Ganesh N Vishnu, Javed Shumaila, Al-Mdallal Qasem M, Kalaivanan R, Chamkha Ali J
PG and Research Department of Mathematics, Ramakrishna Mission Vivekananda College, Mylapore, Chennai, 600004, Tamil Nadu, India.
Department of Mathematical Sciences, United Arab Emirates University, P.O. Box 15551, Al Ain, Abu Dhabi, United Arab Emirates.
Heliyon. 2020 Dec 28;6(12):e05752. doi: 10.1016/j.heliyon.2020.e05752. eCollection 2020 Dec.
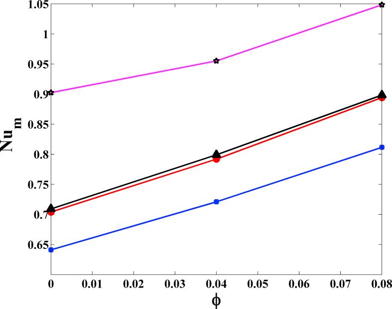
A numerical research on uniformly heat generating nanofluid filled square cavity with multiple obstacles of different shapes is carried out. The cavity is assumed to be heated at bottom and cooled by vertical walls with linearly varying temperature. An adiabatic condition is assumed at the top of the cavity. Circular, square and triangular shaped obstacles are considered. The mathematical model has been solved using Galerkin finite element method. Results are presented for streamlines, isotherms, local and mean Nusselt numbers. Multiple rotating cells are observed in the streamlines. It is found that the local and mean Nusselt numbers increase with nanoparticle volume fraction and higher heat transfer is achieved in the cavity with triangular obstacles.
对充满均匀发热纳米流体且带有多个不同形状障碍物的方形空腔进行了数值研究。假定该空腔底部受热,垂直壁面以线性变化的温度进行冷却。假定空腔顶部为绝热条件。考虑了圆形、方形和三角形障碍物。使用伽辽金有限元法求解了数学模型。给出了流线、等温线、局部和平均努塞尔数的结果。在流线中观察到多个旋转单元。发现局部和平均努塞尔数随纳米颗粒体积分数增加,且在带有三角形障碍物的空腔中实现了更高的热传递。