Suppr超能文献

通过光诱导前沿聚合快速制备多壁碳纳米管/环氧树脂纳米复合材料

Rapid Preparation of MWCNTs/Epoxy Resin Nanocomposites by Photoinduced Frontal Polymerization.

作者信息

Hu Guofeng, Fu Wanli, Ma Yumin, Zhou Jianping, Liang Hongbo, Kang Xinmei, Qi Xiaolin

机构信息

School of Material Science and Engineering, Nanchang Hangkong University, Nanchang 330063, China.

State-Owned Assets Management Division, Nanchang Hangkong University, Nanchang 330063, China.

出版信息

Materials (Basel). 2020 Dec 21;13(24):5838. doi: 10.3390/ma13245838.

Abstract

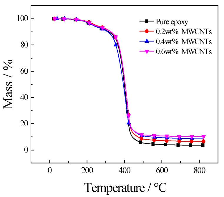
Due to their excellent mechanical and thermal properties and medium resistance, epoxy/carbon nanotubes and nanocomposites have been widely used in many fields. However, the conventional thermosetting process is not only time- and energy-consuming, but also causes the agglomeration of nanofillers, which leads to unsatisfactory properties of the obtained composites. In this study, multi-walled carbon nanotubes (MWCNTs)/epoxy nanocomposites were prepared using UV photoinduced frontal polymerization (PIFP) in a rapid fashion. The addition of MWCNTs modified by a surface carboxylation reaction was found to enhance the impact strength and heat resistance of the epoxy matrix effectively. The experimental results indicate that with 0.4 wt % loading of modified MWCNTs, increases of 462.23% in the impact strength and 57.3 °C in the glass transition temperature were achieved. A high-performance nanocomposite was prepared in only a few minutes using the PIFP approach. Considering its fast, energy-saving, and environmentally friendly production, the PIFP approach displays considerable potential in the field of the fast preparation, repair, and deep curing of nanocomposites and coatings.

摘要

由于具有优异的机械和热性能以及中等电阻,环氧树脂/碳纳米管及其纳米复合材料已在许多领域得到广泛应用。然而,传统的热固性工艺不仅耗时耗能,还会导致纳米填料团聚,从而使所得复合材料的性能不尽人意。在本研究中,采用紫外光诱导前沿聚合(PIFP)快速制备了多壁碳纳米管(MWCNTs)/环氧树脂纳米复合材料。发现添加经表面羧基化反应改性的MWCNTs可有效提高环氧基体的冲击强度和耐热性。实验结果表明,当改性MWCNTs的负载量为0.4 wt%时,冲击强度提高了462.23%,玻璃化转变温度提高了57.3℃。使用PIFP方法仅需几分钟就能制备出高性能纳米复合材料。考虑到其快速、节能和环保的生产特点,PIFP方法在纳米复合材料和涂层的快速制备、修复及深度固化领域显示出巨大潜力。

https://cdn.ncbi.nlm.nih.gov/pmc/blobs/7909/7767450/b1bfaadbed00/materials-13-05838-sch001.jpg

文献AI研究员

20分钟写一篇综述,助力文献阅读效率提升50倍。

立即体验

用中文搜PubMed

大模型驱动的PubMed中文搜索引擎

马上搜索

文档翻译

学术文献翻译模型,支持多种主流文档格式。

立即体验