Suppr超能文献

肽聚糖介导钩端螺旋体外膜蛋白 Loa22 与 Toll 样受体 2 的炎症相互作用:一种新的先天免疫识别。

Peptidoglycan mediates Leptospira outer membrane protein Loa22 to toll-like receptor 2 for inflammatory interaction: a novel innate immune recognition.

机构信息

Department of Nephrology, Kidney Research Center, Chang Gung Memorial Hospital, Chang Gung University College of Medicine, 5 Fu-Shing St., Taoyuan, 33333, Taiwan, ROC.

Department of Biotechnology and Bioindustry Sciences, National Cheng Kung University, Tainan, 70101, Taiwan, ROC.

出版信息

Sci Rep. 2021 Jan 13;11(1):1064. doi: 10.1038/s41598-020-79662-8.

Abstract

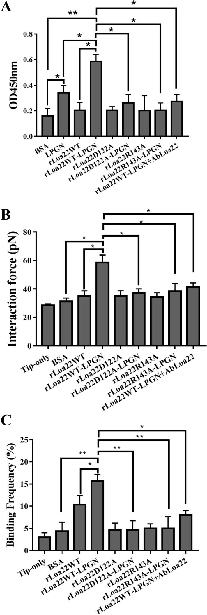
Leptospirosis is an overlooked zoonotic disease caused by pathogenic Leptospira depended on virulence of Leptospira and the host-pathogen interaction. Kidney is the major organ infected by Leptospira which causes tubulointerstitial nephritis. Leptospira outer membrane contains several virulence factors and an outer membrane protein A (OmpA) like protein (Loa22) is essential for virulence. Pull-down assays suggested that Loa22 was a potential Toll-Like Receptor 2 (TLR2) binding candidates from pathogenic Leptospira. Confocal microscopy was employed to observe the co-localization of TLR2 and Loa22-LPGN (Leptospira peptidoglycan) complexes. Atomic force microscopy (AFM), side-directed mutagenesis, and enzyme-linked immunosorbent assay (ELISA) were performed to investigate the affinity between rLoa22, LPGN, and TLR2. Real time PCR was applied to measure the cytokines expression. Downstream signal transduction components were verified by western blot to evaluate the gene regulations. Mutation of two Loa22 key residues (Asp and Arg) attenuated the affinities for LPGN. rLoa22-LPGN complexes were observed to co-localize with TLR2 and provoked inflammatory responses including CXCL8/IL8, hCCL2/MCP-1, and hTNF-α. Affinity studies suggested that Loa22-LPGN complexes elevated the affinity to TLR2 as compared to Loa22 protein. Downstream signals from TLR2 including p38, ERK, and JNK were regulated under rLoa22-LPGN complexes treatments. This study identified LPGN mediates interactions between Loa22 and TLR2 and induces downstream signals to trigger inflammatory responses. rLoa22-LPGN-TLR2 complexes reveal a novel binding mechanism for the innate immune system.

摘要

钩端螺旋体病是一种被忽视的人畜共患疾病,由致病性钩端螺旋体引起,取决于钩端螺旋体的毒力和宿主-病原体相互作用。肾脏是钩端螺旋体感染的主要器官,可引起肾小管间质性肾炎。钩端螺旋体外膜包含几种毒力因子,一种类似于外膜蛋白 A(OmpA)的蛋白(Loa22)是毒力所必需的。下拉实验表明,Loa22 是一种潜在的 Toll 样受体 2(TLR2)结合候选物,来自致病性钩端螺旋体。共聚焦显微镜用于观察 TLR2 和 Loa22-LPGN(钩端螺旋体肽聚糖)复合物的共定位。原子力显微镜(AFM)、侧定向突变和酶联免疫吸附试验(ELISA)用于研究 rLoa22、LPGN 和 TLR2 之间的亲和力。实时 PCR 用于测量细胞因子的表达。通过 Western blot 验证下游信号转导成分,以评估基因调控。突变两个 Loa22 关键残基(天冬氨酸和精氨酸)可减弱与 LPGN 的亲和力。观察到 rLoa22-LPGN 复合物与 TLR2 共定位,并引发包括 CXCL8/IL8、hCCL2/MCP-1 和 hTNF-α 在内的炎症反应。亲和研究表明,与 Loa22 蛋白相比,Loa22-LPGN 复合物提高了与 TLR2 的亲和力。TLR2 的下游信号包括 p38、ERK 和 JNK 在 rLoa22-LPGN 复合物处理下受到调节。这项研究确定 LPGN 介导 Loa22 和 TLR2 之间的相互作用,并诱导下游信号引发炎症反应。rLoa22-LPGN-TLR2 复合物揭示了先天免疫系统的一种新的结合机制。

https://cdn.ncbi.nlm.nih.gov/pmc/blobs/0cbe/8115183/377bb5cb4048/41598_2020_79662_Fig1_HTML.jpg

文献检索

告别复杂PubMed语法,用中文像聊天一样搜索,搜遍4000万医学文献。AI智能推荐,让科研检索更轻松。

立即免费搜索

文件翻译

保留排版,准确专业,支持PDF/Word/PPT等文件格式,支持 12+语言互译。

免费翻译文档

深度研究

AI帮你快速写综述,25分钟生成高质量综述,智能提取关键信息,辅助科研写作。

立即免费体验