• 文献检索
  • 文档翻译
  • 深度研究
  • 学术资讯
  • Suppr Zotero 插件Zotero 插件
  • 邀请有礼
  • 套餐&价格
  • 历史记录
应用&插件
Suppr Zotero 插件Zotero 插件浏览器插件Mac 客户端Windows 客户端微信小程序
定价
高级版会员购买积分包购买API积分包
服务
文献检索文档翻译深度研究API 文档MCP 服务
关于我们
关于 Suppr公司介绍联系我们用户协议隐私条款
关注我们

Suppr 超能文献

核心技术专利:CN118964589B侵权必究
粤ICP备2023148730 号-1Suppr @ 2026

文献检索

告别复杂PubMed语法,用中文像聊天一样搜索,搜遍4000万医学文献。AI智能推荐,让科研检索更轻松。

立即免费搜索

文件翻译

保留排版,准确专业,支持PDF/Word/PPT等文件格式,支持 12+语言互译。

免费翻译文档

深度研究

AI帮你快速写综述,25分钟生成高质量综述,智能提取关键信息,辅助科研写作。

立即免费体验

利用胶质母细胞瘤单细胞RNA测序数据剖析侵袭相关长链非编码RNA

Dissecting the Invasion-Associated Long Non-coding RNAs Using Single-Cell RNA-Seq Data of Glioblastoma.

作者信息

Pang Bo, Quan Fei, Ping Yanyan, Hu Jing, Lan Yujia, Pang Lin

机构信息

College of Bioinformatics Science and Technology, Harbin Medical University, Harbin, China.

出版信息

Front Genet. 2021 Jan 11;11:633455. doi: 10.3389/fgene.2020.633455. eCollection 2020.

DOI:10.3389/fgene.2020.633455
PMID:33505440
原文链接:https://pmc.ncbi.nlm.nih.gov/articles/PMC7831882/
Abstract

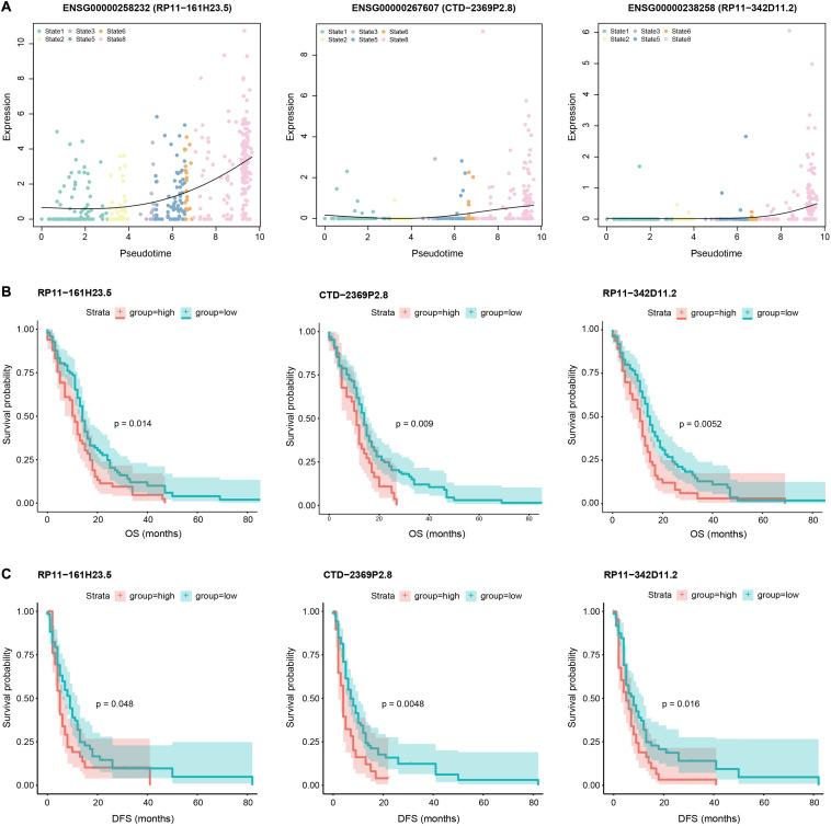
Glioblastoma (GBM) is characterized by rapid and lethal infiltration of brain tissue, which is the primary cause of treatment failure and deaths for GBM. Therefore, understanding the molecular mechanisms of tumor cell invasion is crucial for the treatment of GBM. In this study, we dissected the single-cell RNA-seq data of 3345 cells from four patients and identified dysregulated genes including long non-coding RNAs (lncRNAs), which were involved in the development and progression of GBM. Based on co-expression network analysis, we identified a module (M1) that significantly overlapped with the largest number of dysregulated genes and was confirmed to be associated with GBM invasion by integrating EMT signature, experiment-validated invasive marker and pseudotime trajectory analysis. Further, we denoted invasion-associated lncRNAs which showed significant correlations with M1 and revealed their gradually increased expression levels along the tumor cell invasion trajectory, such as VIM-AS1, WWTR1-AS1, and NEAT1. We also observed the contribution of higher expression of these lncRNAs to poorer survival of GBM patients. These results were mostly recaptured in another validation data of 7930 single cells from 28 GBM patients. Our findings identified lncRNAs that played critical roles in regulating or controlling cell invasion and migration of GBM and provided new insights into the molecular mechanisms underlying GBM invasion as well as potential targets for the treatment of GBM.

摘要

胶质母细胞瘤(GBM)的特征是脑组织的快速致死性浸润,这是GBM治疗失败和死亡的主要原因。因此,了解肿瘤细胞侵袭的分子机制对于GBM的治疗至关重要。在本研究中,我们剖析了来自四名患者的3345个细胞的单细胞RNA测序数据,并鉴定了包括长链非编码RNA(lncRNA)在内的失调基因,这些基因参与了GBM的发生和发展。基于共表达网络分析,我们确定了一个模块(M1),该模块与数量最多的失调基因显著重叠,并通过整合上皮-间质转化(EMT)特征、实验验证的侵袭标志物和伪时间轨迹分析,证实与GBM侵袭相关。此外,我们标记了与M1显示出显著相关性的侵袭相关lncRNA,并揭示了它们沿肿瘤细胞侵袭轨迹的表达水平逐渐增加,如VIM-AS1、WWTR1-AS1和NEAT1。我们还观察到这些lncRNA的高表达对GBM患者较差的生存率有影响。这些结果在来自28名GBM患者的7930个单细胞的另一验证数据中大多得到重现。我们的研究结果确定了在调节或控制GBM细胞侵袭和迁移中起关键作用的lncRNA,并为GBM侵袭的分子机制以及GBM治疗的潜在靶点提供了新的见解。

https://cdn.ncbi.nlm.nih.gov/pmc/blobs/bea2/7831882/d40d070c1058/fgene-11-633455-g005.jpg
https://cdn.ncbi.nlm.nih.gov/pmc/blobs/bea2/7831882/1920244a7251/fgene-11-633455-g001.jpg
https://cdn.ncbi.nlm.nih.gov/pmc/blobs/bea2/7831882/82f18796585c/fgene-11-633455-g002.jpg
https://cdn.ncbi.nlm.nih.gov/pmc/blobs/bea2/7831882/71716acbaa38/fgene-11-633455-g003.jpg
https://cdn.ncbi.nlm.nih.gov/pmc/blobs/bea2/7831882/c1d5732b8f9b/fgene-11-633455-g004.jpg
https://cdn.ncbi.nlm.nih.gov/pmc/blobs/bea2/7831882/d40d070c1058/fgene-11-633455-g005.jpg
https://cdn.ncbi.nlm.nih.gov/pmc/blobs/bea2/7831882/1920244a7251/fgene-11-633455-g001.jpg
https://cdn.ncbi.nlm.nih.gov/pmc/blobs/bea2/7831882/82f18796585c/fgene-11-633455-g002.jpg
https://cdn.ncbi.nlm.nih.gov/pmc/blobs/bea2/7831882/71716acbaa38/fgene-11-633455-g003.jpg
https://cdn.ncbi.nlm.nih.gov/pmc/blobs/bea2/7831882/c1d5732b8f9b/fgene-11-633455-g004.jpg
https://cdn.ncbi.nlm.nih.gov/pmc/blobs/bea2/7831882/d40d070c1058/fgene-11-633455-g005.jpg

相似文献

1
Dissecting the Invasion-Associated Long Non-coding RNAs Using Single-Cell RNA-Seq Data of Glioblastoma.利用胶质母细胞瘤单细胞RNA测序数据剖析侵袭相关长链非编码RNA
Front Genet. 2021 Jan 11;11:633455. doi: 10.3389/fgene.2020.633455. eCollection 2020.
2
Single-cell RNA-seq reveals the invasive trajectory and molecular cascades underlying glioblastoma progression.单细胞 RNA 测序揭示了胶质母细胞瘤进展的浸润轨迹和分子级联反应。
Mol Oncol. 2019 Dec;13(12):2588-2603. doi: 10.1002/1878-0261.12569. Epub 2019 Sep 17.
3
Mir-370-3p Impairs Glioblastoma Stem-Like Cell Malignancy Regulating a Complex Interplay between HMGA2/HIF1A and the Oncogenic Long Non-Coding RNA (lncRNA) NEAT1.miR-370-3p 通过调节 HMGA2/HIF1A 与致癌长链非编码 RNA(lncRNA)NEAT1 之间的复杂相互作用来抑制神经胶质瘤干细胞样细胞的恶性表型。
Int J Mol Sci. 2020 May 20;21(10):3610. doi: 10.3390/ijms21103610.
4
Discovering Rare Genes Contributing to Cancer Stemness and Invasive Potential by GBM Single-Cell Transcriptional Analysis.通过胶质母细胞瘤单细胞转录分析发现促成癌症干性和侵袭潜能的罕见基因。
Cancers (Basel). 2019 Dec 16;11(12):2025. doi: 10.3390/cancers11122025.
5
[Dysregulation of Long Non-coding RNAs in Glioblastoma Multiforme and Their Study Through Use of Modern Molecular-Genetic Approaches].[多形性胶质母细胞瘤中长链非编码RNA的失调及其通过现代分子遗传学方法的研究]
Klin Onkol. 2018 Spring;31(Supplementum1):168-170.
6
Identifying survival-associated modules from the dysregulated triplet network in glioblastoma multiforme.从多形性胶质母细胞瘤中失调的三联体网络识别生存相关模块。
J Cancer Res Clin Oncol. 2017 Apr;143(4):661-671. doi: 10.1007/s00432-016-2332-z. Epub 2017 Feb 6.
7
Long non-coding RNA AGAP2-AS1 exerts oncogenic properties in glioblastoma by epigenetically silencing TFPI2 through EZH2 and LSD1.长链非编码RNA AGAP2-AS1通过EZH2和LSD1对TFPI2进行表观遗传沉默,从而在胶质母细胞瘤中发挥致癌作用。
Aging (Albany NY). 2019 Jun 11;11(11):3811-3823. doi: 10.18632/aging.102018.
8
Genetic landscape of long noncoding RNA (lncRNAs) in glioblastoma: identification of complex lncRNA regulatory networks and clinically relevant lncRNAs in glioblastoma.胶质母细胞瘤中长链非编码RNA(lncRNAs)的遗传图谱:胶质母细胞瘤中复杂lncRNA调控网络及临床相关lncRNAs的鉴定
Oncotarget. 2018 Jul 3;9(51):29548-29564. doi: 10.18632/oncotarget.25434.
9
Prospective Series of Nine Long Noncoding RNAs Associated with Survival of Patients with Glioblastoma.与胶质母细胞瘤患者生存相关的9种长链非编码RNA的前瞻性系列研究
J Neurol Surg A Cent Eur Neurosurg. 2018 Nov;79(6):471-478. doi: 10.1055/s-0038-1655549. Epub 2018 Jun 29.
10
LncRNA and mRNA expression profiles of glioblastoma multiforme (GBM) reveal the potential roles of lncRNAs in GBM pathogenesis.多形性胶质母细胞瘤(GBM)的lncRNA和mRNA表达谱揭示了lncRNAs在GBM发病机制中的潜在作用。
Tumour Biol. 2016 Nov;37(11):14537-14552. doi: 10.1007/s13277-016-5299-0. Epub 2016 Sep 8.

引用本文的文献

1
Identifying the personalized driver gene sets maximally contributing to abnormality of transcriptome phenotype in glioblastoma multiforme individuals.鉴定最大程度导致胶质母细胞瘤个体转录组表型异常的个性化驱动基因集。
Mol Oncol. 2023 Nov;17(11):2472-2490. doi: 10.1002/1878-0261.13499. Epub 2023 Aug 8.
2
Systematic characterization and biological functions of non-coding RNAs in glioblastoma.胶质母细胞瘤中非编码 RNA 的系统表征和生物学功能。
Cell Prolif. 2023 Mar;56(3):e13375. doi: 10.1111/cpr.13375. Epub 2022 Dec 1.
3
Nanotherapeutic treatment of the invasive glioblastoma tumor microenvironment.

本文引用的文献

1
SATB2 drives glioblastoma growth by recruiting CBP to promote FOXM1 expression in glioma stem cells.SATB2 通过招募 CBP 促进 FOXM1 在神经胶质瘤干细胞中的表达来驱动神经胶质瘤的生长。
EMBO Mol Med. 2020 Dec 7;12(12):e12291. doi: 10.15252/emmm.202012291. Epub 2020 Oct 30.
2
LncRNA NEAT1 promotes malignant phenotypes and TMZ resistance in glioblastoma stem cells by regulating let-7g-5p/MAP3K1 axis.长链非编码 RNA NEAT1 通过调节 let-7g-5p/MAP3K1 轴促进胶质母细胞瘤干细胞的恶性表型和 TMZ 耐药性。
Biosci Rep. 2020 Oct 30;40(10). doi: 10.1042/BSR20201111.
3
Dissecting and rebuilding the glioblastoma microenvironment with engineered materials.
针对侵袭性神经胶质瘤肿瘤微环境的纳米治疗。
Adv Drug Deliv Rev. 2022 Sep;188:114415. doi: 10.1016/j.addr.2022.114415. Epub 2022 Jul 3.
4
Knockdown of lncRNA CCAT1 Inhibits the Progression of Colorectal Cancer via hsa-miR-4679 Mediating the Downregulation of GNG10.敲低 lncRNA CCAT1 通过 hsa-miR-4679 介导的 GNG10 下调抑制结直肠癌的进展。
J Immunol Res. 2021 Dec 30;2021:8930813. doi: 10.1155/2021/8930813. eCollection 2021.
利用工程材料剖析和重建胶质母细胞瘤微环境。
Nat Rev Mater. 2019 Oct;4(10):651-668. doi: 10.1038/s41578-019-0135-y. Epub 2019 Aug 16.
4
Single-cell RNA-seq reveals that glioblastoma recapitulates a normal neurodevelopmental hierarchy.单细胞 RNA 测序揭示胶质母细胞瘤再现了正常的神经发育层次结构。
Nat Commun. 2020 Jul 8;11(1):3406. doi: 10.1038/s41467-020-17186-5.
5
Knockdown of long non-coding RNA VIM-AS1 inhibits glioma cell proliferation and migration, and increases the cell apoptosis via modulation of WEE1 targeted by miR-105-5p.长链非编码 RNA VIM-AS1 的敲低通过 miR-105-5p 靶向调节 WEE1 抑制神经胶质瘤细胞增殖和迁移,并增加细胞凋亡。
Eur Rev Med Pharmacol Sci. 2020 Jun;24(12):6834-6847. doi: 10.26355/eurrev_202006_21673.
6
Annexin A2-STAT3-Oncostatin M receptor axis drives phenotypic and mesenchymal changes in glioblastoma.膜联蛋白 A2-STAT3-孤啡肽受体轴驱动胶质母细胞瘤的表型和间充质变化。
Acta Neuropathol Commun. 2020 Apr 5;8(1):42. doi: 10.1186/s40478-020-00916-7.
7
Epigenetic Silencing of CDR1as Drives IGF2BP3-Mediated Melanoma Invasion and Metastasis.表观遗传沉默 CDR1as 驱动 IGF2BP3 介导的黑色素瘤侵袭和转移。
Cancer Cell. 2020 Jan 13;37(1):55-70.e15. doi: 10.1016/j.ccell.2019.12.007.
8
Single-cell RNA-seq reveals the invasive trajectory and molecular cascades underlying glioblastoma progression.单细胞 RNA 测序揭示了胶质母细胞瘤进展的浸润轨迹和分子级联反应。
Mol Oncol. 2019 Dec;13(12):2588-2603. doi: 10.1002/1878-0261.12569. Epub 2019 Sep 17.
9
S100A11 functions as novel oncogene in glioblastoma via S100A11/ANXA2/NF-κB positive feedback loop.S100A11 通过 S100A11/ANXA2/NF-κB 正反馈环在胶质母细胞瘤中作为新的癌基因发挥作用。
J Cell Mol Med. 2019 Oct;23(10):6907-6918. doi: 10.1111/jcmm.14574. Epub 2019 Aug 20.
10
Resolving medulloblastoma cellular architecture by single-cell genomics.通过单细胞基因组学解析成神经管细胞瘤的细胞结构。
Nature. 2019 Aug;572(7767):74-79. doi: 10.1038/s41586-019-1434-6. Epub 2019 Jul 24.