• 文献检索
  • 文档翻译
  • 深度研究
  • 学术资讯
  • Suppr Zotero 插件Zotero 插件
  • 邀请有礼
  • 套餐&价格
  • 历史记录
应用&插件
Suppr Zotero 插件Zotero 插件浏览器插件Mac 客户端Windows 客户端微信小程序
定价
高级版会员购买积分包购买API积分包
服务
文献检索文档翻译深度研究API 文档MCP 服务
关于我们
关于 Suppr公司介绍联系我们用户协议隐私条款
关注我们

Suppr 超能文献

核心技术专利:CN118964589B侵权必究
粤ICP备2023148730 号-1Suppr @ 2026

文献检索

告别复杂PubMed语法,用中文像聊天一样搜索,搜遍4000万医学文献。AI智能推荐,让科研检索更轻松。

立即免费搜索

文件翻译

保留排版,准确专业,支持PDF/Word/PPT等文件格式,支持 12+语言互译。

免费翻译文档

深度研究

AI帮你快速写综述,25分钟生成高质量综述,智能提取关键信息,辅助科研写作。

立即免费体验

R-COMP 方案与 R-CHOP 方案一线治疗 60 岁以上弥漫性大 B 细胞淋巴瘤患者:来自西班牙 GELTAMO 小组的一项随机 2 期研究结果。

R-COMP versus R-CHOP as first-line therapy for diffuse large B-cell lymphoma in patients ≥60 years: Results of a randomized phase 2 study from the Spanish GELTAMO group.

机构信息

Hematology Department, ICO-IJC-Hospital Germans Trias i Pujol, Badalona, Spain.

Hematology Department, Hospital de Cabueñes, Gijón, Spain.

出版信息

Cancer Med. 2021 Feb;10(4):1314-1326. doi: 10.1002/cam4.3730. Epub 2021 Jan 25.

DOI:10.1002/cam4.3730
PMID:33492774
原文链接:https://pmc.ncbi.nlm.nih.gov/articles/PMC7926012/
Abstract

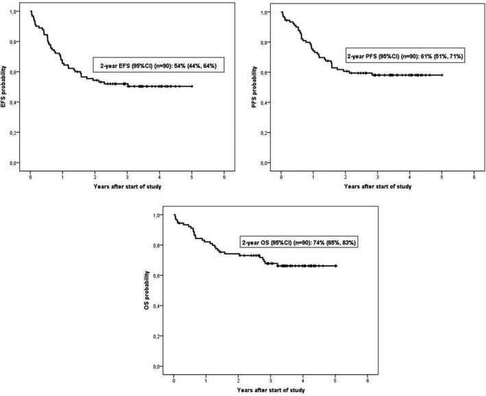
The use of non-pegylated liposomal doxorubicin (Myocet ) in diffuse large B-cell lymphoma (DLBCL) has been investigated in retrospective and single-arm prospective studies. This was a prospective phase 2 trial of DLBCL patients ≥60 years old with left ventricular ejection fraction (LVEF) ≥55% randomized to standard R-CHOP or investigational R-COMP (with Myocet instead of conventional doxorubicin). The primary end point was to evaluate the differences in subclinical cardiotoxicity, defined as decrease in LVEF to <55% at the end of treatment. Secondary objectives were efficacy, safety, and variations of troponin and N-terminal pro-B-type natriuretic peptide (NT-proBNP) and LVEF along follow-up. Ninety patients were included, 45 in each group. No differences were observed in the percentage of patients with LVEF <55% at end of treatment (11% in R-CHOP arm vs. 7% in R-COMP arm, p = 0.697) or at 4 months (10% vs. 6%, respectively, p = 0.667) and 12 months (8% vs. 7%, respectively, p = 1). However, a higher percentage of R-CHOP compared with R-COMP patients showed increased troponin levels in cycle 6 (100% vs. 63%, p = 0.001) and at 1 month after treatment (88% vs. 56%, respectively, p = 0.015). Cardiovascular adverse events were seen in five R-CHOP patients (nine episodes, four grade ≥3) and in four R-COMP patients (five episodes, all grade 1-2). No significant differences in efficacy were observed. In conclusion, R-COMP is a feasible immunochemotherapy schedule for DLBCL patients ≥60 years, with similar efficacy to R-CHOP. However, the use of non-pegylated doxorubicin instead of conventional doxorubicin was not associated with less early cardiotoxicity, although some reduced cardiac safety signals were observed. Trial registration: ClinicalTrials.gov Identifier: NCT02012088.

摘要

非聚乙二醇化脂质体多柔比星(Myocet)在弥漫性大 B 细胞淋巴瘤(DLBCL)中的应用已在回顾性和单臂前瞻性研究中进行了研究。这是一项针对年龄≥60 岁、左心室射血分数(LVEF)≥55%的 DLBCL 患者的前瞻性 2 期试验,这些患者被随机分配至标准 R-CHOP 或研究性 R-COMP(用 Myocet 替代常规多柔比星)。主要终点是评估治疗结束时 LVEF 降至<55%的亚临床心脏毒性差异。次要目标是评估疗效、安全性以及随访期间肌钙蛋白和 N 末端 pro-B 型利钠肽(NT-proBNP)和 LVEF 的变化。90 例患者入选,每组 45 例。治疗结束时(R-CHOP 组为 11%,R-COMP 组为 7%,p=0.697)或 4 个月时(分别为 10%和 6%,p=0.667)和 12 个月时(分别为 8%和 7%,p=1),两组中 LVEF<55%的患者比例无差异。然而,与 R-COMP 患者相比,R-CHOP 患者在第 6 周期(100%比 63%,p=0.001)和治疗后 1 个月(88%比 56%,p=0.015)时显示出更高的肌钙蛋白水平升高。在 5 例 R-CHOP 患者(9 例,4 级≥3 级)和 4 例 R-COMP 患者(5 例,均为 1-2 级)中观察到心血管不良事件。两组的疗效无显著差异。总之,R-COMP 是一种适用于年龄≥60 岁的 DLBCL 患者的可行免疫化疗方案,其疗效与 R-CHOP 相当。然而,与常规多柔比星相比,使用非聚乙二醇化多柔比星并未导致早期心脏毒性降低,尽管观察到一些心脏安全性降低的信号。临床试验注册:ClinicalTrials.gov 标识符:NCT02012088。

https://cdn.ncbi.nlm.nih.gov/pmc/blobs/6db4/7926012/026d6e9b3672/CAM4-10-1314-g003.jpg
https://cdn.ncbi.nlm.nih.gov/pmc/blobs/6db4/7926012/d6d5e53764e5/CAM4-10-1314-g001.jpg
https://cdn.ncbi.nlm.nih.gov/pmc/blobs/6db4/7926012/903483a8fef5/CAM4-10-1314-g002.jpg
https://cdn.ncbi.nlm.nih.gov/pmc/blobs/6db4/7926012/026d6e9b3672/CAM4-10-1314-g003.jpg
https://cdn.ncbi.nlm.nih.gov/pmc/blobs/6db4/7926012/d6d5e53764e5/CAM4-10-1314-g001.jpg
https://cdn.ncbi.nlm.nih.gov/pmc/blobs/6db4/7926012/903483a8fef5/CAM4-10-1314-g002.jpg
https://cdn.ncbi.nlm.nih.gov/pmc/blobs/6db4/7926012/026d6e9b3672/CAM4-10-1314-g003.jpg

相似文献

1
R-COMP versus R-CHOP as first-line therapy for diffuse large B-cell lymphoma in patients ≥60 years: Results of a randomized phase 2 study from the Spanish GELTAMO group.R-COMP 方案与 R-CHOP 方案一线治疗 60 岁以上弥漫性大 B 细胞淋巴瘤患者:来自西班牙 GELTAMO 小组的一项随机 2 期研究结果。
Cancer Med. 2021 Feb;10(4):1314-1326. doi: 10.1002/cam4.3730. Epub 2021 Jan 25.
2
Cardiotoxicity with rituximab, cyclophosphamide, non-pegylated liposomal doxorubicin, vincristine and prednisolone compared to rituximab, cyclophosphamide, doxorubicin, vincristine, and prednisolone in frontline treatment of patients with diffuse large B-cell lymphoma: A randomised phase-III study from the Austrian Cancer Drug Therapy Working Group [Arbeitsgemeinschaft Medikamentöse Tumortherapie AGMT](NHL-14).与利妥昔单抗、环磷酰胺、阿霉素、长春新碱和泼尼松龙相比,利妥昔单抗、环磷酰胺、非聚乙二醇化脂质体阿霉素、长春新碱和泼尼松龙在弥漫性大B细胞淋巴瘤患者一线治疗中的心脏毒性:奥地利癌症药物治疗工作组[Arbeitsgemeinschaft Medikamentöse Tumortherapie AGMT](NHL-14)的一项随机III期研究。
Eur J Cancer. 2016 May;58:112-21. doi: 10.1016/j.ejca.2016.02.004. Epub 2016 Mar 15.
3
Nonpegylated Liposomal Doxorubicin as a Component of R-CHOP Is an Effective and Safe Alternative to Conventional Doxorubicin in the Treatment of Patients With Diffuse Large B-Cell Lymphoma and Preexisting Cardiac Diseases.非聚乙二醇化脂质体阿霉素作为R-CHOP方案的组成部分,在治疗弥漫性大B细胞淋巴瘤和已有心脏疾病的患者中,是传统阿霉素有效且安全的替代药物。
Clin Lymphoma Myeloma Leuk. 2015 Aug;15(8):458-63. doi: 10.1016/j.clml.2015.03.008. Epub 2015 Mar 24.
4
A randomized, open-label, Phase III study of obinutuzumab or rituximab plus CHOP in patients with previously untreated diffuse large B-Cell lymphoma: final analysis of GOYA.一项奥滨尤妥珠单抗或利妥昔单抗联合 CHOP 方案对比利妥昔单抗联合 CHOP 方案治疗初治弥漫性大 B 细胞淋巴瘤的随机、开放标签、III 期研究:GOYA 的最终分析。
J Hematol Oncol. 2020 Jun 6;13(1):71. doi: 10.1186/s13045-020-00900-7.
5
Nonpegylated liposomal doxorubicin (MyocetTM) combination (R-COMP) chemotherapy in elderly patients with diffuse large B-cell lymphoma (DLBCL): results from the phase II EUR018 trial.非聚乙二醇化脂质体多柔比星(MyocetTM)联合(R-COMP)化疗治疗老年弥漫性大 B 细胞淋巴瘤(DLBCL):来自 II 期 EUR018 试验的结果。
Ann Oncol. 2010 Jul;21(7):1492-1499. doi: 10.1093/annonc/mdp544. Epub 2009 Dec 11.
6
Everolimus combined with R-CHOP-21 for new, untreated, diffuse large B-cell lymphoma (NCCTG 1085 [Alliance]): safety and efficacy results of a phase 1 and feasibility trial.依维莫司联合R-CHOP-21方案治疗初治弥漫性大B细胞淋巴瘤(NCCTG 1085 [联盟]):1期安全性、有效性及可行性试验结果
Lancet Haematol. 2016 Jul;3(7):e309-16. doi: 10.1016/S2352-3026(16)30040-0. Epub 2016 Jun 5.
7
Four versus six cycles of CHOP chemotherapy in combination with six applications of rituximab in patients with aggressive B-cell lymphoma with favourable prognosis (FLYER): a randomised, phase 3, non-inferiority trial.在预后良好的侵袭性 B 细胞淋巴瘤患者中,与六次利妥昔单抗联合使用相比,四个与六个周期的 CHOP 化疗(FLYER):一项随机、3 期、非劣效性试验。
Lancet. 2019 Dec 21;394(10216):2271-2281. doi: 10.1016/S0140-6736(19)33008-9.
8
Rituximab-CHOP With Early Rituximab Intensification for Diffuse Large B-Cell Lymphoma: A Randomized Phase III Trial of the HOVON and the Nordic Lymphoma Group (HOVON-84).利妥昔单抗-CHOP 联合早期利妥昔单抗强化治疗弥漫性大 B 细胞淋巴瘤:HOVON 和北欧淋巴瘤组(HOVON-84)的一项随机 III 期试验。
J Clin Oncol. 2020 Oct 10;38(29):3377-3387. doi: 10.1200/JCO.19.03418. Epub 2020 Jul 30.
9
Rituximab plus cyclophosphamide, doxorubicin, vincristine, and prednisolone in patients with newly diagnosed diffuse large B-cell non-Hodgkin lymphoma: a phase 3 comparison of dose intensification with 14-day versus 21-day cycles.利妥昔单抗联合环磷酰胺、多柔比星、长春新碱和泼尼松治疗新诊断弥漫性大 B 细胞非霍奇金淋巴瘤患者:14 天与 21 天周期强化剂量的 3 期比较。
Lancet. 2013 May 25;381(9880):1817-26. doi: 10.1016/S0140-6736(13)60313-X. Epub 2013 Apr 22.
10
Rituximab-dose-dense chemotherapy with or without high-dose chemotherapy plus autologous stem-cell transplantation in high-risk diffuse large B-cell lymphoma (DLCL04): final results of a multicentre, open-label, randomised, controlled, phase 3 study.利妥昔单抗密集化疗联合或不联合大剂量化疗和自体干细胞移植治疗高危弥漫性大 B 细胞淋巴瘤(DLCL04):一项多中心、开放标签、随机、对照、3 期研究的最终结果。
Lancet Oncol. 2017 Aug;18(8):1076-1088. doi: 10.1016/S1470-2045(17)30444-8. Epub 2017 Jun 28.

引用本文的文献

1
Treatment outcomes in elderly patients ≥ 65 years with Large B-Cell Lymphoma (LBCL): a real-world single center experience focusing on potential CD19-CAR-T eligibility in second line.65岁及以上大B细胞淋巴瘤(LBCL)老年患者的治疗结果:一项聚焦二线治疗中潜在CD19嵌合抗原受体T细胞(CAR-T)适用性的单中心真实世界经验
Ann Hematol. 2025 Jun 27. doi: 10.1007/s00277-025-06478-9.
2
JSH practical guidelines for hematological malignancies, 2023: II. Lymphoma5. Diffuse large B-cell lymphoma, not otherwise specified (DLBCL, NOS).《日本血液学会2023年血液系统恶性肿瘤实用指南:II. 淋巴瘤5. 未另行指定的弥漫性大B细胞淋巴瘤(DLBCL,NOS)》
Int J Hematol. 2025 May 28. doi: 10.1007/s12185-025-03997-z.
3

本文引用的文献

1
Spanish Lymphoma Group (GELTAMO) guidelines for the diagnosis, staging, treatment, and follow-up of diffuse large B-cell lymphoma.西班牙淋巴瘤研究组(GELTAMO)关于弥漫性大B细胞淋巴瘤的诊断、分期、治疗及随访指南。
Oncotarget. 2018 Aug 17;9(64):32383-32399. doi: 10.18632/oncotarget.25892.
2
Delivery of epirubicin via slow infusion as a strategy to mitigate chemotherapy-induced cardiotoxicity.通过缓慢输注给予表柔比星作为减轻化疗引起的心脏毒性的一种策略。
PLoS One. 2017 Nov 13;12(11):e0188025. doi: 10.1371/journal.pone.0188025. eCollection 2017.
3
Cardiotoxicity with rituximab, cyclophosphamide, non-pegylated liposomal doxorubicin, vincristine and prednisolone compared to rituximab, cyclophosphamide, doxorubicin, vincristine, and prednisolone in frontline treatment of patients with diffuse large B-cell lymphoma: A randomised phase-III study from the Austrian Cancer Drug Therapy Working Group [Arbeitsgemeinschaft Medikamentöse Tumortherapie AGMT](NHL-14).
Doxorubicin or Epirubicin Versus Liposomal Doxorubicin Therapy-Differences in Cardiotoxicity.
多柔比星或表柔比星与脂质体多柔比星治疗——心脏毒性差异
Cardiovasc Toxicol. 2025 Feb;25(2):248-268. doi: 10.1007/s12012-024-09952-4. Epub 2025 Jan 15.
4
Cardiovascular Considerations During Cancer Therapy: Gaps in Evidence and Expert Panel Recommendations.癌症治疗期间的心血管问题:证据差距与专家小组建议
JACC CardioOncol. 2024 Nov 5;6(6):815-834. doi: 10.1016/j.jaccao.2024.06.005. eCollection 2024 Dec.
5
First-Line Combination of R-CHOP with the PDE4 Inhibitor Roflumilast for High-Risk DLBCL.R-CHOP与磷酸二酯酶4(PDE4)抑制剂罗氟司特用于高危弥漫性大B细胞淋巴瘤(DLBCL)的一线联合治疗
Cancers (Basel). 2024 Nov 18;16(22):3857. doi: 10.3390/cancers16223857.
6
Appropriate Treatment Intensity for Diffuse Large B-Cell Lymphoma in the Older Population: A Review of the Literature.老年人群弥漫性大B细胞淋巴瘤的适当治疗强度:文献综述
Hematol Rep. 2024 May 24;16(2):317-330. doi: 10.3390/hematolrep16020032.
7
Evaluation of cardiotoxicity of anthracycline-containing chemotherapy regimens in patients with bone and soft tissue sarcomas: A study of the FDA adverse event reporting system joint single-center real-world experience.评价蒽环类药物联合化疗方案在骨与软组织肉瘤患者中的心脏毒性:一项基于 FDA 不良事件报告系统的联合单中心真实世界经验研究。
Cancer Med. 2023 Dec;12(24):21709-21724. doi: 10.1002/cam4.6730. Epub 2023 Dec 6.
8
New treatment options in elderly patients with Diffuse Large B-cell Lymphoma.老年弥漫性大B细胞淋巴瘤患者的新治疗选择
Front Oncol. 2023 Jul 3;13:1214026. doi: 10.3389/fonc.2023.1214026. eCollection 2023.
9
A Fondazione Italiana Linfomi cohort study of R-COMP vs R-CHOP in older patients with diffuse large B-cell lymphoma.意大利淋巴瘤基金会一项关于 R-COMP 与 R-CHOP 在老年弥漫性大 B 细胞淋巴瘤患者中的对比的研究。
Blood Adv. 2023 Aug 8;7(15):4160-4169. doi: 10.1182/bloodadvances.2023009839.
10
Comparison of first-line treatments for elderly patients with diffuse large B-cell lymphoma: A systematic review and network meta-analysis.比较老年弥漫性大 B 细胞淋巴瘤患者一线治疗方案:系统评价和网络荟萃分析。
Front Immunol. 2023 Jan 4;13:1082293. doi: 10.3389/fimmu.2022.1082293. eCollection 2022.
与利妥昔单抗、环磷酰胺、阿霉素、长春新碱和泼尼松龙相比,利妥昔单抗、环磷酰胺、非聚乙二醇化脂质体阿霉素、长春新碱和泼尼松龙在弥漫性大B细胞淋巴瘤患者一线治疗中的心脏毒性:奥地利癌症药物治疗工作组[Arbeitsgemeinschaft Medikamentöse Tumortherapie AGMT](NHL-14)的一项随机III期研究。
Eur J Cancer. 2016 May;58:112-21. doi: 10.1016/j.ejca.2016.02.004. Epub 2016 Mar 15.
4
Recommendations for cardiac chamber quantification by echocardiography in adults: an update from the American Society of Echocardiography and the European Association of Cardiovascular Imaging.成人经超声心动图进行心腔定量的建议:美国超声心动图学会和欧洲心血管影像学会的更新版
Eur Heart J Cardiovasc Imaging. 2015 Mar;16(3):233-70. doi: 10.1093/ehjci/jev014.
5
R-CHOP versus R-COMP: are they really equally effective?利妥昔单抗联合环磷酰胺、多柔比星、长春新碱和泼尼松(R-CHOP)方案与利妥昔单抗联合环磷酰胺、长春新碱、丙卡巴肼和泼尼松(R-COMP)方案:它们真的同样有效吗?
Clin Oncol (R Coll Radiol). 2014 Oct;26(10):648-52. doi: 10.1016/j.clon.2014.05.012. Epub 2014 Jun 12.
6
Role of biomarkers in cardioncology.心脏肿瘤学中的生物标志物作用。
Clin Chem Lab Med. 2011 Sep 6;49(12):1937-48. doi: 10.1515/CCLM.2011.692.
7
Biomarker approach to the detection and cardioprotective strategies during anthracycline chemotherapy.生物标志物在蒽环类化疗期间的检测及心脏保护策略中的应用。
Heart Fail Clin. 2011 Jul;7(3):323-31. doi: 10.1016/j.hfc.2011.03.002. Epub 2011 May 14.
8
Attenuated immunochemotherapy regimen (R-miniCHOP) in elderly patients older than 80 years with diffuse large B-cell lymphoma: a multicentre, single-arm, phase 2 trial.80 岁以上弥漫性大 B 细胞淋巴瘤患者的减毒免疫化疗方案(R-miniCHOP):一项多中心、单臂、2 期临床试验。
Lancet Oncol. 2011 May;12(5):460-8. doi: 10.1016/S1470-2045(11)70069-9. Epub 2011 Apr 7.
9
Role of biomarkers in chemotherapy-induced cardiotoxicity.生物标志物在化疗引起的心脏毒性中的作用。
Prog Cardiovasc Dis. 2010 Sep-Oct;53(2):121-9. doi: 10.1016/j.pcad.2010.04.002.
10
Nonpegylated liposomal doxorubicin (MyocetTM) combination (R-COMP) chemotherapy in elderly patients with diffuse large B-cell lymphoma (DLBCL): results from the phase II EUR018 trial.非聚乙二醇化脂质体多柔比星(MyocetTM)联合(R-COMP)化疗治疗老年弥漫性大 B 细胞淋巴瘤(DLBCL):来自 II 期 EUR018 试验的结果。
Ann Oncol. 2010 Jul;21(7):1492-1499. doi: 10.1093/annonc/mdp544. Epub 2009 Dec 11.