Suppr超能文献

估计和解释二次攻击风险:二项式有偏倚。

Estimating and interpreting secondary attack risk: Binomial considered biased.

机构信息

Division of Biometrics, Center for Drug Evaluation and Research, Food and Drug Administration, Silver Spring, Maryland, United States of America.

Biostatistics Division, College of Public Health, The Ohio State University, Columbus, Ohio, United States of America.

出版信息

PLoS Comput Biol. 2021 Jan 20;17(1):e1008601. doi: 10.1371/journal.pcbi.1008601. eCollection 2021 Jan.

Abstract

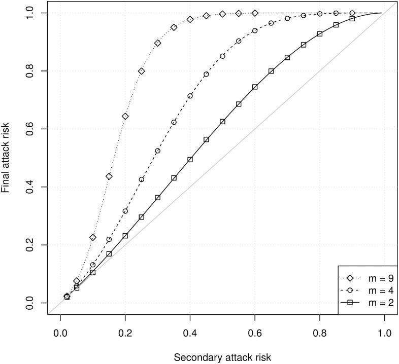
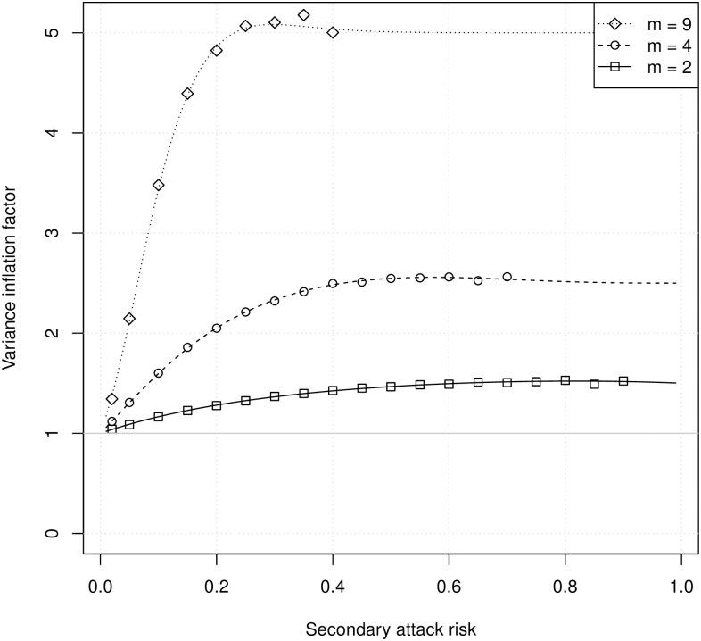
The household secondary attack risk (SAR), often called the secondary attack rate or secondary infection risk, is the probability of infectious contact from an infectious household member A to a given household member B, where we define infectious contact to be a contact sufficient to infect B if he or she is susceptible. Estimation of the SAR is an important part of understanding and controlling the transmission of infectious diseases. In practice, it is most often estimated using binomial models such as logistic regression, which implicitly attribute all secondary infections in a household to the primary case. In the simplest case, the number of secondary infections in a household with m susceptibles and a single primary case is modeled as a binomial(m, p) random variable where p is the SAR. Although it has long been understood that transmission within households is not binomial, it is thought that multiple generations of transmission can be neglected safely when p is small. We use probability generating functions and simulations to show that this is a mistake. The proportion of susceptible household members infected can be substantially larger than the SAR even when p is small. As a result, binomial estimates of the SAR are biased upward and their confidence intervals have poor coverage probabilities even if adjusted for clustering. Accurate point and interval estimates of the SAR can be obtained using longitudinal chain binomial models or pairwise survival analysis, which account for multiple generations of transmission within households, the ongoing risk of infection from outside the household, and incomplete follow-up. We illustrate the practical implications of these results in an analysis of household surveillance data collected by the Los Angeles County Department of Public Health during the 2009 influenza A (H1N1) pandemic.

摘要

家庭二级攻击风险(SAR),通常称为二级发病率或二次感染风险,是指从传染性家庭成员 A 到特定家庭成员 B 的传染性接触的概率,我们将传染性接触定义为如果 B 易感,足以感染 B 的接触。SAR 的估计是理解和控制传染病传播的重要组成部分。在实践中,它通常使用二项式模型(如逻辑回归)进行估计,这些模型隐含地将家庭中的所有二次感染归因于主要病例。在最简单的情况下,有 m 个易感者和一个单一主要病例的家庭中的二次感染数建模为二项式(m,p)随机变量,其中 p 是 SAR。尽管人们早就知道家庭内的传播不是二项式的,但当 p 较小时,认为可以安全地忽略多代传播。我们使用概率生成函数和模拟表明这是一个错误。即使 p 较小,易感家庭成员感染的比例也可能大大超过 SAR。因此,即使对聚类进行了调整,SAR 的二项式估计也会向上偏差,其置信区间的覆盖率也很差。使用纵向链式二项式模型或成对生存分析可以获得 SAR 的准确点估计和区间估计,这些模型考虑了家庭内的多代传播、来自家庭外的持续感染风险以及不完全随访。我们在对洛杉矶县公共卫生部在 2009 年甲型 H1N1 流感大流行期间收集的家庭监测数据进行分析时说明了这些结果的实际意义。

https://cdn.ncbi.nlm.nih.gov/pmc/blobs/6f52/7850487/5b75f0be09d0/pcbi.1008601.g001.jpg

文献检索

告别复杂PubMed语法,用中文像聊天一样搜索,搜遍4000万医学文献。AI智能推荐,让科研检索更轻松。

立即免费搜索

文件翻译

保留排版,准确专业,支持PDF/Word/PPT等文件格式,支持 12+语言互译。

免费翻译文档

深度研究

AI帮你快速写综述,25分钟生成高质量综述,智能提取关键信息,辅助科研写作。

立即免费体验