• 文献检索
  • 文档翻译
  • 深度研究
  • 学术资讯
  • Suppr Zotero 插件Zotero 插件
  • 邀请有礼
  • 套餐&价格
  • 历史记录
应用&插件
Suppr Zotero 插件Zotero 插件浏览器插件Mac 客户端Windows 客户端微信小程序
定价
高级版会员购买积分包购买API积分包
服务
文献检索文档翻译深度研究API 文档MCP 服务
关于我们
关于 Suppr公司介绍联系我们用户协议隐私条款
关注我们

Suppr 超能文献

核心技术专利:CN118964589B侵权必究
粤ICP备2023148730 号-1Suppr @ 2026

文献检索

告别复杂PubMed语法,用中文像聊天一样搜索,搜遍4000万医学文献。AI智能推荐,让科研检索更轻松。

立即免费搜索

文件翻译

保留排版,准确专业,支持PDF/Word/PPT等文件格式,支持 12+语言互译。

免费翻译文档

深度研究

AI帮你快速写综述,25分钟生成高质量综述,智能提取关键信息,辅助科研写作。

立即免费体验

脑动脉瘤夹闭术后基于径向采集和减法的磁共振血管造影中逐点编码时间减少的效用

Usefulness of Pointwise Encoding Time Reduction with Radial Acquisition and Subtraction-Based Magnetic Resonance Angiography after Cerebral Aneurysm Clipping.

作者信息

Nishikawa Akihiro, Kakizawa Yukinari, Wada Naomichi, Yamamoto Yasunaga, Katsuki Masahito, Uchiyama Toshiya

机构信息

Department of Neurosurgery, Suwa Red Cross Hospital, Suwa, Nagano, Japan.

出版信息

World Neurosurg X. 2020 Dec 4;9:100096. doi: 10.1016/j.wnsx.2020.100096. eCollection 2021 Jan.

DOI:10.1016/j.wnsx.2020.100096
PMID:33426517
原文链接:https://pmc.ncbi.nlm.nih.gov/articles/PMC7776957/
Abstract

OBJECTIVE

Time-of-flight magnetic resonance angiography (MRA) is limited by clip-induced artifacts after cerebral aneurysmal clipping. Recently, ultrashort echo time was shown to reduce metal artifacts. We assessed the pointwise encoding time reduction with radial acquisition (PETRA) sequence in subtraction-based MRA as an ultrashort echo time method during follow-up for clipping surgery.

METHODS

We retrospectively evaluated 114 branches of 63 aneurysms in 56 patients treated with titanium clips using MRA and 3-dimensional computed tomography angiography. The appearance using each method was compared, and the associations between visibility on PETRA-MRA, clip number and shape, and amount of hematoma were examined. Furthermore, the visibility of the aneurysm remnants and 2 clipping cases with cobalt-chromium-nickel-molybdenum clips were evaluated.

RESULTS

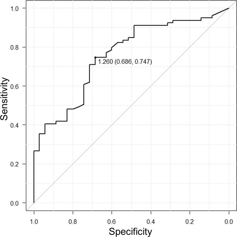
No branches were visible using time-of-flight-MRA, but 79 of 114 branches (69.3%) were visible on PETRA-MRA. PETRA-MRA was effective for follow-up imaging in 33 of 63 aneurysms (52.4%). The median vessel diameters were 1.67 mm (interquartile range, 1.24-2.62 mm) and 0.96 mm (interquartile range, 0.59-1.53 mm) in the visible and invisible groups, respectively. Only the vessel diameter correlated significantly ( < 0.001) with the visibility on PETRA-MRA. A receiver operating characteristic curve for the association between the vessel diameter and visibility on PETRA-MRA showed a cutoff value of 1.26 mm for vessel diameter. Cobalt-chromium-nickel-molybdenum clips produced a strong artifact, even on PETRA-MRA. All 4 residual aneurysms were visible on PETRA-MRA.

CONCLUSIONS

PETRA-MRA can be useful for follow-up aneurysm imaging when the diameter of vessels adjacent to the clip exceeds 1.26 mm. However, its usefulness is limited to titanium clips.

摘要

目的

飞行时间磁共振血管造影(MRA)在脑动脉瘤夹闭术后受夹子引起的伪影限制。最近,超短回波时间已被证明可减少金属伪影。我们评估了基于减法的MRA中采用径向采集的逐点编码时间减少(PETRA)序列作为超短回波时间方法在夹闭手术随访中的应用。

方法

我们回顾性评估了56例使用钛夹治疗的患者中63个动脉瘤的114个分支,采用MRA和三维计算机断层血管造影。比较了每种方法的表现,并研究了PETRA - MRA上的可见性、夹子数量和形状以及血肿量之间的关联。此外,评估了动脉瘤残余的可见性以及2例使用钴铬镍钼夹的夹闭病例。

结果

飞行时间MRA未显示任何分支,但114个分支中的79个(69.3%)在PETRA - MRA上可见。PETRA - MRA对63个动脉瘤中的33个(52.4%)的随访成像有效。可见组和不可见组的血管直径中位数分别为1.67 mm(四分位间距,1.24 - 2.62 mm)和0.96 mm(四分位间距,0.59 - 1.53 mm)。只有血管直径与PETRA - MRA上的可见性显著相关(<0.001)。血管直径与PETRA - MRA上可见性之间关联的受试者工作特征曲线显示血管直径的截断值为1.26 mm。即使在PETRA - MRA上,钴铬镍钼夹也产生强烈伪影。所有4个残余动脉瘤在PETRA - MRA上均可见。

结论

当夹附近血管直径超过1.26 mm时,PETRA - MRA可用于动脉瘤随访成像。然而,其用途仅限于钛夹。

https://cdn.ncbi.nlm.nih.gov/pmc/blobs/5eb7/7776957/023026cb4b2f/gr7.jpg
https://cdn.ncbi.nlm.nih.gov/pmc/blobs/5eb7/7776957/d47000c1b960/gr1.jpg
https://cdn.ncbi.nlm.nih.gov/pmc/blobs/5eb7/7776957/26b7df74037b/gr2.jpg
https://cdn.ncbi.nlm.nih.gov/pmc/blobs/5eb7/7776957/d020d9902288/gr3.jpg
https://cdn.ncbi.nlm.nih.gov/pmc/blobs/5eb7/7776957/70a7e02450ae/gr4.jpg
https://cdn.ncbi.nlm.nih.gov/pmc/blobs/5eb7/7776957/96ac1cdced68/gr5.jpg
https://cdn.ncbi.nlm.nih.gov/pmc/blobs/5eb7/7776957/d51b7466718b/gr6.jpg
https://cdn.ncbi.nlm.nih.gov/pmc/blobs/5eb7/7776957/023026cb4b2f/gr7.jpg
https://cdn.ncbi.nlm.nih.gov/pmc/blobs/5eb7/7776957/d47000c1b960/gr1.jpg
https://cdn.ncbi.nlm.nih.gov/pmc/blobs/5eb7/7776957/26b7df74037b/gr2.jpg
https://cdn.ncbi.nlm.nih.gov/pmc/blobs/5eb7/7776957/d020d9902288/gr3.jpg
https://cdn.ncbi.nlm.nih.gov/pmc/blobs/5eb7/7776957/70a7e02450ae/gr4.jpg
https://cdn.ncbi.nlm.nih.gov/pmc/blobs/5eb7/7776957/96ac1cdced68/gr5.jpg
https://cdn.ncbi.nlm.nih.gov/pmc/blobs/5eb7/7776957/d51b7466718b/gr6.jpg
https://cdn.ncbi.nlm.nih.gov/pmc/blobs/5eb7/7776957/023026cb4b2f/gr7.jpg

相似文献

1
Usefulness of Pointwise Encoding Time Reduction with Radial Acquisition and Subtraction-Based Magnetic Resonance Angiography after Cerebral Aneurysm Clipping.脑动脉瘤夹闭术后基于径向采集和减法的磁共振血管造影中逐点编码时间减少的效用
World Neurosurg X. 2020 Dec 4;9:100096. doi: 10.1016/j.wnsx.2020.100096. eCollection 2021 Jan.
2
The dataset on the clipped cerebral aneurysm and their radiological findings in three-dimensional computed tomography, time-of-flight magnetic resonance angiography (TOF-MRA), and Pointwise Encoding Time Reduction with Radial Acquisition (PETRA)-MRA.关于三维计算机断层扫描、时间飞跃磁共振血管造影(TOF-MRA)和径向采集逐点编码时间减少(PETRA)-MRA中夹闭脑动脉瘤及其放射学表现的数据集。
Data Brief. 2021 Feb 13;35:106874. doi: 10.1016/j.dib.2021.106874. eCollection 2021 Apr.
3
Diagnostic Performance of Pointwise Encoding Time Reduction with Radial Acquisition Subtraction-based MR Angiography in the Follow-up of Intracranial Aneurysms after Clipping.基于径向采集相减的点编码时间缩短技术在夹闭术后颅内动脉瘤随访中磁共振血管成像的诊断性能。
Clin Neuroradiol. 2024 Sep;34(3):597-603. doi: 10.1007/s00062-024-01399-y. Epub 2024 Mar 8.
4
Follow-up imaging of clipped intracranial aneurysms with 3-T MRI: comparison between 3D time-of-flight MR angiography and pointwise encoding time reduction with radial acquisition subtraction-based MR angiography.采用3-T磁共振成像对夹闭颅内动脉瘤进行随访成像:3D时间飞跃磁共振血管造影与基于径向采集减法的点编码时间减少磁共振血管造影的比较
J Neurosurg. 2021 Oct 29;136(5):1260-1265. doi: 10.3171/2021.7.JNS211197. Print 2022 May 1.
5
Usefulness of pointwise encoding time reduction with radial acquisition sequence in subtraction-based magnetic resonance angiography for follow-up of the Neuroform Atlas stent-assisted coil embolization for cerebral aneurysms.基于点编码时间缩短的径向采集序列在Neuroform Atlas 支架辅助弹簧圈栓塞治疗脑动脉瘤后的磁共振血管造影随访中的应用。
Acta Radiol. 2021 Sep;62(9):1193-1199. doi: 10.1177/0284185120952784. Epub 2020 Aug 31.
6
Ultrashort Echo Time Magnetic Resonance Angiography in Follow-up of Intracranial Aneurysms Treated With Endovascular Coiling: Comparison of Time-of-Flight, Pointwise Encoding Time Reduction With Radial Acquisition, and Contrast-Enhanced Magnetic Resonance Angiography.超短回波时间磁共振血管造影术在血管内栓塞治疗颅内动脉瘤随访中的应用:飞行时间法、径向采集的逐点编码时间减少法与对比增强磁共振血管造影术的比较
Neurosurgery. 2021 Jan 13;88(2):E179-E189. doi: 10.1093/neuros/nyaa467.
7
Magnetic resonance angiography with ultrashort echo time evaluates cerebral aneurysm with clip.超短回波时间磁共振血管造影术评估带夹脑动脉瘤。
Surg Neurol Int. 2020 Apr 11;11:65. doi: 10.25259/SNI_59_2020. eCollection 2020.
8
Usefulness of 3 Tesla Ultrashort Echo Time Magnetic Resonance Angiography (UTE-MRA, SILENT-MRA) for Evaluation of the Mother Vessel after Cerebral Aneurysm Clipping: Case Series of 19 Patients.3 特斯拉超短回波时间磁共振血管成像(UTE-MRA,SILENT-MRA)在评价大脑动脉瘤夹闭术后母血管中的应用:19 例患者的病例系列。
Neurol Med Chir (Tokyo). 2021 Mar 15;61(3):193-203. doi: 10.2176/nmc.oa.2020-0336. Epub 2021 Jan 27.
9
Pointwise encoding time reduction with radial acquisition in subtraction-based magnetic resonance angiography to assess saccular unruptured intracranial aneurysms at 3 Tesla.基于减法的磁共振血管造影中径向采集的点编码时间缩短,以评估 3T 下的囊状未破裂颅内动脉瘤。
Neuroradiology. 2021 Feb;63(2):189-199. doi: 10.1007/s00234-020-02512-x. Epub 2020 Aug 13.
10
Validity of PETRA-MRA for Stent-Assisted Coil Embolization of Intracranial Aneurysms.PETRA-MRA在颅内动脉瘤支架辅助弹簧圈栓塞术中的有效性
J Neuroendovasc Ther. 2021;15(6):352-359. doi: 10.5797/jnet.oa.2020-0039. Epub 2021 Jan 15.

引用本文的文献

1
Usefulness of PETRA-MRA for Postoperative Follow-Up of Stent-Assisted Coil Embolization of Cerebral Aneurysms.PETRA-MRA在脑动脉瘤支架辅助弹簧圈栓塞术后随访中的应用价值
J Neuroendovasc Ther. 2023;17(9):188-195. doi: 10.5797/jnet.oa.2023-0021. Epub 2023 Jul 19.
2
Imaging of the extracranial internal carotid artery in acute ischemic stroke: assessment of stenosis, plaques, and image quality using relaxation-enhanced angiography without contrast and triggering (REACT).急性缺血性卒中颅外颈内动脉的影像学检查:使用无对比剂和触发的弛豫增强血管造影术(REACT)评估狭窄、斑块及图像质量
Quant Imaging Med Surg. 2022 Jul;12(7):3640-3654. doi: 10.21037/qims-21-1122.
3

本文引用的文献

1
Three tesla magnetic resonance angiography with ultrashort echo time describes the arteries near the cerebral aneurysm with clip and the peripheral cerebral arteries.采用超短回波时间的3特斯拉磁共振血管造影可描述带有夹子的脑动脉瘤附近的动脉以及脑外周动脉。
Surg Neurol Int. 2020 Aug 1;11:224. doi: 10.25259/SNI_329_2020. eCollection 2020.
2
Magnetic resonance angiography with ultrashort echo time evaluates cerebral aneurysm with clip.超短回波时间磁共振血管造影术评估带夹脑动脉瘤。
Surg Neurol Int. 2020 Apr 11;11:65. doi: 10.25259/SNI_59_2020. eCollection 2020.
3
[Clinical Usefulness of Ultra-short TE MRA for Follow-up Imaging after Cerebral Aneurysm Clipping].
1.5 Tesla Non-ultrashort but Short Echo Time Magnetic Resonance Angiography Describes the Arteries Near a Clipped Cerebral Aneurysm.
1.5特斯拉非超短但短回波时间磁共振血管造影术描述夹闭脑动脉瘤附近的动脉。
Cureus. 2021 Jul 25;13(7):e16611. doi: 10.7759/cureus.16611. eCollection 2021 Jul.
4
The dataset on the clipped cerebral aneurysm and their radiological findings in three-dimensional computed tomography, time-of-flight magnetic resonance angiography (TOF-MRA), and Pointwise Encoding Time Reduction with Radial Acquisition (PETRA)-MRA.关于三维计算机断层扫描、时间飞跃磁共振血管造影(TOF-MRA)和径向采集逐点编码时间减少(PETRA)-MRA中夹闭脑动脉瘤及其放射学表现的数据集。
Data Brief. 2021 Feb 13;35:106874. doi: 10.1016/j.dib.2021.106874. eCollection 2021 Apr.
[超短TE磁共振血管造影在脑动脉瘤夹闭术后随访成像中的临床应用价值]
Nihon Hoshasen Gijutsu Gakkai Zasshi. 2020;76(2):177-184. doi: 10.6009/jjrt.2020_JSRT_76.2.177.
4
The use of contrast-enhanced, time-resolved magnetic resonance angiography in cerebrovascular pathology.对比增强、时间分辨磁共振血管造影在脑血管病变中的应用。
Neurosurg Focus. 2019 Dec 1;47(6):E3. doi: 10.3171/2019.9.FOCUS19627.
5
Comprehensive review of imaging of intracranial aneurysms and angiographically negative subarachnoid hemorrhage.颅内动脉瘤影像学与血管造影阴性蛛网膜下腔出血的综合评价
Neurosurg Focus. 2019 Dec 1;47(6):E20. doi: 10.3171/2019.9.FOCUS19653.
6
Usefulness of Noncontrast-Enhanced Silent Magnetic Resonance Angiography (MRA) for Treated Intracranial Aneurysm Follow-up in Comparison with Time-of-Flight MRA.非对比增强磁共振血管成像(MRA)在治疗后颅内动脉瘤随访中的应用与时间飞跃 MRA 的比较。
Neurosurgery. 2020 Aug 1;87(2):220-228. doi: 10.1093/neuros/nyz421.
7
Time resolved imaging of contrast kinetics (TRICKS) MR angiography of arteriovenous malformations of head and neck.头部和颈部动静脉畸形的时间分辨对比动力学(TRICKS)MR 血管成像。
Eur J Radiol. 2013 Nov;82(11):1885-91. doi: 10.1016/j.ejrad.2013.07.007. Epub 2013 Aug 6.
8
Investigation of the freely available easy-to-use software 'EZR' for medical statistics.医学统计学中免费易用软件 EZR 的调查研究。
Bone Marrow Transplant. 2013 Mar;48(3):452-8. doi: 10.1038/bmt.2012.244. Epub 2012 Dec 3.
9
Time-resolved angiography: Past, present, and future.时分辨析血管造影术:过去、现在与未来。
J Magn Reson Imaging. 2012 Dec;36(6):1273-86. doi: 10.1002/jmri.23646. Epub 2012 May 7.
10
Brain arteriovenous malformation diagnosis: value of time-resolved contrast-enhanced MR angiography at 3.0T compared to DSA.脑动静脉畸形诊断:3.0T 时间分辨对比增强磁共振血管成像与 DSA 的对比价值。
Neuroradiology. 2012 Oct;54(10):1099-108. doi: 10.1007/s00234-012-1024-x. Epub 2012 Mar 13.