Suppr超能文献

曼氏血吸虫 SmKI-1 Kunitz 结构域:P1 位亮氨酸点突变产生增强的中性粒细胞弹性蛋白酶抑制活性。

S. mansoni SmKI-1 Kunitz-domain: Leucine point mutation at P1 site generates enhanced neutrophil elastase inhibitory activity.

机构信息

Departamento de Genética, Ecologia e Evolução, Programa de Pós-Graduação em Genética, Instituto de Ciências Biológicas, Universidade Federal de Minas Gerais, Belo Horizonte, Minas Gerais, Brazil.

Laboratório de Imunologia de Doenças Infecciosas, Departamento de Bioquímica e Imunologia, Instituto de Ciências Biológicas, Universidade Federal de Minas Gerais, Belo Horizonte, Minas Gerais, Brazil.

出版信息

PLoS Negl Trop Dis. 2021 Jan 19;15(1):e0009007. doi: 10.1371/journal.pntd.0009007. eCollection 2021 Jan.

Abstract

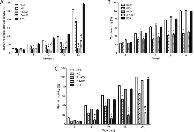
The Schistosoma mansoni SmKI-1 protein is composed of two domains: a Kunitz-type serine protease inhibitor motif (KD) and a C-terminus domain with no similarity outside the genera. Our previous work has demonstrated that KD plays an essential role in neutrophil elastase (NE) binding blockage, in neutrophil influx and as a potential anti-inflammatory molecule. In order to enhance NE blocking capacity, we analyzed the KD sequence from a structure-function point of view and designed specific point mutations in order to enhance NE affinity. We substituted the P1 site residue at the reactive site for a leucine (termed RL-KD), given its central role for KD's inhibition to NE. We have also substituted a glutamic acid that strongly interacts with the P1 residue for an alanine, to help KD to be buried on NE S1 site (termed EA-KD). KD and the mutant proteins were evaluated in silico by molecular docking to human NE, expressed in Escherichia coli and tested towards its NE inhibitory activity. Both mutated proteins presented enhanced NE inhibitory activity in vitro and RL-KD presented the best performance. We further tested RL-KD in vivo in an experimental model of monosodium urate (MSU)-induced acute arthritis. RL-KD showed reduced numbers of total cells and neutrophils in the mouse knee cavity when compared to KD. Nevertheless, both RL-KD and KD reduced mice hypernociception in a similar fashion. In summary, our results demonstrated that both mutated proteins showed enhanced NE inhibitory activity in vitro. However, RL-KD had a prominent effect in diminishing inflammatory parameters in vivo.

摘要

曼氏血吸虫 SmKI-1 蛋白由两个结构域组成:一个 Kunitz 型丝氨酸蛋白酶抑制剂结构域 (KD) 和一个无种属特异性的 C 末端结构域。我们之前的工作表明,KD 在中性粒细胞弹性蛋白酶 (NE) 结合阻断、中性粒细胞浸润以及作为潜在抗炎分子方面发挥着重要作用。为了增强 NE 阻断能力,我们从结构功能的角度分析了 KD 序列,并设计了特定的点突变以增强 NE 亲和力。我们用亮氨酸取代了反应部位的 P1 位点残基(称为 RL-KD),因为其在 KD 对 NE 的抑制中起核心作用。我们还取代了与 P1 残基强烈相互作用的谷氨酸为丙氨酸,以帮助 KD 埋藏在 NE S1 部位(称为 EA-KD)。通过分子对接对大肠杆菌中表达的人 NE 进行了 KD 和突变蛋白的计算机模拟评估,并对其 NE 抑制活性进行了测试。两种突变蛋白在体外均表现出增强的 NE 抑制活性,而 RL-KD 的性能最佳。我们进一步在尿酸单钠 (MSU) 诱导的急性关节炎的实验模型中测试了 RL-KD。与 KD 相比,RL-KD 使小鼠膝关节腔中的总细胞和中性粒细胞数量减少。然而,RL-KD 和 KD 均以相似的方式降低了小鼠的痛觉过敏。总之,我们的结果表明,两种突变蛋白在体外均表现出增强的 NE 抑制活性。然而,RL-KD 在体内显著降低了炎症参数。

https://cdn.ncbi.nlm.nih.gov/pmc/blobs/0680/7846107/a74ce9e90da2/pntd.0009007.g001.jpg

文献AI研究员

20分钟写一篇综述,助力文献阅读效率提升50倍。

立即体验

用中文搜PubMed

大模型驱动的PubMed中文搜索引擎

马上搜索

文档翻译

学术文献翻译模型,支持多种主流文档格式。

立即体验