• 文献检索
  • 文档翻译
  • 深度研究
  • 学术资讯
  • Suppr Zotero 插件Zotero 插件
  • 邀请有礼
  • 套餐&价格
  • 历史记录
应用&插件
Suppr Zotero 插件Zotero 插件浏览器插件Mac 客户端Windows 客户端微信小程序
定价
高级版会员购买积分包购买API积分包
服务
文献检索文档翻译深度研究API 文档MCP 服务
关于我们
关于 Suppr公司介绍联系我们用户协议隐私条款
关注我们

Suppr 超能文献

核心技术专利:CN118964589B侵权必究
粤ICP备2023148730 号-1Suppr @ 2026

文献检索

告别复杂PubMed语法,用中文像聊天一样搜索,搜遍4000万医学文献。AI智能推荐,让科研检索更轻松。

立即免费搜索

文件翻译

保留排版,准确专业,支持PDF/Word/PPT等文件格式,支持 12+语言互译。

免费翻译文档

深度研究

AI帮你快速写综述,25分钟生成高质量综述,智能提取关键信息,辅助科研写作。

立即免费体验

免疫球蛋白敏感型与不敏感型不完全川崎病患者血清微小RNA表达的差异。

Difference in serum miRNA expression between immunoglobulin-sensitive and -insensitive incomplete Kawasaki disease patients.

作者信息

Wang Yan, Li Chunli, Niu Ling, Fu Mingyu, Tian Jing, An Xinjiang

机构信息

Department of Cardiovascular Medicine, Xuzhou Children's Hospital Affiliated to Xuzhou Medical University, Xuzhou, Jiangsu 221006, P.R. China.

出版信息

Exp Ther Med. 2021 Feb;21(2):162. doi: 10.3892/etm.2020.9593. Epub 2020 Dec 18.

DOI:10.3892/etm.2020.9593
PMID:33456529
原文链接:https://pmc.ncbi.nlm.nih.gov/articles/PMC7792482/
Abstract

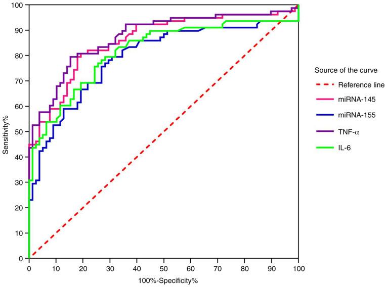
The present study aimed to investigate the expression of microRNAs (miRNAs/miRs) and inflammatory factors in patients with immunoglobulin-sensitive and IVIG-insensitive incomplete Kawasaki disease (KD). One hundred and eighty-five patients with incomplete KD were included as the study group (KD group), and 182 patients with respiratory infection as the control group. Neutrophil to lymphocyte ratio (NLR), C-reactive protein (CRP) levels, alanine aminotransferase (ALT), aspartate aminotransferase (AST), white blood cell count (WBC), hemoglobin level (Hb), platelet count (PLT) and T cell subsets (CD3, CD3 CD4) were compared. Patients in the KD group received aspirin (30 mg/kg orally daily) and gamma globulin (IVIG, 1 g/kg intravenously daily). According to the sensitivity to IVIG, patients were divided into IVIG-sensitive group and IVIG-insensitive KD group. The relative expression levels of miRNA-21, miRNA-145, miRNA-155 and miRNA-199b-5p in the serum were detected by RT-qPCR. Serum TNF-α, IL-6 and IL-1β levels were assessed using ELISA. Before treatment, the neutrophil to lymphocyte ratio (NLR), levels C-reactive protein, and leukocytes in the KD group were significantly higher compared with the control group (P<0.05). After medical intervention, the relative expression of miRNA-21, miRNA-145 and miRNA-155 in the serum of patients in IVIG-sensitive and IVIG-insensitive KD groups were increased when compared with these levels in the control group (P<0.05). Meanwhile, the relative expression of miRNA-199b-5p was decreased (P<0.05). Compared with the IVIG-sensitive KD group, the relative expression levels of miRNA-145 and miRNA-155 were increased in the serum of patients in the IVIG-insensitive KD group (P<0.05). Compared with the control group, the levels of TNF-α, IL-6 and IL-1β were increased in the serum of patients in the IVIG-sensitive and IVIG-insensitive KD groups (P<0.05). Compared with the IVIG-sensitive KD group, the serum levels of TNF-α and IL-6 were increased in patients of the IVIG-insensitive KD group (P<0.05). Except for NLR and CRP, there were differences in the expression of peripheral blood miRNA-145, miRNA-155 and serum TNF-α and IL-6 in patients with immunoglobulin-sensitive and -insensitive incomplete KD.

摘要

本研究旨在调查免疫球蛋白敏感型和静脉注射免疫球蛋白(IVIG)不敏感型不完全川崎病(KD)患者体内微小RNA(miRNA/miR)和炎症因子的表达情况。185例不完全KD患者被纳入研究组(KD组),182例呼吸道感染患者作为对照组。比较两组患者的中性粒细胞与淋巴细胞比值(NLR)、C反应蛋白(CRP)水平、丙氨酸转氨酶(ALT)、天冬氨酸转氨酶(AST)、白细胞计数(WBC)、血红蛋白水平(Hb)、血小板计数(PLT)以及T细胞亚群(CD3、CD3 CD4)。KD组患者接受阿司匹林(每日口服30mg/kg)和丙种球蛋白(IVIG,每日静脉注射1g/kg)治疗。根据对IVIG的敏感性,将患者分为IVIG敏感组和IVIG不敏感KD组。采用逆转录定量聚合酶链反应(RT-qPCR)检测血清中miRNA-21、miRNA-145、miRNA-155和miRNA-199b-5p的相对表达水平。采用酶联免疫吸附测定(ELISA)评估血清肿瘤坏死因子-α(TNF-α)、白细胞介素-6(IL-6)和白细胞介素-1β(IL-1β)水平。治疗前,KD组患者的中性粒细胞与淋巴细胞比值、C反应蛋白水平和白细胞水平显著高于对照组(P<0.05)。医学干预后,IVIG敏感和IVIG不敏感KD组患者血清中miRNA-21、miRNA-145和miRNA-155的相对表达水平较对照组升高(P<0.05)。同时,miRNA-199b-5p的相对表达水平降低(P<0.05)。与IVIG敏感KD组相比,IVIG不敏感KD组患者血清中miRNA-145和miRNA-155的相对表达水平升高(P<0.05)。与对照组相比,IVIG敏感和IVIG不敏感KD组患者血清中TNF-α、IL-6和IL-1β水平升高(P<0.05)。与IVIG敏感KD组相比,IVIG不敏感KD组患者血清中TNF-α和IL-6水平升高(P<0.05)。除NLR和CRP外,免疫球蛋白敏感型和不敏感型不完全KD患者外周血miRNA-145、miRNA-155以及血清TNF-α和IL-6的表达存在差异。

https://cdn.ncbi.nlm.nih.gov/pmc/blobs/ff30/7792482/3547f3b8f503/etm-21-02-09593-g04.jpg
https://cdn.ncbi.nlm.nih.gov/pmc/blobs/ff30/7792482/8c7dd3fb76f3/etm-21-02-09593-g00.jpg
https://cdn.ncbi.nlm.nih.gov/pmc/blobs/ff30/7792482/bfb6718f4743/etm-21-02-09593-g01.jpg
https://cdn.ncbi.nlm.nih.gov/pmc/blobs/ff30/7792482/396fc4b151b8/etm-21-02-09593-g02.jpg
https://cdn.ncbi.nlm.nih.gov/pmc/blobs/ff30/7792482/fbd64c518c74/etm-21-02-09593-g03.jpg
https://cdn.ncbi.nlm.nih.gov/pmc/blobs/ff30/7792482/3547f3b8f503/etm-21-02-09593-g04.jpg
https://cdn.ncbi.nlm.nih.gov/pmc/blobs/ff30/7792482/8c7dd3fb76f3/etm-21-02-09593-g00.jpg
https://cdn.ncbi.nlm.nih.gov/pmc/blobs/ff30/7792482/bfb6718f4743/etm-21-02-09593-g01.jpg
https://cdn.ncbi.nlm.nih.gov/pmc/blobs/ff30/7792482/396fc4b151b8/etm-21-02-09593-g02.jpg
https://cdn.ncbi.nlm.nih.gov/pmc/blobs/ff30/7792482/fbd64c518c74/etm-21-02-09593-g03.jpg
https://cdn.ncbi.nlm.nih.gov/pmc/blobs/ff30/7792482/3547f3b8f503/etm-21-02-09593-g04.jpg

相似文献

1
Difference in serum miRNA expression between immunoglobulin-sensitive and -insensitive incomplete Kawasaki disease patients.免疫球蛋白敏感型与不敏感型不完全川崎病患者血清微小RNA表达的差异。
Exp Ther Med. 2021 Feb;21(2):162. doi: 10.3892/etm.2020.9593. Epub 2020 Dec 18.
2
Do cytokines correlate with refractory Kawasaki disease in children?细胞因子与儿童难治性川崎病是否相关?
Clin Chim Acta. 2020 Jul;506:222-227. doi: 10.1016/j.cca.2020.03.014. Epub 2020 Mar 7.
3
Elevated Serum IL-17A in Kawasaki Disease Patients Predicts Responsiveness to Intravenous Immunoglobulin Therapy.川崎病患者血清IL-17A升高预示对静脉注射免疫球蛋白治疗的反应性
Int Arch Allergy Immunol. 2025;186(2):159-165. doi: 10.1159/000540697. Epub 2024 Sep 10.
4
Correlation between the Level of Inflammatory Cytokines and Prognosis in Children with IVIG-sensitive Kawasaki Disease and IVIG-resistant Kawasaki Disease.静脉注射免疫球蛋白敏感型川崎病和静脉注射免疫球蛋白抵抗型川崎病患儿炎症细胞因子水平与预后的相关性
Pak J Med Sci. 2022 May-Jun;38(5):1165-1169. doi: 10.12669/pjms.38.5.5408.
5
TNF-α is superior to conventional inflammatory mediators in forecasting IVIG nonresponse and coronary arteritis in Chinese children with Kawasaki disease.TNF-α 在预测中国川崎病儿童 IVIG 无反应和冠状动脉炎方面优于传统炎症介质。
Clin Chim Acta. 2017 Aug;471:76-80. doi: 10.1016/j.cca.2017.05.019. Epub 2017 May 16.
6
A New Scoring System for Prediction of Intravenous Immunoglobulin Resistance of Kawasaki Disease in Infants Under 1-Year Old.一种用于预测1岁以下婴儿川崎病静脉注射免疫球蛋白耐药性的新评分系统。
Front Pediatr. 2019 Dec 11;7:514. doi: 10.3389/fped.2019.00514. eCollection 2019.
7
Predictors of intravenous immunoglobulin resistance and coronary artery aneurysm in patients with Kawasaki disease.川崎病患者静脉注射免疫球蛋白抵抗及冠状动脉瘤的预测因素
Paediatr Int Child Health. 2018 Aug;38(3):209-212. doi: 10.1080/20469047.2018.1471381. Epub 2018 May 17.
8
[Values of neutrophil-lymphocyte ratio and platelet-lymphocyte ratio in predicting sensitivity to intravenous immunoglobulin in Kawasaki disease].[中性粒细胞与淋巴细胞比值及血小板与淋巴细胞比值在预测川崎病静脉注射免疫球蛋白敏感性中的价值]
Zhongguo Dang Dai Er Ke Za Zhi. 2017 Apr;19(4):410-413. doi: 10.7499/j.issn.1008-8830.2017.04.010.
9
[Clinical analysis of 942 cases of Kawasaki disease].942例川崎病临床分析
Zhonghua Er Ke Za Zhi. 2006 May;44(5):324-8.
10
[Expression of sICAM-1 in children with intravenous immunoglobulin-resistant Kawasaki disease].[可溶性细胞间黏附分子-1在静脉注射免疫球蛋白无反应性川崎病患儿中的表达]
Zhongguo Dang Dai Er Ke Za Zhi. 2013 Dec;15(12):1109-12.

引用本文的文献

1
Neutrophil-to-lymphocyte ratio predicts a poor prognosis for penile cancer with an immunosuppressive tumor microenvironment.中性粒细胞与淋巴细胞比值预示着具有免疫抑制性肿瘤微环境的阴茎癌预后不良。
Front Immunol. 2025 Apr 16;16:1568825. doi: 10.3389/fimmu.2025.1568825. eCollection 2025.
2
miR-31-5p as a Potential Circulating Biomarker and Tracer of Clinical Improvement for Chronic Inflammatory Demyelinating Polyneuropathy.miR-31-5p 作为慢性炎症性脱髓鞘性多发性神经病临床改善的潜在循环生物标志物和示踪剂。
Oxid Med Cell Longev. 2023 Apr 10;2023:2305163. doi: 10.1155/2023/2305163. eCollection 2023.
3
MicroRNAs in Kawasaki disease: An update on diagnosis, therapy and monitoring.

本文引用的文献

1
miR-21 may Act as a Potential Mediator Between Inflammation and Abnormal Bone Formation in Ankylosing Spondylitis Based on TNF-α Concentration-Dependent Manner Through the JAK2/STAT3 Pathway.基于肿瘤坏死因子-α(TNF-α)浓度依赖性方式,通过JAK2/STAT3信号通路,miR-21可能在强直性脊柱炎的炎症与异常骨形成之间充当潜在的介质。
Dose Response. 2020 Jan 21;18(1):1559325819901239. doi: 10.1177/1559325819901239. eCollection 2020 Jan-Mar.
2
Giant Thrombotic Right Coronary Aneurysm in an Infant with Undiagnosed Incomplete Kawasaki Disease and Rapidly Progressive Cardiovascular Collapse.一名患有未确诊的不完全川崎病且迅速进展为心血管衰竭的婴儿出现巨大血栓形成的右冠状动脉瘤。
CASE (Phila). 2019 Sep 27;3(6):250-254. doi: 10.1016/j.case.2019.08.006. eCollection 2019 Dec.
3
川崎病相关 microRNAs:诊断、治疗和监测的新进展。
Front Immunol. 2022 Oct 24;13:1016575. doi: 10.3389/fimmu.2022.1016575. eCollection 2022.
4
Efficacy of Glucocorticoid plus Intravenous Immunoglobulin in Children with Immunoglobulin-Insensitive Kawasaki Disease.糖皮质激素联合静脉注射免疫球蛋白治疗免疫球蛋白不敏感川崎病的疗效。
J Healthc Eng. 2022 Apr 13;2022:9011259. doi: 10.1155/2022/9011259. eCollection 2022.
Unusual Presentation Of Kawasaki Disease With Gastrointestinal And Renal Manifestations.川崎病伴胃肠道和肾脏表现的不典型呈现
Ther Clin Risk Manag. 2019 Dec 5;15:1411-1416. doi: 10.2147/TCRM.S226624. eCollection 2019.
4
On the usefulness of N-terminal prohormone of brain natriuretic peptide for the diagnosis of incomplete Kawasaki disease.脑钠肽前体N端在不完全川崎病诊断中的应用价值
Emergencias. 2019 Oct;31(5):366-367.
5
TNF-α blockers for the treatment of Kawasaki disease in children.用于治疗儿童川崎病的肿瘤坏死因子-α阻滞剂。
Cochrane Database Syst Rev. 2019 Aug 16;8(8):CD012448. doi: 10.1002/14651858.CD012448.pub2.
6
Influences of the TLR4/NF-κB pathway on memory function and inflammatory factors in rats with cerebral small vessel disease.TLR4/NF-κB 通路对脑小血管病大鼠记忆功能及炎症因子的影响。
Eur Rev Med Pharmacol Sci. 2019 Jul;23(14):6264-6271. doi: 10.26355/eurrev_201907_18447.
7
Incomplete Kawasaki disease with development of fatal coronary artery thrombosis in a 13-year-old male.13 岁男性不完全川崎病合并致命性冠状动脉血栓形成。
Cardiovasc Pathol. 2019 Sep-Oct;42:54-58. doi: 10.1016/j.carpath.2019.04.002. Epub 2019 May 30.
8
A comparison of serum IL6 and CRP levels with respect to coronary changes and treatment response in Kawasaki disease patients: a prospective study.一项前瞻性研究比较了川崎病患者血清 IL6 和 CRP 水平与冠状动脉变化和治疗反应的关系。
Rheumatol Int. 2019 Oct;39(10):1797-1801. doi: 10.1007/s00296-019-04375-9. Epub 2019 Jul 13.
9
Plasma miRNA-155 Levels Predict Atrial Fibrillation Recurrence after Cardioversion.血浆miRNA - 155水平可预测心脏复律后房颤复发情况。
Heart Surg Forum. 2019 Mar 11;22(2):E140-E148. doi: 10.1532/hsf.2281.
10
Neutrophil-to-Lymphocyte Ratio Predicts Intravenous Immunoglobulin-Resistance in Infants Under 12-Months Old With Kawasaki Disease.中性粒细胞与淋巴细胞比值可预测12个月以下川崎病婴儿对静脉注射免疫球蛋白的耐药性。
Front Pediatr. 2019 Mar 19;7:81. doi: 10.3389/fped.2019.00081. eCollection 2019.