• 文献检索
  • 文档翻译
  • 深度研究
  • 学术资讯
  • Suppr Zotero 插件Zotero 插件
  • 邀请有礼
  • 套餐&价格
  • 历史记录
应用&插件
Suppr Zotero 插件Zotero 插件浏览器插件Mac 客户端Windows 客户端微信小程序
定价
高级版会员购买积分包购买API积分包
服务
文献检索文档翻译深度研究API 文档MCP 服务
关于我们
关于 Suppr公司介绍联系我们用户协议隐私条款
关注我们

Suppr 超能文献

核心技术专利:CN118964589B侵权必究
粤ICP备2023148730 号-1Suppr @ 2026

文献检索

告别复杂PubMed语法,用中文像聊天一样搜索,搜遍4000万医学文献。AI智能推荐,让科研检索更轻松。

立即免费搜索

文件翻译

保留排版,准确专业,支持PDF/Word/PPT等文件格式,支持 12+语言互译。

免费翻译文档

深度研究

AI帮你快速写综述,25分钟生成高质量综述,智能提取关键信息,辅助科研写作。

立即免费体验

血红蛋白与红细胞分布宽度比值联合血小板与淋巴细胞比值可预测胃癌肝转移患者的生存。

The Ratio of the Hemoglobin to Red Cell Distribution Width Combined with the Ratio of Platelets to Lymphocytes Can Predict the Survival of Patients with Gastric Cancer Liver Metastasis.

机构信息

Department of Gastroenterological Surgery, Harbin Medical University Cancer Hospital, 150 Haping Road, Harbin, Heilongjiang 150081, China.

出版信息

Biomed Res Int. 2021 Jan 9;2021:8729869. doi: 10.1155/2021/8729869. eCollection 2021.

DOI:10.1155/2021/8729869
PMID:33506035
原文链接:https://pmc.ncbi.nlm.nih.gov/articles/PMC7814956/
Abstract

BACKGROUND

Hemoglobin/red cell distribution width (HR) and platelet/lymphocyte (PLR) ratios are considered effective prognostic markers in various cancers. We have proposed a new prognostic parameter: HR+PLR. The aim of this study is to explore the prognostic value of the HR+PLR scoring system in patients with gastric cancer liver metastasis.

METHODS

This study retrospectively analyzed the clinical data of 306 patients with gastric cancer liver metastases admitted to our hospital from 2007 to 2014. According to the size of HR value and PLR value, we will divide the patients into three groups, namely, HR+PLR: (1) 0 points: HR > 1.02 and PLR < 128; (2) 1 point: HR > 1.02 and PLR > 128 and HR < 1.02 and PLR < 128; and (3) 2 points: HR < 1.02 and PLR > 128.

RESULTS

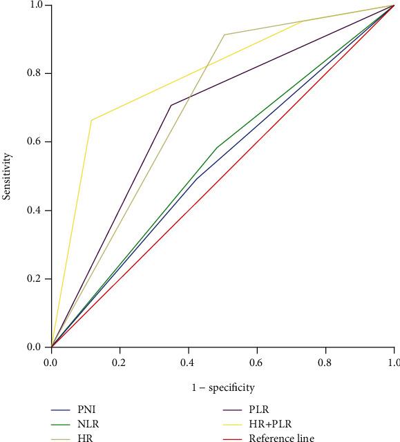
The HR+PLR score was statistically different from age ( = 0.049), T stage ( < 0.001), N stage ( = 0.017), number of liver metastases ( = 0.018), gastrectomy ( < 0.001), hepatectomy ( = 0.001), peritoneal metastasis ( = 0.012), prognostic nutritional index (PNI) ( = 0.028), and neutrophil/lymphocyte ratio (NLR) ( = 0.045). The HR+PLR scoring system has a higher area under the ROC curve (AUC value) than PNI, PLR, HR, and PLR (AUC = 0.798, < 0.001). In multivariate analysis, gastrectomy ( = 0.001), hepatectomy ( < 0.001), chemotherapy ( = 0.014), and HR+PLR score ( < 0.001) were considered independent prognostic factors.

CONCLUSION

For patients with gastric cancer liver metastasis, the HR+PLR score is a simple, reliable, and economic prognostic marker.

摘要

背景

血红蛋白/红细胞分布宽度(HR)和血小板/淋巴细胞(PLR)比值被认为是各种癌症的有效预后标志物。我们提出了一种新的预后参数:HR+PLR。本研究旨在探讨 HR+PLR 评分系统在胃癌肝转移患者中的预后价值。

方法

本研究回顾性分析了 2007 年至 2014 年我院收治的 306 例胃癌肝转移患者的临床资料。根据 HR 值和 PLR 值的大小,将患者分为三组,即 HR+PLR:(1)0 分:HR>1.02,PLR<128;(2)1 分:HR>1.02,PLR>128,HR<1.02,PLR<128;(3)2 分:HR<1.02,PLR>128。

结果

HR+PLR 评分与年龄( = 0.049)、T 分期(<0.001)、N 分期( = 0.017)、肝转移灶数量( = 0.018)、胃切除术(<0.001)、肝切除术( = 0.001)、腹膜转移( = 0.012)、预后营养指数(PNI)( = 0.028)和中性粒细胞/淋巴细胞比值(NLR)( = 0.045)存在统计学差异。HR+PLR 评分系统的 ROC 曲线下面积(AUC 值)高于 PNI、PLR、HR 和 NLR(AUC = 0.798,<0.001)。多因素分析显示,胃切除术( = 0.001)、肝切除术(<0.001)、化疗( = 0.014)和 HR+PLR 评分(<0.001)是独立的预后因素。

结论

对于胃癌肝转移患者,HR+PLR 评分是一种简单、可靠、经济的预后标志物。

https://cdn.ncbi.nlm.nih.gov/pmc/blobs/8e27/7814956/693524b6cd7e/BMRI2021-8729869.007.jpg
https://cdn.ncbi.nlm.nih.gov/pmc/blobs/8e27/7814956/c281583bc094/BMRI2021-8729869.001.jpg
https://cdn.ncbi.nlm.nih.gov/pmc/blobs/8e27/7814956/8379339de70c/BMRI2021-8729869.002.jpg
https://cdn.ncbi.nlm.nih.gov/pmc/blobs/8e27/7814956/798733bd83bc/BMRI2021-8729869.003.jpg
https://cdn.ncbi.nlm.nih.gov/pmc/blobs/8e27/7814956/8fb96952a832/BMRI2021-8729869.004.jpg
https://cdn.ncbi.nlm.nih.gov/pmc/blobs/8e27/7814956/82a4020ec862/BMRI2021-8729869.005.jpg
https://cdn.ncbi.nlm.nih.gov/pmc/blobs/8e27/7814956/15be90fafdef/BMRI2021-8729869.006.jpg
https://cdn.ncbi.nlm.nih.gov/pmc/blobs/8e27/7814956/693524b6cd7e/BMRI2021-8729869.007.jpg
https://cdn.ncbi.nlm.nih.gov/pmc/blobs/8e27/7814956/c281583bc094/BMRI2021-8729869.001.jpg
https://cdn.ncbi.nlm.nih.gov/pmc/blobs/8e27/7814956/8379339de70c/BMRI2021-8729869.002.jpg
https://cdn.ncbi.nlm.nih.gov/pmc/blobs/8e27/7814956/798733bd83bc/BMRI2021-8729869.003.jpg
https://cdn.ncbi.nlm.nih.gov/pmc/blobs/8e27/7814956/8fb96952a832/BMRI2021-8729869.004.jpg
https://cdn.ncbi.nlm.nih.gov/pmc/blobs/8e27/7814956/82a4020ec862/BMRI2021-8729869.005.jpg
https://cdn.ncbi.nlm.nih.gov/pmc/blobs/8e27/7814956/15be90fafdef/BMRI2021-8729869.006.jpg
https://cdn.ncbi.nlm.nih.gov/pmc/blobs/8e27/7814956/693524b6cd7e/BMRI2021-8729869.007.jpg

相似文献

1
The Ratio of the Hemoglobin to Red Cell Distribution Width Combined with the Ratio of Platelets to Lymphocytes Can Predict the Survival of Patients with Gastric Cancer Liver Metastasis.血红蛋白与红细胞分布宽度比值联合血小板与淋巴细胞比值可预测胃癌肝转移患者的生存。
Biomed Res Int. 2021 Jan 9;2021:8729869. doi: 10.1155/2021/8729869. eCollection 2021.
2
Prognostic significance of the neutrophil-to-lymphocyte and platelet-to-lymphocyte ratio in patients with metastatic gastric cancer.中性粒细胞与淋巴细胞比值及血小板与淋巴细胞比值在转移性胃癌患者中的预后意义
Medicine (Baltimore). 2020 Mar;99(10):e19405. doi: 10.1097/MD.0000000000019405.
3
Preoperative Platelet-to-Lymphocyte Ratio (PLR) for Predicting the Survival of Stage I-III Gastric Cancer Patients with a MGC Component.术前血小板与淋巴细胞比值(PLR)预测具有 MGC 成分的 I-III 期胃癌患者的生存。
Biomed Res Int. 2021 May 3;2021:9678363. doi: 10.1155/2021/9678363. eCollection 2021.
4
Can the neutrophil-lymphocyte ratio and platelet-lymphocyte ratio be beneficial in predicting lymph node metastasis and promising prognostic markers of gastric cancer patients? Tumor maker retrospective study.中性粒细胞与淋巴细胞比值和血小板与淋巴细胞比值能否有助于预测胃癌患者的淋巴结转移和作为有前途的预后标志物?肿瘤标志物回顾性研究。
Int J Surg. 2018 Aug;56:320-327. doi: 10.1016/j.ijsu.2018.06.037. Epub 2018 Jun 30.
5
Pretreatment platelet-to-lymphocyte ratio is associated with the response to first-line chemotherapy and survival in patients with metastatic gastric cancer.治疗前血小板与淋巴细胞比值与转移性胃癌患者一线化疗反应及生存相关。
J Clin Lab Anal. 2018 Jan;32(1). doi: 10.1002/jcla.22185. Epub 2017 Feb 26.
6
Novel immunological and nutritional-based prognostic index for gastric cancer.新型基于免疫和营养的胃癌预后指数
World J Gastroenterol. 2015 May 21;21(19):5961-71. doi: 10.3748/wjg.v21.i19.5961.
7
Neutrophil-lymphocyte ratio, platelet-lymphocyte ratio, neutrophil-platelet score and prognostic nutritional index: do they have prognostic significance in metastatic pancreas cancer?中性粒细胞与淋巴细胞比值、血小板与淋巴细胞比值、中性粒细胞与血小板评分及预后营养指数:它们在转移性胰腺癌中具有预后意义吗?
Curr Med Res Opin. 2018 May;34(5):857-863. doi: 10.1080/03007995.2017.1408579. Epub 2017 Dec 15.
8
Does the preoperative platelet-to-lymphocyte ratio and neutrophil-to-lymphocyte ratio predict morbidity after gastrectomy for gastric cancer?术前血小板与淋巴细胞比值和中性粒细胞与淋巴细胞比值能否预测胃癌胃切除术后的发病率?
Mil Med Res. 2020 Feb 29;7(1):9. doi: 10.1186/s40779-020-00234-y.
9
Preoperative neutrophil-to-lymphocyte ratio plus platelet-to-lymphocyte ratio in predicting survival for patients with stage I-II gastric cancer.术前中性粒细胞与淋巴细胞比值及血小板与淋巴细胞比值对Ⅰ-Ⅱ期胃癌患者生存的预测作用
Chin J Cancer. 2016 Jun 24;35(1):57. doi: 10.1186/s40880-016-0122-2.
10
Elevated platelet to lymphocyte ratio predicts poor prognosis after hepatectomy for liver-only colorectal metastases, and it is superior to neutrophil to lymphocyte ratio as an adverse prognostic factor.血小板与淋巴细胞比值升高预示着仅肝转移的结直肠癌肝切除术后预后不良,且作为不良预后因素,它优于中性粒细胞与淋巴细胞比值。
Med Oncol. 2014 Oct;31(10):239. doi: 10.1007/s12032-014-0239-6. Epub 2014 Sep 14.

引用本文的文献

1
Development of a predictive model for metachronous liver metastasis in gastric cancer.胃癌异时性肝转移预测模型的建立
Front Oncol. 2025 Aug 18;15:1603471. doi: 10.3389/fonc.2025.1603471. eCollection 2025.
2
Stress Hyperglycemia Ratio and Hemoglobin to RDW Ratio in Predicting the Outcomes of Thrombolysis-Treated Stroke: A Retrospective Cohort Study.应激性高血糖比值和血红蛋白与红细胞分布宽度比值在预测溶栓治疗卒中结局中的作用:一项回顾性队列研究
Arch Acad Emerg Med. 2025 Aug 7;13(1):e65. doi: 10.22037/aaemj.v13i1. eCollection 2025.
3
C-reactive protein-to-lymphocyte ratio and hemoglobin-to-red cell distribution width ratio as effective prognostic predictors in pediatric patients with neuroblastoma.

本文引用的文献

1
The prognostic value of neutrophil-to-lymphocyte ratio and platelet-to-lymphocyte ratio in nasopharyngeal cancer.中性粒细胞与淋巴细胞比值及血小板与淋巴细胞比值在鼻咽癌中的预后价值
J BUON. 2020 Jan-Feb;25(1):367-375.
2
Diagnostic Sensitivity of NLR and PLR in Early Diagnosis of Gastric Cancer.中性粒细胞与淋巴细胞比值和血小板与淋巴细胞比值在胃癌早期诊断中的诊断灵敏度。
J Immunol Res. 2020 Mar 7;2020:9146042. doi: 10.1155/2020/9146042. eCollection 2020.
3
The prognostic role of platelet-to-lymphocyte ratio on overall survival in gastric cancer: a systematic review and meta-analysis.
C反应蛋白与淋巴细胞比值及血红蛋白与红细胞分布宽度比值作为神经母细胞瘤患儿有效的预后预测指标
Eur J Pediatr. 2025 Jul 21;184(8):493. doi: 10.1007/s00431-025-06334-y.
4
Prognostic ability of the haemoglobin-to-red blood cell distribution width ratio in predicting in-hospital mortality: a retrospective, longitudinal, observational study among elderly patients with acute ischaemic stroke.血红蛋白与红细胞分布宽度比值预测急性缺血性脑卒中老年患者院内死亡率的预后能力:一项回顾性、纵向、观察性研究
BMJ Open. 2025 Jun 22;15(6):e097075. doi: 10.1136/bmjopen-2024-097075.
5
Association between the hemoglobin-to-red cell distribution width ratio and three-month unfavorable outcome in older acute ischemic stroke patients: a prospective study.老年急性缺血性卒中患者血红蛋白与红细胞分布宽度比值与三个月不良预后的关系:一项前瞻性研究。
Front Neurol. 2025 Mar 11;16:1534564. doi: 10.3389/fneur.2025.1534564. eCollection 2025.
6
Hemoglobin-to-RDW ratio, hemoglobin-to-monocyte ratio, and hemoglobin-to-leukocyte ratio are predictive of 14-day readmission after primary total knee arthroplasty.血红蛋白与红细胞分布宽度比值、血红蛋白与单核细胞比值和血红蛋白与白细胞比值可预测初次全膝关节置换术后 14 天再入院。
J Orthop Surg Res. 2024 Oct 26;19(1):688. doi: 10.1186/s13018-024-05116-w.
7
Prognostic Impact of the Ratio of Hemoglobin to Red Blood Cell Distribution Width in Patients after Acute Decompensated Heart Failure.急性失代偿性心力衰竭患者血红蛋白与红细胞分布宽度比值的预后影响
Intern Med. 2025 Mar 15;64(6):807-816. doi: 10.2169/internalmedicine.3691-24. Epub 2024 Aug 10.
8
Predictive value of the early postoperative hemoglobin-to-red blood cell distribution width ratio for acute kidney injury in elderly intertrochanteric fracture patients.老年股骨转子间骨折患者术后早期血红蛋白与红细胞分布宽度比值对急性肾损伤的预测价值
BMC Musculoskelet Disord. 2024 Aug 7;25(1):630. doi: 10.1186/s12891-024-07745-y.
9
Assessing the Predictive Power of the Hemoglobin/Red Cell Distribution Width Ratio in Cancer: A Systematic Review and Future Directions.评估血红蛋白/红细胞分布宽度比值在癌症预测中的作用:系统评价及未来方向。
Medicina (Kaunas). 2023 Dec 5;59(12):2124. doi: 10.3390/medicina59122124.
10
Lower haemoglobin-to-red blood cell distribution width ratio is independently associated with frailty in community-dwelling older adults: a cross-sectional study.血红蛋白与红细胞分布宽度比值降低与社区老年人虚弱独立相关:一项横断面研究。
BMJ Open. 2023 Jul 9;13(7):e069141. doi: 10.1136/bmjopen-2022-069141.
血小板与淋巴细胞比值对胃癌总生存期的预后作用:系统评价和荟萃分析。
BMC Gastroenterol. 2020 Jan 20;20(1):16. doi: 10.1186/s12876-020-1167-x.
4
The ratio of hemoglobin to red cell distribution width predicts survival in patients with gastric cancer treated by neoadjuvant FLOT: a retrospective study.血红蛋白与红细胞分布宽度比值预测新辅助 FLOT 治疗胃癌患者的生存:一项回顾性研究。
Ir J Med Sci. 2020 Feb;189(1):91-102. doi: 10.1007/s11845-019-02153-x. Epub 2019 Dec 12.
5
The combination of preoperative fibrinogen and neutrophil-lymphocyte ratio is a predictive prognostic factor in esophagogastric junction and upper gastric cancer.术前纤维蛋白原与中性粒细胞-淋巴细胞比值的联合是食管胃交界部及胃上部癌的预测预后因素。
J Cancer. 2019 Aug 29;10(22):5518-5526. doi: 10.7150/jca.31162. eCollection 2019.
6
Comprehensive Analysis of Red Blood Cell Distribution Width as a Preoperative Prognostic Predictor in Gastric Cancer.红细胞分布宽度作为胃癌术前预后预测指标的综合分析
Anticancer Res. 2019 Jun;39(6):3121-3130. doi: 10.21873/anticanres.13448.
7
Comparison between 7th and 8th edition of AJCC TNM staging system for gastric cancer: old problems and new perspectives.美国癌症联合委员会(AJCC)胃癌TNM分期系统第7版与第8版的比较:老问题与新视角
Transl Gastroenterol Hepatol. 2019 Apr 3;4:22. doi: 10.21037/tgh.2019.03.09. eCollection 2019.
8
Current cancer situation in China: good or bad news from the 2018 Global Cancer Statistics?中国当前癌症形势:2018 年全球癌症统计数据带来的是好消息还是坏消息?
Cancer Commun (Lond). 2019 Apr 29;39(1):22. doi: 10.1186/s40880-019-0368-6.
9
A prognostic parameter in advanced non-small cell lung cancer: the ratio of hemoglobin-to-red cell distribution width.晚期非小细胞肺癌的预后参数:血红蛋白与红细胞分布宽度比值。
Int J Clin Oncol. 2019 Jul;24(7):798-806. doi: 10.1007/s10147-019-01417-x. Epub 2019 Feb 19.
10
Cancer statistics, 2019.癌症统计数据,2019 年。
CA Cancer J Clin. 2019 Jan;69(1):7-34. doi: 10.3322/caac.21551. Epub 2019 Jan 8.