs/afbe/7782162/84868460c37b/IENZ_A_1863958_F0002_B.jpg
https://cdn.ncbi.nlm.nih.gov/pmc/blobs/afbe/7782162/f651368be265/IENZ_A_1863958_F0001_C.jpg
https://cdn.ncbi.nlm.nih.gov/pmc/blobs/afbe/7782162/84868460c37b/IENZ_A_1863958_F0002_B.jpg
https://cdn.ncbi.nlm.nih.gov/pmc/blobs/afbe/7782162/f651368be265/IENZ_A_1863958_F0001_C.jpg
https://cdn.ncbi.nlm.nih.gov/pmc/blobs/afbe/7782162/84868460c37b/IENZ_A_1863958_F0002_B.jpg

相似文献

1
Inhibition of the β-carbonic anhydrase from the protozoan pathogen with sulphonamides.用磺胺类药物抑制原生动物病原体的β-碳酸酐酶。
J Enzyme Inhib Med Chem. 2021 Dec;36(1):329-334. doi: 10.1080/14756366.2020.1863958.
2
Biochemical and structural characterization of beta-carbonic anhydrase from the parasite Trichomonas vaginalis.阴道毛滴虫β-碳酸酐酶的生化和结构特征。
J Mol Med (Berl). 2022 Jan;100(1):115-124. doi: 10.1007/s00109-021-02148-1. Epub 2021 Oct 15.
3
Inhibition of the newly discovered β‑carbonic anhydrase from the protozoan pathogen Trichomonas vaginalis with inorganic anions and small molecules.新型原生动物病原体阴道毛滴虫β-碳酸酐酶的无机阴离子和小分子抑制剂。
J Inorg Biochem. 2020 Dec;213:111274. doi: 10.1016/j.jinorgbio.2020.111274. Epub 2020 Oct 7.
4
Biochemical and structural characterisation of a protozoan beta-carbonic anhydrase from .原虫β-碳酸酐酶的生化和结构特征研究。
J Enzyme Inhib Med Chem. 2020 Dec;35(1):1292-1299. doi: 10.1080/14756366.2020.1774572.
5
Sulphonamide inhibition studies of the β-carbonic anhydrase from the bacterial pathogen Clostridium perfringens.针对细菌病原体产气荚膜梭菌的β-碳酸酐酶的磺胺类抑制研究。
J Enzyme Inhib Med Chem. 2018 Dec;33(1):31-36. doi: 10.1080/14756366.2017.1388233.
6
Sulfonamide Inhibition Studies of a New β-Carbonic Anhydrase from the Pathogenic Protozoan .新型致病原生动物β-碳酸酐酶的磺胺抑制研究。
Int J Mol Sci. 2018 Dec 8;19(12):3946. doi: 10.3390/ijms19123946.
7
Activation of the β-carbonic anhydrase from the protozoan pathogen with amines and amino acids.用胺类和氨基酸激活原生动物病原体的β-碳酸酐酶。
J Enzyme Inhib Med Chem. 2021 Dec;36(1):758-763. doi: 10.1080/14756366.2021.1897802.
8
-carbonic anhydrase: characterisation and effects of simple aromatic/heterocyclic sulphonamide inhibitors.碳酸酐酶:简单芳香族/杂环磺酰胺抑制剂的特性和影响。
J Enzyme Inhib Med Chem. 2020 Dec;35(1):1545-1554. doi: 10.1080/14756366.2020.1800670.
9
Sulphonamide inhibition studies of the β-carbonic anhydrase GsaCAβ present in the salmon platyhelminth parasite .磺酰胺类抑制剂对鲑鱼扁形动物寄生虫中存在的β-碳酸酐酶 GsaCAβ 的抑制研究。
J Enzyme Inhib Med Chem. 2023 Dec;38(1):2167988. doi: 10.1080/14756366.2023.2167988.
10
The alpha-carbonic anhydrase from the thermophilic bacterium Sulfurihydrogenibium yellowstonense YO3AOP1 is highly susceptible to inhibition by sulfonamides.嗜热硫氢光合菌(Sulfurihydrogenibium yellowstonense YO3AOP1)的阿尔法碳酸酐酶极易受到磺胺类药物的抑制。
Bioorg Med Chem. 2013 Mar 15;21(6):1534-8. doi: 10.1016/j.bmc.2012.07.024. Epub 2012 Jul 23.

引用本文的文献

1
Advances in the Development of Carbonic Anhydrase Inhibitors as New Antiprotozoal Agents.碳酸酐酶抑制剂作为新型抗寄生虫药物的研究进展。
Curr Med Chem. 2024;31(41):6735-6759. doi: 10.2174/0109298673249553231018070920.
2
Activation of the β-carbonic anhydrase from the protozoan pathogen with amines and amino acids.用胺类和氨基酸激活原生动物病原体的β-碳酸酐酶。
J Enzyme Inhib Med Chem. 2021 Dec;36(1):758-763. doi: 10.1080/14756366.2021.1897802.

本文引用的文献

1
Inhibition of the newly discovered β‑carbonic anhydrase from the protozoan pathogen Trichomonas vaginalis with inorganic anions and small molecules.新型原生动物病原体阴道毛滴虫β-碳酸酐酶的无机阴离子和小分子抑制剂。
J Inorg Biochem. 2020 Dec;213:111274. doi: 10.1016/j.jinorgbio.2020.111274. Epub 2020 Oct 7.
2
Carbonic Anhydrase Inhibitors Targeting Metabolism and Tumor Microenvironment.靶向代谢和肿瘤微环境的碳酸酐酶抑制剂
Metabolites. 2020 Oct 14;10(10):412. doi: 10.3390/metabo10100412.
3
Antibacterial carbonic anhydrase inhibitors: an update on the recent literature.
抗菌碳酸酐酶抑制剂:最新文献综述。
Expert Opin Ther Pat. 2020 Dec;30(12):963-982. doi: 10.1080/13543776.2020.1811853. Epub 2020 Sep 3.
4
Optimization of Acetazolamide-Based Scaffold as Potent Inhibitors of Vancomycin-Resistant .基于乙酰唑胺的支架的优化作为万古霉素耐药菌的有效抑制剂。
J Med Chem. 2020 Sep 10;63(17):9540-9562. doi: 10.1021/acs.jmedchem.0c00734. Epub 2020 Aug 11.
5
-carbonic anhydrase: characterisation and effects of simple aromatic/heterocyclic sulphonamide inhibitors.碳酸酐酶:简单芳香族/杂环磺酰胺抑制剂的特性和影响。
J Enzyme Inhib Med Chem. 2020 Dec;35(1):1545-1554. doi: 10.1080/14756366.2020.1800670.
6
Biochemical and structural characterisation of a protozoan beta-carbonic anhydrase from .原虫β-碳酸酐酶的生化和结构特征研究。
J Enzyme Inhib Med Chem. 2020 Dec;35(1):1292-1299. doi: 10.1080/14756366.2020.1774572.
7
Bacterial ι-carbonic anhydrase: a new active class of carbonic anhydrase identified in the genome of the Gram-negative bacterium .细菌 ι-碳酸酐酶:在革兰氏阴性菌基因组中发现的碳酸酐酶的新活性类别。
J Enzyme Inhib Med Chem. 2020 Dec;35(1):1060-1068. doi: 10.1080/14756366.2020.1755852.
8
Tellurides Bearing Sulfonamides as Novel Inhibitors of Leishmanial Carbonic Anhydrase with Potent Antileishmanial Activity.含碲磺胺类化合物作为新型利什曼原虫碳酸酐酶抑制剂的研究 具有很强的抗利什曼活性。
J Med Chem. 2020 Apr 23;63(8):4306-4314. doi: 10.1021/acs.jmedchem.0c00211. Epub 2020 Apr 9.
9
Updates in trichomonas treatment including persistent infection and 5-nitroimidazole hypersensitivity.滴虫治疗的新进展,包括持续性感染和 5-硝基咪唑类药物超敏反应。
Curr Opin Infect Dis. 2020 Feb;33(1):73-77. doi: 10.1097/QCO.0000000000000618.
10
Why hasn't there been more progress in new Chagas disease drug discovery?为什么在新的克氏锥虫病药物发现方面没有取得更多进展?
Expert Opin Drug Discov. 2020 Feb;15(2):145-158. doi: 10.1080/17460441.2020.1681394. Epub 2019 Oct 31.