Suppr超能文献

多发性骨髓瘤病程中自然杀伤细胞表型的改变

Alterations of NK Cell Phenotype in the Disease Course of Multiple Myeloma.

作者信息

Pazina Tatiana, MacFarlane Alexander W, Bernabei Luca, Dulaimi Essel, Kotcher Rebecca, Yam Clinton, Bezman Natalie A, Robbins Michael D, Ross Eric A, Campbell Kerry S, Cohen Adam D

机构信息

Blood Cell Development and Function Program, Fox Chase Cancer Center, Philadelphia, PA 19111, USA.

FSBSI "Institute of Experimental Medicine", Department of General Pathology and Pathological Physiology, St. Petersburg 197376, Russia.

出版信息

Cancers (Basel). 2021 Jan 10;13(2):226. doi: 10.3390/cancers13020226.

Abstract

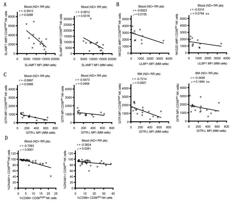
Accumulating evidence demonstrates important roles for natural killer (NK) cells in controlling multiple myeloma (MM). A prospective flow cytometry-based analysis of NK cells in the blood and bone marrow (BM) of MM patient subgroups was performed (smoldering (SMM), newly diagnosed (ND), relapsed/refractory, (RR) and post-stem cell transplantation (pSCT)). Assessments included the biomarker expression and function of NK cells, correlations between the expression of receptors on NK cells with their ligands on myeloma cells, and comparisons between MM patient subgroups and healthy controls. The most striking differences from healthy controls were found in RR and pSCT patients, in which NK cells were less mature and expressed reduced levels of the activating receptors DNAM-1, NKG2D, and CD16. These differences were more pronounced in the BM than in blood, including upregulation of the therapeutic targets TIM3, TIGIT, ICOS, and GITR. Their expression suggests NK cells became exhausted upon chronic encounters with the tumor. A high expression of SLAMF7 on blood NK cells correlated with shorter progression-free survival. This correlation was particularly evident in ND patients, including on mature CD56 NK cells in the BM. Thus, our NK cell analysis identified possible therapeutic targets in MM and a biomarker with prognostic potential for disease progression.

摘要

越来越多的证据表明自然杀伤(NK)细胞在控制多发性骨髓瘤(MM)中发挥着重要作用。我们对MM患者亚组(冒烟型(SMM)、新诊断(ND)、复发/难治性(RR)和干细胞移植后(pSCT))的血液和骨髓(BM)中的NK细胞进行了一项基于流式细胞术的前瞻性分析。评估内容包括NK细胞的生物标志物表达和功能、NK细胞上受体与其骨髓瘤细胞上配体表达之间的相关性,以及MM患者亚组与健康对照之间的比较。与健康对照相比,RR和pSCT患者中发现了最显著的差异,其中NK细胞不太成熟,激活受体DNAM-1、NKG2D和CD16的表达水平降低。这些差异在BM中比在血液中更明显,包括治疗靶点TIM3、TIGIT、ICOS和GITR的上调。它们的表达表明NK细胞在与肿瘤长期接触后变得耗竭。血液NK细胞上SLAMF7的高表达与无进展生存期缩短相关。这种相关性在ND患者中尤为明显,包括BM中成熟的CD56 NK细胞。因此,我们的NK细胞分析确定了MM中可能的治疗靶点以及一种对疾病进展具有预后潜力的生物标志物。

https://cdn.ncbi.nlm.nih.gov/pmc/blobs/6827/7827733/1dc6e16e68b2/cancers-13-00226-g001.jpg

文献检索

告别复杂PubMed语法,用中文像聊天一样搜索,搜遍4000万医学文献。AI智能推荐,让科研检索更轻松。

立即免费搜索

文件翻译

保留排版,准确专业,支持PDF/Word/PPT等文件格式,支持 12+语言互译。

免费翻译文档

深度研究

AI帮你快速写综述,25分钟生成高质量综述,智能提取关键信息,辅助科研写作。

立即免费体验