International Institute of Molecular and Cell Biology, Trojdena 4, 02-109 Warsaw, Poland.
Institute of Biochemistry and Biophysics, Polish Academy of Sciences, Pawinskiego 5a, 02-106 Warsaw, Poland.
Nucleic Acids Res. 2021 Feb 22;49(3):1708-1723. doi: 10.1093/nar/gkaa1218.
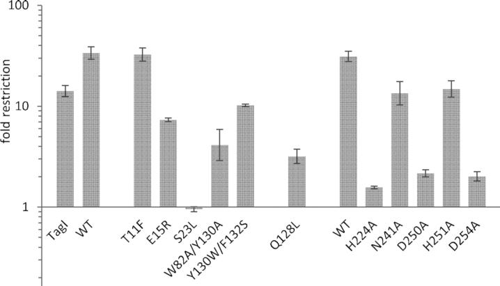
Many modification-dependent restriction endonucleases (MDREs) are fusions of a PUA superfamily modification sensor domain and a nuclease catalytic domain. EVE domains belong to the PUA superfamily, and are present in MDREs in combination with HNH nuclease domains. Here, we present a biochemical characterization of the EVE-HNH endonuclease VcaM4I and crystal structures of the protein alone, with EVE domain bound to either 5mC modified dsDNA or to 5mC/5hmC containing ssDNA. The EVE domain is moderately specific for 5mC/5hmC containing DNA according to EMSA experiments. It flips the modified nucleotide, to accommodate it in a hydrophobic pocket of the enzyme, primarily formed by P24, W82 and Y130 residues. In the crystallized conformation, the EVE domain and linker helix between the two domains block DNA binding to the catalytic domain. Removal of the EVE domain and inter-domain linker, but not of the EVE domain alone converts VcaM4I into a non-specific toxic nuclease. The role of the key residues in the EVE and HNH domains of VcaM4I is confirmed by digestion and restriction assays with the enzyme variants that differ from the wild-type by changes to the base binding pocket or to the catalytic residues.
许多依赖修饰的限制内切酶(MDREs)是 PUA 超家族修饰传感器结构域和核酸酶催化结构域的融合体。EVE 结构域属于 PUA 超家族,与 HNH 核酸酶结构域一起存在于 MDRE 中。在这里,我们对 EVE-HNH 内切酶 VcaM4I 进行了生化特性分析,并单独解析了该蛋白的晶体结构,其 EVE 结构域与 5mC 修饰的双链 DNA 或含有 5mC/5hmC 的单链 DNA 结合。根据 EMSA 实验,EVE 结构域对含有 5mC/5hmC 的 DNA 具有中等特异性。它翻转修饰的核苷酸,将其容纳在酶的疏水口袋中,该口袋主要由 P24、W82 和 Y130 残基形成。在结晶构象中,EVE 结构域和两个结构域之间的连接螺旋阻止 DNA 与催化结构域结合。去除 EVE 结构域和结构域间连接区,但不单独去除 EVE 结构域,可将 VcaM4I 转化为非特异性毒性核酸酶。通过对酶变体进行消化和限制实验,证实了 VcaM4I 的 EVE 和 HNH 结构域中的关键残基的作用,这些酶变体通过改变碱基结合口袋或催化残基与野生型不同。