• 文献检索
  • 文档翻译
  • 深度研究
  • 学术资讯
  • Suppr Zotero 插件Zotero 插件
  • 邀请有礼
  • 套餐&价格
  • 历史记录
应用&插件
Suppr Zotero 插件Zotero 插件浏览器插件Mac 客户端Windows 客户端微信小程序
定价
高级版会员购买积分包购买API积分包
服务
文献检索文档翻译深度研究API 文档MCP 服务
关于我们
关于 Suppr公司介绍联系我们用户协议隐私条款
关注我们

Suppr 超能文献

核心技术专利:CN118964589B侵权必究
粤ICP备2023148730 号-1Suppr @ 2026

文献检索

告别复杂PubMed语法,用中文像聊天一样搜索,搜遍4000万医学文献。AI智能推荐,让科研检索更轻松。

立即免费搜索

文件翻译

保留排版,准确专业,支持PDF/Word/PPT等文件格式,支持 12+语言互译。

免费翻译文档

深度研究

AI帮你快速写综述,25分钟生成高质量综述,智能提取关键信息,辅助科研写作。

立即免费体验

儿童心脏手术后左冠状动脉起源于肺动脉(ALCAPA)的长期预后:单中心经验

Long-Term Outcome of the Anomalous Origin of the Left Coronary Artery From the Pulmonary Artery (ALCAPA) in Children After Cardiac Surgery: A Single-Center Experience.

作者信息

Ismail Muna, Jijeh Abdulraouf, Alhuwaymil Rathath M, Alahmari Raneem, Alshahrani Rawan, Almutairi Reem, Habshan Fahad, Shaath Ghassan A

机构信息

Cardiac Sciences Department, Pediatric Cardiology, King Abdulaziz Cardiac Center, Ministry of the National Guard - Health Affairs, Riyadh, SAU.

Cardiac Sciences Department, Pediatric Cardiac Intensive Care Unit, Ministry of National Guard - Health Affairs, Riyadh, SAU.

出版信息

Cureus. 2020 Dec 1;12(12):e11829. doi: 10.7759/cureus.11829.

DOI:10.7759/cureus.11829
PMID:33409071
原文链接:https://pmc.ncbi.nlm.nih.gov/articles/PMC7781494/
Abstract

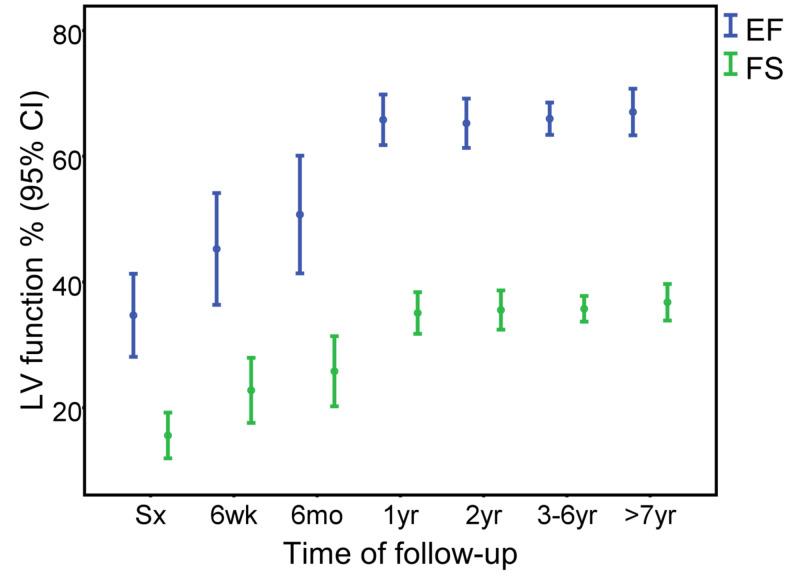
Background The anomalous origin of the left coronary artery from the pulmonary artery (ALCAPA) is a rare congenital coronary artery anomaly. It induces left ventricular (LV) dysfunction and mitral valve regurgitation (MR). If untreated, survival beyond infancy is rare. The aim of our study was to analyze the outcome in children with ALCAPA after cardiac surgery. Methods We retrospectively reviewed all patients who were diagnosed at our institution with ALCAPA and underwent surgical repair from 1999 to the end of 2018 (for 20 years). We followed LV dimensions, function, the progress of MV regurgitation, and the somatic growth of children after surgical repair. Results Twenty-nine patients underwent ALCAPA repair while 15 (52%) patients were male. The median age at surgical repair was 5.3 (IQR: 3.8-7.4) months and the mean weight was 5.5±2 kg. Surgical repair was performed in form of coronary reimplantation in 26 (90%) patients and Takeuchi repair in three (10%) patients. Intensive care unit (ICU) stay was eight (IQR: 6-17) days and hospital stay was 15 (IQR: 12-21) days. The follow-up duration was 5±3.6 years. Echocardiographic parameters started to improve by six weeks after the repair, and they normalized by one year. At the time of surgery ejection fraction (EF) was 34±17%, fractional shortening (FS) was 15±10%, and LV inner diameter in diastole (LVIDD) z score was 5.7±2.8. These parameters improved by one year after surgery to 66±7%, 34±6%, and 0±1.3, respectively. However, somatic growth started to improve six months after surgical repair. MR was moderate to severe in seven (24%) patients at the time of surgery and regressed to no more moderate nor severe MR at the last follow-up. None of the 29 patients died. Conclusions LV systolic function and dimensions start to improve by six weeks after surgery and reach normal values by one year. MR regresses without intervention in correspondence with the regression of LV dimensional parameters. The somatic growth of children improves six months after repair.

摘要

背景 左冠状动脉起源于肺动脉(ALCAPA)是一种罕见的先天性冠状动脉异常。它会导致左心室(LV)功能障碍和二尖瓣反流(MR)。若不治疗,婴儿期后的存活率很低。我们研究的目的是分析接受心脏手术后患有ALCAPA的儿童的治疗结果。方法 我们回顾性分析了1999年至2018年底(共20年)在我们机构被诊断为ALCAPA并接受手术修复的所有患者。我们跟踪了手术修复后儿童的左心室尺寸、功能、二尖瓣反流的进展以及身体生长情况。结果 29例患者接受了ALCAPA修复,其中15例(52%)为男性。手术修复时的中位年龄为5.3(四分位间距:3.8 - 7.4)个月,平均体重为5.5±2千克。26例(90%)患者以冠状动脉再植入的形式进行手术修复,3例(10%)患者进行了竹内修复。重症监护病房(ICU)住院时间为8(四分位间距:6 - 17)天,住院时间为15(四分位间距:12 - 21)天。随访时间为5±3.6年。超声心动图参数在修复后六周开始改善,并在一年后恢复正常。手术时射血分数(EF)为34±17%,缩短分数(FS)为15±10%,舒张期左心室内径(LVIDD)z评分为5.7±2.8。这些参数在手术后一年分别改善到66±7%、34±6%和0±1.3。然而,身体生长在手术修复后六个月开始改善。手术时7例(24%)患者的二尖瓣反流为中度至重度,在最后一次随访时退化为不再是中度或重度二尖瓣反流。29例患者均未死亡。结论 左心室收缩功能和尺寸在手术后六周开始改善,并在一年后达到正常值。二尖瓣反流在无干预的情况下随着左心室尺寸参数的消退而消退。儿童的身体生长在修复后六个月改善。

https://cdn.ncbi.nlm.nih.gov/pmc/blobs/c936/7781494/2a9db6a0fe41/cureus-0012-00000011829-i04.jpg
https://cdn.ncbi.nlm.nih.gov/pmc/blobs/c936/7781494/b0ee9d886636/cureus-0012-00000011829-i01.jpg
https://cdn.ncbi.nlm.nih.gov/pmc/blobs/c936/7781494/5f5e35095063/cureus-0012-00000011829-i02.jpg
https://cdn.ncbi.nlm.nih.gov/pmc/blobs/c936/7781494/09be8c530757/cureus-0012-00000011829-i03.jpg
https://cdn.ncbi.nlm.nih.gov/pmc/blobs/c936/7781494/2a9db6a0fe41/cureus-0012-00000011829-i04.jpg
https://cdn.ncbi.nlm.nih.gov/pmc/blobs/c936/7781494/b0ee9d886636/cureus-0012-00000011829-i01.jpg
https://cdn.ncbi.nlm.nih.gov/pmc/blobs/c936/7781494/5f5e35095063/cureus-0012-00000011829-i02.jpg
https://cdn.ncbi.nlm.nih.gov/pmc/blobs/c936/7781494/09be8c530757/cureus-0012-00000011829-i03.jpg
https://cdn.ncbi.nlm.nih.gov/pmc/blobs/c936/7781494/2a9db6a0fe41/cureus-0012-00000011829-i04.jpg

相似文献

1
Long-Term Outcome of the Anomalous Origin of the Left Coronary Artery From the Pulmonary Artery (ALCAPA) in Children After Cardiac Surgery: A Single-Center Experience.儿童心脏手术后左冠状动脉起源于肺动脉(ALCAPA)的长期预后:单中心经验
Cureus. 2020 Dec 1;12(12):e11829. doi: 10.7759/cureus.11829.
2
Surgical management of anomalous origin of coronary artery from pulmonary artery.肺动脉起源异常冠状动脉的外科治疗
Indian J Thorac Cardiovasc Surg. 2021 Jan;37(Suppl 1):131-143. doi: 10.1007/s12055-021-01147-8. Epub 2021 Jan 28.
3
Surgical Intervention for Anomalous Origin of Left Coronary Artery From the Pulmonary Artery in Children: A Long-Term Follow-Up.儿童左冠状动脉起源于肺动脉异常的外科干预:长期随访
Ann Thorac Surg. 2016 May;101(5):1842-8. doi: 10.1016/j.athoracsur.2015.11.020. Epub 2016 Feb 18.
4
Mid-Term Outcome for Anomalous Origin of the Left Coronary Artery From the Pulmonary Artery.左冠状动脉异常起源于肺动脉的中期结果。
Heart Lung Circ. 2020 May;29(5):766-771. doi: 10.1016/j.hlc.2019.04.018. Epub 2019 May 24.
5
Anomalous origin of left coronary artery from pulmonary artery: recovery of left ventricular function after dual coronary repair.左冠状动脉起源于肺动脉异常:双冠状动脉修复术后左心室功能的恢复
J Am Coll Cardiol. 1997 Aug;30(2):547-53. doi: 10.1016/s0735-1097(97)00175-7.
6
Outcomes of anomalous left coronary artery from pulmonary artery repair: beyond normal function.肺动脉起源异常性左冠状动脉修复的结果:超越正常功能。
Ann Thorac Surg. 2015 Apr;99(4):1342-7. doi: 10.1016/j.athoracsur.2014.12.035. Epub 2015 Feb 26.
7
Surgical Outcomes of Anomalous Origin of the Left Coronary Artery from the Pulmonary Artery in Children: An Echocardiography Follow-up.左冠状动脉异常起源于肺动脉的儿童的手术结果:超声心动图随访。
Chin Med J (Engl). 2017 Oct 5;130(19):2333-2338. doi: 10.4103/0366-6999.215334.
8
Mid-term outcomes of surgical repair for anomalous origin of the left coronary artery from the pulmonary artery: In infants, children and adults.肺动脉起源的左冠状动脉异常外科修复的中期结果:婴儿、儿童及成人。
Ann Pediatr Cardiol. 2017 May-Aug;10(2):137-143. doi: 10.4103/0974-2069.205140.
9
Long-term outcome after anomalous left coronary artery from the pulmonary artery repair: a 40-year single-centre experience.动脉导管未闭结扎术后残余分流的介入治疗:40 年单中心经验。
Eur J Cardiothorac Surg. 2018 Apr 1;53(4):732-739. doi: 10.1093/ejcts/ezx407.
10
Left ventricular and mitral valve function long after repair of left anomalous coronary artery from the pulmonary artery: recovery years after severe ischemia.肺动脉起源异常的左冠状动脉修复术后很长时间的左心室和二尖瓣功能:严重缺血多年后的恢复情况
World J Pediatr Congenit Heart Surg. 2012 Jul 1;3(3):321-7. doi: 10.1177/2150135111431844.

引用本文的文献

1
A Meta-Analysis of Mitral Surgery in Patients Undergoing Surgery for Anomalous Left Coronary Artery: When to Perform Repair?异常左冠状动脉患者二尖瓣手术的Meta分析:何时进行修复?
Pediatr Cardiol. 2024 Dec 16. doi: 10.1007/s00246-024-03712-5.
2
Anatomical Variants of the Origin of the Coronary Arteries: A Systematic Review and Meta-Analysis of Prevalence.冠状动脉起源的解剖变异:患病率的系统评价与荟萃分析
Diagnostics (Basel). 2024 Jul 8;14(13):1458. doi: 10.3390/diagnostics14131458.
3
The utility of speckle-tracking echocardiography in early and midterm follow-up after anomalous origin of the left coronary artery from the pulmonary artery repair.

本文引用的文献

1
Anomalous origin of the left coronary artery from the pulmonary artery (ALCAPA) diagnosed in children and adolescents.儿童和青少年中诊断出的左冠状动脉起源于肺动脉异常(ALCAPA)。
J Cardiothorac Surg. 2020 May 12;15(1):90. doi: 10.1186/s13019-020-01116-z.
2
Surgical Outcomes of Anomalous Origin of the Left Coronary Artery from the Pulmonary Artery in Children: An Echocardiography Follow-up.左冠状动脉异常起源于肺动脉的儿童的手术结果:超声心动图随访。
Chin Med J (Engl). 2017 Oct 5;130(19):2333-2338. doi: 10.4103/0366-6999.215334.
3
Anomalous Origin of the Left Coronary Artery from the Pulmonary Artery: The Role of Multislice Computed Tomography (MSCT).
斑点追踪超声心动图在左冠状动脉起源于肺动脉修复术后早期和中期随访中的应用
Ann Pediatr Cardiol. 2023 May-Jun;16(3):208-211. doi: 10.4103/apc.apc_10_23. Epub 2023 Sep 8.
4
Ostial stenosis of reimplanted left main coronary artery and supravalvular pulmonary stenosis: a case report of two complications of surgery for anomalous left coronary artery from the pulmonary artery.再植左主冠状动脉开口狭窄及肺动脉瓣上狭窄:一例源于肺动脉的异常左冠状动脉手术两种并发症的病例报告
Eur Heart J Case Rep. 2023 May 2;7(5):ytad230. doi: 10.1093/ehjcr/ytad230. eCollection 2023 May.
左冠状动脉起源于肺动脉异常:多层螺旋计算机断层扫描(MSCT)的作用。
Oman Med J. 2016 Sep;31(5):387-9. doi: 10.5001/omj.2016.77.
4
Surgical Intervention for Anomalous Origin of Left Coronary Artery From the Pulmonary Artery in Children: A Long-Term Follow-Up.儿童左冠状动脉起源于肺动脉异常的外科干预:长期随访
Ann Thorac Surg. 2016 May;101(5):1842-8. doi: 10.1016/j.athoracsur.2015.11.020. Epub 2016 Feb 18.
5
The radiologist's tragedy, or Bland-White-Garland syndrome (BWGS). On the 80(th) anniversary of the first clinical description of ALCAPA (anomalous left coronary artery from the pulmonary artery).放射科医生的悲剧,即布兰德-怀特-加兰综合征(BWGS)。在首次对左冠状动脉起源于肺动脉异常(ALCAPA)进行临床描述80周年之际。
Kardiochir Torakochirurgia Pol. 2014 Jun;11(2):225-9. doi: 10.5114/kitp.2014.43857. Epub 2014 Jun 29.
6
Outcomes of anomalous left coronary artery from pulmonary artery repair: beyond normal function.肺动脉起源异常性左冠状动脉修复的结果:超越正常功能。
Ann Thorac Surg. 2015 Apr;99(4):1342-7. doi: 10.1016/j.athoracsur.2014.12.035. Epub 2015 Feb 26.
7
Twenty-year outcome of anomalous origin of left coronary artery from pulmonary artery: management of mitral regurgitation.左冠状动脉起源于肺动脉的 20 年结果:二尖瓣反流的处理。
Ann Thorac Surg. 2014 Mar;97(3):938-44. doi: 10.1016/j.athoracsur.2013.11.042. Epub 2014 Jan 28.
8
Repair of anomalous origin of the left coronary artery from the pulmonary artery in infants.婴儿左冠状动脉起源于肺动脉异常的修复术。
Interact Cardiovasc Thorac Surg. 2013 Jun;16(6):797-801. doi: 10.1093/icvts/ivt061. Epub 2013 Feb 26.
9
Repair of anomalous origin of the left coronary artery from the pulmonary artery in infants and children.婴儿和儿童中左冠状动脉异常起源于肺动脉的修复。
J Thorac Cardiovasc Surg. 2011 Oct;142(4):868-74. doi: 10.1016/j.jtcvs.2011.04.006. Epub 2011 Jun 14.
10
Recommendations for quantification methods during the performance of a pediatric echocardiogram: a report from the Pediatric Measurements Writing Group of the American Society of Echocardiography Pediatric and Congenital Heart Disease Council.小儿超声心动图检查期间定量方法的建议:美国超声心动图学会小儿与先天性心脏病委员会小儿测量写作组的报告
J Am Soc Echocardiogr. 2010 May;23(5):465-95; quiz 576-7. doi: 10.1016/j.echo.2010.03.019.