• 文献检索
  • 文档翻译
  • 深度研究
  • 学术资讯
  • Suppr Zotero 插件Zotero 插件
  • 邀请有礼
  • 套餐&价格
  • 历史记录
应用&插件
Suppr Zotero 插件Zotero 插件浏览器插件Mac 客户端Windows 客户端微信小程序
定价
高级版会员购买积分包购买API积分包
服务
文献检索文档翻译深度研究API 文档MCP 服务
关于我们
关于 Suppr公司介绍联系我们用户协议隐私条款
关注我们

Suppr 超能文献

核心技术专利:CN118964589B侵权必究
粤ICP备2023148730 号-1Suppr @ 2026

文献检索

告别复杂PubMed语法,用中文像聊天一样搜索,搜遍4000万医学文献。AI智能推荐,让科研检索更轻松。

立即免费搜索

文件翻译

保留排版,准确专业,支持PDF/Word/PPT等文件格式,支持 12+语言互译。

免费翻译文档

深度研究

AI帮你快速写综述,25分钟生成高质量综述,智能提取关键信息,辅助科研写作。

立即免费体验

巴西吸烟者的胸主动脉大小:使用低剂量胸部 CT 解剖和流行病学评估的测量方法。

Thoracic aortic size in Brazilian smokers: measures using low-dose chest computed tomography anatomical and epidemiological assessment.

机构信息

Hospital Israelita Albert Einstein, Sao Paulo, SP, BR.

出版信息

Clinics (Sao Paulo). 2021 Jan 20;76:e2315. doi: 10.6061/clinics/2021/e2315. eCollection 2021.

DOI:10.6061/clinics/2021/e2315
PMID:33503189
原文链接:https://pmc.ncbi.nlm.nih.gov/articles/PMC7798129/
Abstract

OBJECTIVES

Thoracic aortic aneurysms (TAAs) represent one-third of the hospitalizations for aortic diseases. The prevalence rate depends on the definition of the normal size of the aorta, which is quite variable, depending on the population studied. The aim of this study was to evaluate the characteristics of the thoracic aorta of Brazilian smokers, identifying the normal size of the aorta, presence of anatomical variations, and prevalence of TAA.

MATERIALS AND METHODS

A total of 711 patients underwent radiological evaluation with low-dose computed tomography (CT) from January 2013 to July 2014 with the initial objective of lung nodule tracking. Two examiners evaluated these images, and measurements of maximum and serial diameters were performed manually in true orthogonal planes. Serial diameter measurements were taken every 2 cm in the ascending aorta and 5 cm in the descending segment. We searched for anatomical variations, aortic arch type, and correlations between anatomical characteristics, sex, body mass index, and body surface area (BSA).

RESULTS

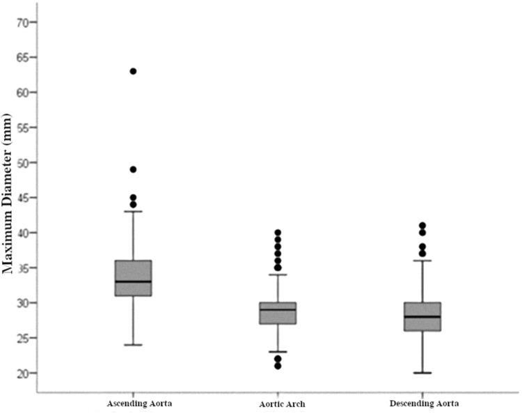
The maximum diameters were 33.61 (standard deviation [SD] 3.88), 28.66 (SD 2.89), and 28.36 mm (SD 3.09) for the ascending segment, aortic arch, and descending segment, respectively. A positive correlation was found between male sex, age, and BSA and aorta diameter. The bovine arch was the most common variation of the aortic arch type, and we found one (0.14%) case of TAA.

CONCLUSIONS

This study with low-dose CT allowed the determination of the mean diameters of the ascending aorta, aortic arch, and descending aorta in Brazilian smokers and TAA prevalence.

摘要

目的

胸主动脉瘤(TAA)占主动脉疾病住院患者的三分之一。其患病率取决于主动脉正常大小的定义,而这一定义因所研究的人群而异,具有很大的变异性。本研究旨在评估巴西吸烟者的胸主动脉特征,确定主动脉正常大小、解剖变异的存在以及 TAA 的患病率。

材料和方法

2013 年 1 月至 2014 年 7 月,共有 711 例患者接受了低剂量计算机断层扫描(CT)检查,最初目的是跟踪肺结节。两名检查者评估了这些图像,并在真正的正交平面上手动进行最大直径和连续直径的测量。升主动脉每隔 2cm,降主动脉每隔 5cm 进行连续直径测量。我们寻找解剖变异、主动脉弓类型,并分析解剖特征与性别、体重指数和体表面积(BSA)之间的相关性。

结果

升主动脉、主动脉弓和降主动脉的最大直径分别为 33.61(标准差[SD]3.88)、28.66(SD 2.89)和 28.36mm(SD 3.09)。男性、年龄和 BSA 与主动脉直径呈正相关。牛型主动脉弓是最常见的主动脉弓类型变异,我们发现 1 例(0.14%)TAA。

结论

本项低剂量 CT 研究确定了巴西吸烟者升主动脉、主动脉弓和降主动脉的平均直径以及 TAA 的患病率。

https://cdn.ncbi.nlm.nih.gov/pmc/blobs/d0ad/7798129/9144b2e7b05c/cln-76-e2315-g003.jpg
https://cdn.ncbi.nlm.nih.gov/pmc/blobs/d0ad/7798129/8d2c17acf7bc/cln-76-e2315-g001.jpg
https://cdn.ncbi.nlm.nih.gov/pmc/blobs/d0ad/7798129/38f713773f06/cln-76-e2315-g002.jpg
https://cdn.ncbi.nlm.nih.gov/pmc/blobs/d0ad/7798129/9144b2e7b05c/cln-76-e2315-g003.jpg
https://cdn.ncbi.nlm.nih.gov/pmc/blobs/d0ad/7798129/8d2c17acf7bc/cln-76-e2315-g001.jpg
https://cdn.ncbi.nlm.nih.gov/pmc/blobs/d0ad/7798129/38f713773f06/cln-76-e2315-g002.jpg
https://cdn.ncbi.nlm.nih.gov/pmc/blobs/d0ad/7798129/9144b2e7b05c/cln-76-e2315-g003.jpg

相似文献

1
Thoracic aortic size in Brazilian smokers: measures using low-dose chest computed tomography anatomical and epidemiological assessment.巴西吸烟者的胸主动脉大小:使用低剂量胸部 CT 解剖和流行病学评估的测量方法。
Clinics (Sao Paulo). 2021 Jan 20;76:e2315. doi: 10.6061/clinics/2021/e2315. eCollection 2021.
2
Prevalence of Thoracic Aortic Aneurysms in Patients with Degenerative Abdominal Aortic Aneurysms: Results from the Prospective ACTA Study.胸主动脉瘤在退行性腹主动脉瘤患者中的发生率:前瞻性 ACTA 研究结果。
Eur J Vasc Endovasc Surg. 2021 Jun;61(6):930-937. doi: 10.1016/j.ejvs.2021.03.004. Epub 2021 Apr 20.
3
Aortic size assessment by noncontrast cardiac computed tomography: normal limits by age, gender, and body surface area.通过非增强心脏计算机断层扫描评估主动脉大小:按年龄、性别和体表面积划分的正常范围
JACC Cardiovasc Imaging. 2008 Mar;1(2):200-9. doi: 10.1016/j.jcmg.2007.11.005.
4
Correlation between coronary artery calcium score and aortic diameter in a high-risk population of elderly male hypertensive patients.老年男性高血压高危人群中冠状动脉钙化积分与主动脉直径的相关性
Coron Artery Dis. 2014 Dec;25(8):698-704. doi: 10.1097/MCA.0000000000000150.
5
Endovascular stent grafting and open surgical replacement for chronic thoracic aortic aneurysms: a systematic review and prospective cohort study.血管内支架移植物和开放手术治疗慢性胸主动脉瘤:系统评价和前瞻性队列研究。
Health Technol Assess. 2022 Jan;26(6):1-166. doi: 10.3310/ABUT7744.
6
Differential expansion and outcomes of ascending and descending degenerative thoracic aortic aneurysms.升、降主动脉退行性病变性动脉瘤的差异性扩张及结果。
J Thorac Cardiovasc Surg. 2024 Mar;167(3):918-926.e3. doi: 10.1016/j.jtcvs.2022.03.032. Epub 2022 Apr 9.
7
Body-surface adjusted aortic reference diameters for improved identification of patients with thoracic aortic aneurysms: results from the population-based Heinz Nixdorf Recall study.体表修正的主动脉参考直径有助于识别胸主动脉瘤患者:基于人群的 Heinz Nixdorf 召回研究结果。
Int J Cardiol. 2013 Feb 10;163(1):72-8. doi: 10.1016/j.ijcard.2011.05.039. Epub 2011 Jun 8.
8
Screening Chest Computed Tomography is Indicated in All Patients with Abdominal Aortic Aneurysm.所有腹主动脉瘤患者均需进行胸部计算机断层扫描筛查。
Ann Vasc Surg. 2020 May;65:190-195. doi: 10.1016/j.avsg.2019.11.029. Epub 2019 Nov 26.
9
Normal thoracic aortic diameter in Thai people by multidetector computed tomography.泰国人正常胸主动脉直径的多层螺旋计算机断层扫描研究
J Med Assoc Thai. 2009 Feb;92(2):236-42.
10
Assessment of the thoracic aorta by multidetector computed tomography: age- and sex-specific reference values in adults without evident cardiovascular disease.多排螺旋计算机断层扫描评估胸主动脉:无明显心血管疾病成年人的年龄和性别特异性参考值
J Cardiovasc Comput Tomogr. 2008 Sep-Oct;2(5):298-308. doi: 10.1016/j.jcct.2008.08.002. Epub 2008 Aug 7.

引用本文的文献

1
Unsupervised machine learning for risk stratification and identification of relevant subgroups of ascending aorta dimensions using cardiac CT and clinical data.使用心脏CT和临床数据进行无监督机器学习,以对升主动脉尺寸进行风险分层并识别相关亚组。
Comput Struct Biotechnol J. 2023 Nov 29;23:287-294. doi: 10.1016/j.csbj.2023.11.021. eCollection 2024 Dec.
2
Proposed public policies to improve outcomes in vascular surgery: an experts' forum.提出改善血管外科学结果的公共政策:专家论坛。
Einstein (Sao Paulo). 2023 Aug 14;21:eAE0241. doi: 10.31744/einstein_journal/2023AE0241. eCollection 2023.

本文引用的文献

1
Prevalence of Bovine Aortic Arch Variant in Patients with Aortic Dissection and its Implications in the Outcome of Patients with Acute Type B Aortic Dissection.主动脉夹层患者主动脉弓变异的流行情况及其对急性 B 型主动脉夹层患者结局的影响。
Eur J Vasc Endovasc Surg. 2018 Mar;55(3):385-391. doi: 10.1016/j.ejvs.2017.12.005. Epub 2018 Jan 12.
2
Multimodality Noninvasive Imaging of Thoracic Aortic Aneurysms: Time to Standardize?胸主动脉瘤的多模态无创影像学:是否到了标准化的时候?
Can J Cardiol. 2016 Jan;32(1):48-59. doi: 10.1016/j.cjca.2015.09.025. Epub 2015 Oct 23.
3
Anatomical Variations in Aortic Arch Branching Pattern.
主动脉弓分支模式的解剖变异
Arch Iran Med. 2016 Jan;19(1):72-4.
4
Do Current Lung Cancer Screening Guidelines Apply for Populations With High Prevalence of Granulomatous Disease? Results From the First Brazilian Lung Cancer Screening Trial (BRELT1).现行肺癌筛查指南是否适用于肉芽肿性疾病高发人群?巴西首次肺癌筛查试验(BRELT1)的结果。
Ann Thorac Surg. 2016 Feb;101(2):481-6; discussion 487-8. doi: 10.1016/j.athoracsur.2015.07.013. Epub 2015 Sep 26.
5
Aortic aneurysm screening in a high-risk population: a non-contrast computed tomography study in korean males with hypertension.在高血压高危人群中进行主动脉瘤筛查:一项针对韩国男性的非增强 CT 研究。
Korean Circ J. 2014 May;44(3):162-9. doi: 10.4070/kcj.2014.44.3.162. Epub 2014 May 20.
6
Distribution, determinants, and normal reference values of thoracic and abdominal aortic diameters by computed tomography (from the Framingham Heart Study).应用计算机断层扫描技术(来自弗莱明翰心脏研究)评估胸主动脉和腹主动脉直径的分布、决定因素和正常参考值。
Am J Cardiol. 2013 May 15;111(10):1510-6. doi: 10.1016/j.amjcard.2013.01.306. Epub 2013 Mar 13.
7
Anatomical variations in branching pattern of arcus aorta: 64-slice CTA appearance.主动脉弓分支模式的解剖变异:64层CT血管造影表现
Surg Radiol Anat. 2013 Aug;35(6):503-9. doi: 10.1007/s00276-012-1063-3. Epub 2012 Dec 28.
8
Trends in aortic aneurysm- and dissection-related mortality in the state of São Paulo, Brazil, 1985-2009: multiple-cause-of-death analysis.1985-2009 年巴西圣保罗州主动脉瘤和夹层相关死亡率趋势:多病因死亡率分析。
BMC Public Health. 2012 Oct 10;12:859. doi: 10.1186/1471-2458-12-859.
9
Body-surface adjusted aortic reference diameters for improved identification of patients with thoracic aortic aneurysms: results from the population-based Heinz Nixdorf Recall study.体表修正的主动脉参考直径有助于识别胸主动脉瘤患者:基于人群的 Heinz Nixdorf 召回研究结果。
Int J Cardiol. 2013 Feb 10;163(1):72-8. doi: 10.1016/j.ijcard.2011.05.039. Epub 2011 Jun 8.
10
2010 ACCF/AHA/AATS/ACR/ASA/SCA/SCAI/SIR/STS/SVM guidelines for the diagnosis and management of patients with Thoracic Aortic Disease: a report of the American College of Cardiology Foundation/American Heart Association Task Force on Practice Guidelines, American Association for Thoracic Surgery, American College of Radiology, American Stroke Association, Society of Cardiovascular Anesthesiologists, Society for Cardiovascular Angiography and Interventions, Society of Interventional Radiology, Society of Thoracic Surgeons, and Society for Vascular Medicine.2010年美国心脏病学会基金会/美国心脏协会实践指南工作组、美国胸外科协会、美国放射学会、美国中风协会、心血管麻醉医师协会、心血管造影和介入学会、介入放射学会、胸外科医师学会以及血管医学学会关于胸主动脉疾病患者诊断和管理的指南:一份报告
Circulation. 2010 Apr 6;121(13):e266-369. doi: 10.1161/CIR.0b013e3181d4739e. Epub 2010 Mar 16.