Suppr超能文献

在接受临床相关剂量的旨在诱导外显子 2 跳跃的 AAV9.U7snRNA 载体的非人类灵长类动物中无毒性。

Lack of Toxicity in Nonhuman Primates Receiving Clinically Relevant Doses of an AAV9.U7snRNA Vector Designed to Induce Exon 2 Skipping.

机构信息

The Center for Gene Therapy, Abigail Wexner Research Institute, Nationwide Children's Hospital.

Charles River Laboratories, Wilmington, Massachusetts, USA.

出版信息

Hum Gene Ther. 2021 Sep;32(17-18):882-894. doi: 10.1089/hum.2020.286. Epub 2021 May 7.

Abstract

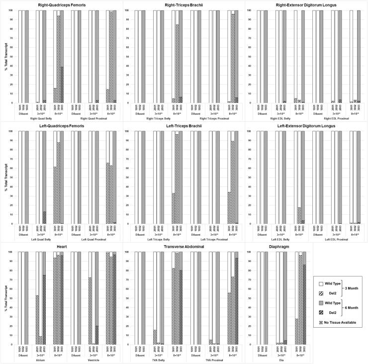
Therapeutic exon skipping as a treatment for Duchenne muscular dystrophy (DMD) has largely concentrated on the delivery of antisense oligomers to treat out-of-frame exon deletions. Here we report on the preclinical development of an adeno-associated virus (AAV)-encapsidated viral vector containing four copies of the noncoding U7 small nuclear RNA (U7snRNA), each targeted to either the splice donor or the splice acceptor sites of exon 2. We have previously shown that delivery of this vector (scAAV9.U7.ACCA) to the Dup2 mouse model results in expression of full-length dystrophin from wild-type mRNA, as well as an internal ribosome entry site (IRES)-driven isoform translated only in the absence of exon 2 (deletion exon 2 [Del2] mRNA). Here we present the data from a rigorous dose escalation toxicity study in nonhuman primates, encompassing two doses (3 × 10 and 8 × 10 vg/kg) and two time points (3 and 6 months postinjection). No evidence for significant toxicity was seen by biochemical, histopathologic, or clinical measures, providing evidence for safety that led to initiation of a first-in-human clinical trial.

摘要

治疗性外显子跳跃作为杜氏肌营养不良症(DMD)的一种治疗方法,主要集中在递送反义寡核苷酸以治疗无框外显子缺失。在这里,我们报告了一种腺相关病毒(AAV)包裹的病毒载体的临床前开发,该载体包含四个非编码 U7 小核 RNA(U7snRNA)拷贝,每个拷贝都针对外显子 2 的剪接受体或供体位点。我们之前已经表明,将这种载体(scAAV9.U7.ACCA)递送到 Dup2 小鼠模型中,会导致野生型 mRNA 表达全长肌营养不良蛋白,以及由内部核糖体进入位点(IRES)驱动的仅在没有外显子 2 的情况下翻译的同工型(缺失外显子 2 [Del2] mRNA)。在这里,我们展示了在非人灵长类动物中进行的严格剂量递增毒性研究的数据,包括两个剂量(3×10 和 8×10 vg/kg)和两个时间点(注射后 3 个月和 6 个月)。生物化学、组织病理学或临床测量均未发现明显毒性的证据,为安全性提供了证据,从而启动了首次人体临床试验。

https://cdn.ncbi.nlm.nih.gov/pmc/blobs/2753/10112461/bda42e3cad16/hum.2020.286_figure1.jpg

文献检索

告别复杂PubMed语法,用中文像聊天一样搜索,搜遍4000万医学文献。AI智能推荐,让科研检索更轻松。

立即免费搜索

文件翻译

保留排版,准确专业,支持PDF/Word/PPT等文件格式,支持 12+语言互译。

免费翻译文档

深度研究

AI帮你快速写综述,25分钟生成高质量综述,智能提取关键信息,辅助科研写作。

立即免费体验