Suppr超能文献

铕改性醋酸纤维素膜的一步合成及光转换机理

One-Step Synthesis of Eu-Modified Cellulose Acetate Film and Light Conversion Mechanism.

作者信息

Zhang Zhihui, Zhao Zhengdong, Lu Yujia, Wang Di, Wang Chengyu, Li Jian

机构信息

Engineering Research Center of Advanced Wooden Materials (Ministry of Education), Northeast Forestry University, Harbin 150040, China.

Key Laboratory of Bio-based Material Science and Technology (Ministry of Education), Northeast Forestry University, Harbin 150040, China.

出版信息

Polymers (Basel). 2020 Dec 30;13(1):113. doi: 10.3390/polym13010113.

Abstract

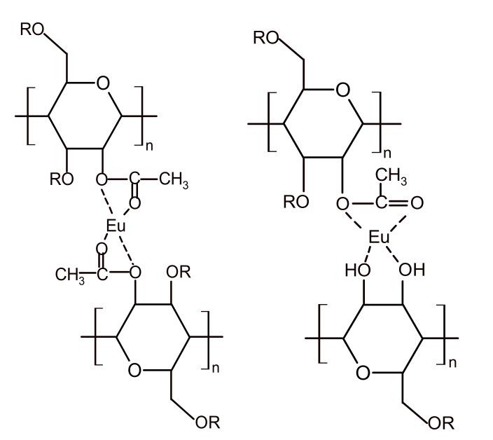
A CA-Eu(III) complex was synthesized by the coordination reaction of cellulose acetate (CA) and Eu to obtain a CA-Eu light conversion film. This product was then doped with Tb(III) to sensitize the luminescence of Eu, which could functionalize the CA film. FTIR and XPS showed that the oxygen atoms in C=O, C-O (O=C-O), and O-H were involved in the complexation with Eu and formed a Eu-O bond. SEM revealed that Eu filled in the pores of the CA film. By changing the experimental conditions, the best fluorescence performance was obtained at the CA: Eu ratio of 3:1 with a reaction time of 65 min. The energy transfer between Tb-Eu could be realized by doping Tb to enhance the luminescence of Eu. The best fluorescence performance of the CA-Eu-Tb light conversion film was at a Eu:Tb ratio of 3:1. Compared with the CA film, the light conversion film has high transparency, high tensile strength, and good flexibility. It can convert the ultraviolet light harmful to plants into red light that is beneficial to photosynthesis. This offers high efficiency and environmental protection in the field of agricultural films.

摘要

通过醋酸纤维素(CA)与铕(Eu)的配位反应合成了一种CA-Eu配合物,以获得CA-Eu光转换膜。然后将该产物掺杂铽(Tb(III))以敏化Eu的发光,从而使CA膜功能化。傅里叶变换红外光谱(FTIR)和X射线光电子能谱(XPS)表明,C=O、C-O(O=C-O)和O-H中的氧原子参与了与Eu的络合反应并形成了Eu-O键。扫描电子显微镜(SEM)显示Eu填充在CA膜的孔隙中。通过改变实验条件,当CA与Eu的比例为3:1且反应时间为65分钟时,获得了最佳荧光性能。通过掺杂Tb可以实现Tb-Eu之间的能量转移,从而增强Eu的发光。CA-Eu-Tb光转换膜的最佳荧光性能出现在Eu:Tb比例为3:1时。与CA膜相比,该光转换膜具有高透明度、高拉伸强度和良好的柔韧性。它可以将对植物有害的紫外光转化为有利于光合作用的红光。这在农用薄膜领域具有高效性和环保性。

https://cdn.ncbi.nlm.nih.gov/pmc/blobs/3948/7795846/f5f1a1298925/polymers-13-00113-g001.jpg

文献检索

告别复杂PubMed语法,用中文像聊天一样搜索,搜遍4000万医学文献。AI智能推荐,让科研检索更轻松。

立即免费搜索

文件翻译

保留排版,准确专业,支持PDF/Word/PPT等文件格式,支持 12+语言互译。

免费翻译文档

深度研究

AI帮你快速写综述,25分钟生成高质量综述,智能提取关键信息,辅助科研写作。

立即免费体验