Taber Samantha, Pfannschmidt Joachim
Department of Thoracic Surgery, Heckeshorn Lung Clinic-HELIOS Klinikum Emil von Behring, Berlin, Germany.
Innov Surg Sci. 2020 Aug 12;5(1-2):1-9. doi: 10.1515/iss-2020-0010. eCollection 2020 Mar.
The updated 8th edition of the tumor, node, metastases (TNM) classification system for non-small cell lung cancer (NSCLC) attempts to improve on the previous 7th edition in predicting outcomes and guiding management decisions. This study sought to determine whether the 8th edition was more accurate in predicting long-term survival in a European population of surgically treated NSCLC patients.
We scanned the archives of the Heckeshorn Lung Clinic for patients with preoperative clinical stages of IIIA or lower (based on the 7th edition), who received surgery for NSCLC between 2009 and 2014. We used pathologists' reports and data on tumor size and location to reassign tumor stages according to the 8th edition. We then analyzed stage specific survival and compared the accuracy of the two systems in predicting long-term survival. We excluded patients with neoadjuvant treatment, incomplete follow-up data, tumor histologies other than NSCLC, or death within 30 days of surgery.
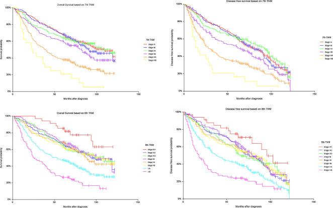
The final analysis included 1,013 patients. Overall five-year survival was 47.3%. The median overall survival (OS) was 63 months (range 1-222), and the median disease-free survival (DFS) was 50 months (0-122). The median follow-up time for non-censored patients was 84 months (range 60-122).
We found significant survival differences between the newly defined stages 1A1, 1A2 and 1A3 (previously 1A). We also found that the 8th edition of TMN classification was a significantly better predictor of long-term survival, compared to the 7th edition.
非小细胞肺癌(NSCLC)的肿瘤、淋巴结、转移(TNM)分类系统更新至第8版,旨在在前一版第7版的基础上,改进对预后的预测并指导治疗决策。本研究旨在确定第8版在预测欧洲接受手术治疗的NSCLC患者长期生存方面是否更准确。
我们扫描了赫克肖恩肺部诊所2009年至2014年期间术前临床分期为IIIA期或更低(基于第7版)且接受NSCLC手术患者的档案。我们利用病理学家的报告以及肿瘤大小和位置的数据,根据第8版重新分配肿瘤分期。然后我们分析特定分期的生存率,并比较两个系统在预测长期生存方面的准确性。我们排除了接受新辅助治疗、随访数据不完整、肿瘤组织学类型不是NSCLC或术后30天内死亡的患者。
最终分析纳入1013例患者。总体五年生存率为47.3%。中位总生存期(OS)为63个月(范围1 - 222个月),中位无病生存期(DFS)为50个月(0 - 122个月)。未删失患者的中位随访时间为84个月(范围60 - 122个月)。
我们发现新定义的1A1、1A2和1A3期(之前为1A期)之间存在显著的生存差异。我们还发现,与第7版相比,第8版TMN分类在预测长期生存方面明显更好。