Suppr超能文献

电感耦合等离子体质谱法测定地质样品中稀土元素的长期测定精度研究。

Study of Long-Term Determination Accuracy for REEs in Geological Samples by Inductively Coupled Plasma Quadrupole Mass Spectrometry.

机构信息

Laboratory of Mineralization and Dynamics, Chang'an University, 126 Yanta Road, Xi'an 710054, China.

College of Earth Sciences and Land Resources, Chang'an University, 126 Yanta Road, Xi'an 710054, China.

出版信息

Molecules. 2021 Jan 8;26(2):290. doi: 10.3390/molecules26020290.

Abstract

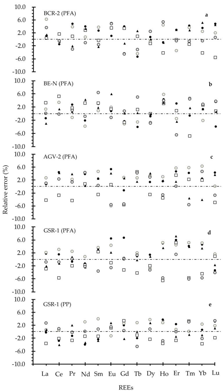
This work presents the long-term determination accuracy study of ICP-QMS for rare earth elements (REEs) in geological matrices. Following high-pressure closed acidic decomposition, REEs are measured repetitively across seven months by ICP-QMS. Under optimum experimental conditions (including spray chamber temperature, gas flow rate, sampling depth, etc.), the REE contents in geological standard materials from basic (basalt BCR-2 and BE-N) to intermediate (andesite AGV-2) and up to acidic (granite GSR-1) show good agreement with the certified values, giving relative errors below 10%. Here, the influence of two storage materials (perfluoroalkoxy PFA and polypropylene PP) on the long-term determination accuracy of REEs has also been monitored. It is found that the relative errors of REEs using a PFA container range from -6.6 to 6.3% (RSDs < 6.0%), while that using a PP container are within -4.0 to 3.9% (RSDs < 4.6%). By using PP material as a solution storage container, the accuracy of REEs quantification in a series of real geological samples are checked, showing the RSDs of less than 5.0%. This work first clarifies the long-term stability of REEs quantification by ICP-QMS covering two types of storage materials, confirming the reasonability of PP material as a daily storage container in terms of higher data precision and lower cost.

摘要

本工作对电感耦合等离子体质谱(ICP-QMS)测定地质基体中稀土元素(REEs)的长期精密度进行了研究。采用高压密闭酸消解,ICP-QMS 对 REEs 进行了长达七个月的重复测量。在最佳实验条件(包括喷雾室温度、气体流量、进样深度等)下,从碱性(玄武岩 BCR-2 和 BE-N)、中性(安山岩 AGV-2)到酸性(花岗岩 GSR-1)的地质标准物质中的 REE 含量与认证值吻合良好,相对误差均低于 10%。本文还监测了两种储存材料(全氟烷氧基 PFA 和聚丙烯 PP)对 REEs 长期精密度测定的影响。结果表明,使用 PFA 容器时 REEs 的相对误差在-6.6%至 6.3%(RSDs<6.0%)之间,而使用 PP 容器时的相对误差在-4.0%至 3.9%(RSDs<4.6%)之间。采用 PP 材料作为溶液储存容器,对一系列实际地质样品中 REEs 定量的准确性进行了检查,结果表明 RSDs 均小于 5.0%。本工作首次阐明了 ICP-QMS 测定 REEs 的长期稳定性,涵盖了两种储存材料,证实了 PP 材料作为日常储存容器在数据精密度更高和成本更低方面的合理性。

https://cdn.ncbi.nlm.nih.gov/pmc/blobs/1425/7827012/be7710c16521/molecules-26-00290-g001.jpg

文献AI研究员

20分钟写一篇综述,助力文献阅读效率提升50倍。

立即体验

用中文搜PubMed

大模型驱动的PubMed中文搜索引擎

马上搜索

文档翻译

学术文献翻译模型,支持多种主流文档格式。

立即体验