• 文献检索
  • 文档翻译
  • 深度研究
  • 学术资讯
  • Suppr Zotero 插件Zotero 插件
  • 邀请有礼
  • 套餐&价格
  • 历史记录
应用&插件
Suppr Zotero 插件Zotero 插件浏览器插件Mac 客户端Windows 客户端微信小程序
定价
高级版会员购买积分包购买API积分包
服务
文献检索文档翻译深度研究API 文档MCP 服务
关于我们
关于 Suppr公司介绍联系我们用户协议隐私条款
关注我们

Suppr 超能文献

核心技术专利:CN118964589B侵权必究
粤ICP备2023148730 号-1Suppr @ 2026

文献检索

告别复杂PubMed语法,用中文像聊天一样搜索,搜遍4000万医学文献。AI智能推荐,让科研检索更轻松。

立即免费搜索

文件翻译

保留排版,准确专业,支持PDF/Word/PPT等文件格式,支持 12+语言互译。

免费翻译文档

深度研究

AI帮你快速写综述,25分钟生成高质量综述,智能提取关键信息,辅助科研写作。

立即免费体验

MELD-XI 在老年 ST 段抬高型心肌梗死患者中的预后价值:一项观察性研究。

The prognostic value of MELD-XI in elderly patients with ST-segment elevation myocardial infarction: an observational study.

机构信息

Department of Coronary Heart Disease, Fuwai Hospital Chinese Academy of Medical Sciences, Shenzhen, Langshan Road 12, Shenzhen, 518000, China.

Department of Coronary Heart Disease, Peking University Shenzhen Hospital, 1120 Lianhua St, Futian District, Shenzhen, 518000, China.

出版信息

BMC Cardiovasc Disord. 2021 Jan 28;21(1):53. doi: 10.1186/s12872-021-01862-5.

DOI:10.1186/s12872-021-01862-5
PMID:33509076
原文链接:https://pmc.ncbi.nlm.nih.gov/articles/PMC7842073/
Abstract

BACKGROUND

The model for end-stage liver disease excluding international normalized ratio (MELD-XI) is a simple score for risk assessment. However, the prognostic role of MELD-XI and its additional value to current risk assessment in elderly patients with ST-segment elevation myocardial infarction (STEMI) undergoing percutaneous coronary intervention (PCI) is uncertain.

METHODS

In all, 1029 elderly patients with STEMI undergoing PCI were consecutively included and classified into three groups according to the TIMI risk score: low-risk (≤ 3, n = 251); moderate-risk (4-6, n = 509); and high-risk (≥ 7, n = 269) groups. Multivariate analysis was performed to identify risk factors for adverse events.

RESULTS

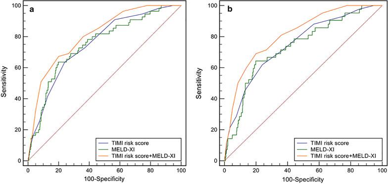
The overall in-hospital mortality was 5.3% and was significantly higher in the high-risk group (1.2% vs. 3.3% vs. 13.0%, p < 0.001). The optimal cut-off of the TIMI risk score and MELD-XI for in-hospital death was 7 and 13, respectively. MELD-XI was associated with in-hospital (adjusted odds ratio = 1.09, 95% CI = 1.04-1.14, p = 0.001) and one-year (adjusted hazard ratio = 1.05, 95% CI = 1.01-1.08, p = 0.005) mortality independently of the TIMI risk score. Combining TIMI risk score and MELD-XI exhibited better predictive power for in-hospital death than TIMI risk score (area under the curve [AUC] = 0.810 vs. 0.753, p = 0.008) or MELD-XI alone (AUC = 0.810 vs. 0.750, p = 0.018). Patients with TIMI risk score ≥ 7 and MELD-XI ≥ 13 had the worst prognosis.

CONCLUSION

MELD-XI could be considered as a risk-stratified tool for elderly patients with STEMI undergoing PCI. It had an additive prognostic value to TIMI risk score.

摘要

背景

模型用于终末期肝病排除国际标准化比值(MELD-XI)是一种简单的风险评估评分。然而,MELD-XI 的预后作用及其在接受经皮冠状动脉介入治疗(PCI)的老年 ST 段抬高型心肌梗死(STEMI)患者中的附加价值尚不确定。

方法

共连续纳入 1029 例接受 PCI 的老年 STEMI 患者,并根据 TIMI 风险评分将其分为三组:低危组(≤3,n=251);中危组(4-6,n=509);高危组(≥7,n=269)。采用多变量分析确定不良事件的危险因素。

结果

住院总死亡率为 5.3%,高危组明显较高(1.2%比 3.3%比 13.0%,p<0.001)。TIMI 风险评分和 MELD-XI 预测住院死亡的最佳截断值分别为 7 和 13。MELD-XI 与住院期间(校正优势比=1.09,95%可信区间=1.04-1.14,p=0.001)和一年(校正危险比=1.05,95%可信区间=1.01-1.08,p=0.005)死亡率独立相关,而与 TIMI 风险评分无关。TIMI 风险评分和 MELD-XI 联合应用较 TIMI 风险评分(曲线下面积[AUC]=0.810 比 0.753,p=0.008)或 MELD-XI 单独应用(AUC=0.810 比 0.750,p=0.018)具有更好的预测住院死亡的能力。TIMI 风险评分≥7 且 MELD-XI≥13 的患者预后最差。

结论

MELD-XI 可作为接受 PCI 的老年 STEMI 患者的风险分层工具。它对 TIMI 风险评分具有附加的预后价值。

https://cdn.ncbi.nlm.nih.gov/pmc/blobs/5e8b/7842073/669974f7af04/12872_2021_1862_Fig3_HTML.jpg
https://cdn.ncbi.nlm.nih.gov/pmc/blobs/5e8b/7842073/42cc5543677b/12872_2021_1862_Fig1_HTML.jpg
https://cdn.ncbi.nlm.nih.gov/pmc/blobs/5e8b/7842073/3fd1c87477d5/12872_2021_1862_Fig2_HTML.jpg
https://cdn.ncbi.nlm.nih.gov/pmc/blobs/5e8b/7842073/669974f7af04/12872_2021_1862_Fig3_HTML.jpg
https://cdn.ncbi.nlm.nih.gov/pmc/blobs/5e8b/7842073/42cc5543677b/12872_2021_1862_Fig1_HTML.jpg
https://cdn.ncbi.nlm.nih.gov/pmc/blobs/5e8b/7842073/3fd1c87477d5/12872_2021_1862_Fig2_HTML.jpg
https://cdn.ncbi.nlm.nih.gov/pmc/blobs/5e8b/7842073/669974f7af04/12872_2021_1862_Fig3_HTML.jpg

相似文献

1
The prognostic value of MELD-XI in elderly patients with ST-segment elevation myocardial infarction: an observational study.MELD-XI 在老年 ST 段抬高型心肌梗死患者中的预后价值:一项观察性研究。
BMC Cardiovasc Disord. 2021 Jan 28;21(1):53. doi: 10.1186/s12872-021-01862-5.
2
MELD-XI score predict no-reflow phenomenon and short-term mortality in patient with ST-segment elevation myocardial infarction undergoing primary percutaneous coronary intervention.MELD-XI 评分预测行直接经皮冠状动脉介入治疗的 ST 段抬高型心肌梗死患者无复流现象和短期死亡率。
BMC Cardiovasc Disord. 2022 Mar 18;22(1):113. doi: 10.1186/s12872-022-02556-2.
3
Performance of the TIMI risk score in predicting mortality after primary percutaneous coronary intervention in elderly women: Results from a developing country.TIMI 风险评分在预测老年女性经皮冠状动脉介入治疗后死亡率中的表现:来自发展中国家的结果。
PLoS One. 2019 Jul 25;14(7):e0220289. doi: 10.1371/journal.pone.0220289. eCollection 2019.
4
Prognostic impact of prepercutaneous coronary intervention TIMI flow in patients with ST-segment and non-ST-segment elevation myocardial infarction: Results from the FAST-MI 2010 registry.经皮冠状动脉介入治疗 TIMI 血流对 ST 段抬高和非 ST 段抬高心肌梗死患者预后的影响:来自 FAST-MI 2010 注册研究的结果。
Arch Cardiovasc Dis. 2018 Feb;111(2):101-108. doi: 10.1016/j.acvd.2017.04.004. Epub 2017 Sep 19.
5
Comparison of SYNTAX score II efficacy with SYNTAX score and TIMI risk score for predicting in-hospital and long-term mortality in patients with ST segment elevation myocardial infarction.比较SYNTAX评分II、SYNTAX评分和TIMI风险评分预测ST段抬高型心肌梗死患者住院及长期死亡率的疗效
Int J Cardiovasc Imaging. 2018 Aug;34(8):1165-1175. doi: 10.1007/s10554-018-1333-1. Epub 2018 Mar 14.
6
Age shock index and age-modified shock index are strong predictors of outcomes in ST-segment elevation myocardial infarction patients undergoing emergency percutaneous coronary intervention.年龄休克指数和年龄修正休克指数是接受急诊经皮冠状动脉介入治疗的ST段抬高型心肌梗死患者预后的有力预测指标。
Coron Artery Dis. 2019 Sep;30(6):398-405. doi: 10.1097/MCA.0000000000000759.
7
[Comparison of the predictive value of the modified CADILLAC, GRACE and TIMI risk scores for the risk of short-term death in patients with acute ST segment elevation myocardial infarction after percutaneous coronary intervention].[改良CADILLAC、GRACE和TIMI风险评分对急性ST段抬高型心肌梗死患者经皮冠状动脉介入治疗后短期死亡风险的预测价值比较]
Zhonghua Wei Zhong Bing Ji Jiu Yi Xue. 2023 Mar;35(3):299-304. doi: 10.3760/cma.j.cn121430-20220727-00696.
8
Additive prognostic value of left ventricular ejection fraction to the TIMI risk score for in-hospital and long-term mortality in patients with ST segment elevation myocardial infarction.左心室射血分数对ST段抬高型心肌梗死患者院内及长期死亡率的TIMI风险评分的附加预后价值。
J Thromb Thrombolysis. 2017 Jan;43(1):1-6. doi: 10.1007/s11239-016-1407-7.
9
Addition of routine blood biomarkers to TIMI risk score improves predictive performance of 1-year mortality in patients with ST-segment elevation myocardial infarction.常规血液生物标志物的加入提高了 ST 段抬高型心肌梗死患者 1 年死亡率的 TIMI 风险评分预测性能。
BMC Cardiovasc Disord. 2020 Nov 18;20(1):486. doi: 10.1186/s12872-020-01777-7.
10
Establishment and validation of a risk model for prediction of in-hospital mortality in patients with acute ST-elevation myocardial infarction after primary PCI.建立并验证一个预测直接经皮冠状动脉介入治疗(PCI)后急性 ST 段抬高型心肌梗死患者院内死亡率的风险模型。
BMC Cardiovasc Disord. 2020 Dec 9;20(1):513. doi: 10.1186/s12872-020-01804-7.

引用本文的文献

1
The association between the MELD-XI score and heart failure in patients with acute myocardial infarction after coronary artery stenting-a retrospective study.冠状动脉支架置入术后急性心肌梗死患者MELD-XI评分与心力衰竭的相关性——一项回顾性研究
J Thorac Dis. 2023 May 30;15(5):2721-2728. doi: 10.21037/jtd-23-562. Epub 2023 May 26.
2
Prognostic value of the dynamic hepatorenal function on intermediate-term mortality in TAVI patients with survival to discharge.经 TAVI 治疗且生存至出院患者的动态肝肾功能对中期死亡率的预后价值。
Clin Cardiol. 2023 Jan;46(1):84-91. doi: 10.1002/clc.23940. Epub 2022 Nov 30.
3
The MELD-XI score predicts 3-year mortality in patients with chronic heart failure.

本文引用的文献

1
Age-Related Sex Differences in Clinical Presentation, Management, and Outcomes in ST-Segment-Elevation Myocardial Infarction: Pooled Analysis of 15 532 Patients From 7 Arabian Gulf Registries.年龄相关的性别差异在 ST 段抬高型心肌梗死的临床表现、治疗和结局中的作用:7 个阿拉伯海湾注册中心的 15532 例患者的汇总分析。
J Am Heart Assoc. 2020 Feb 18;9(4):e013880. doi: 10.1161/JAHA.119.013880. Epub 2020 Feb 17.
2
Easy prognostic assessment of concomitant organ failure in critically ill patients undergoing mechanical ventilation.机械通气危重症患者合并器官衰竭的简易预后评估。
Eur J Intern Med. 2019 Dec;70:18-23. doi: 10.1016/j.ejim.2019.09.002. Epub 2019 Oct 9.
3
MELD-XI评分可预测慢性心力衰竭患者的3年死亡率。
Front Cardiovasc Med. 2022 Aug 11;9:985503. doi: 10.3389/fcvm.2022.985503. eCollection 2022.
4
MELD-XI score predict no-reflow phenomenon and short-term mortality in patient with ST-segment elevation myocardial infarction undergoing primary percutaneous coronary intervention.MELD-XI 评分预测行直接经皮冠状动脉介入治疗的 ST 段抬高型心肌梗死患者无复流现象和短期死亡率。
BMC Cardiovasc Disord. 2022 Mar 18;22(1):113. doi: 10.1186/s12872-022-02556-2.
Hepatorenal dysfunction identifies high-risk patients with acute heart failure: insights from the RELAX-AHF trial.
肝肾功能障碍可识别急性心力衰竭高危患者:来自 RELAX-AHF 试验的结果。
ESC Heart Fail. 2019 Dec;6(6):1188-1198. doi: 10.1002/ehf2.12477. Epub 2019 Sep 30.
4
Performance of the TIMI risk score in predicting mortality after primary percutaneous coronary intervention in elderly women: Results from a developing country.TIMI 风险评分在预测老年女性经皮冠状动脉介入治疗后死亡率中的表现:来自发展中国家的结果。
PLoS One. 2019 Jul 25;14(7):e0220289. doi: 10.1371/journal.pone.0220289. eCollection 2019.
5
Acute myocardial infarction.急性心肌梗死
Lancet. 2019 Jun 29;393(10191):2580. doi: 10.1016/S0140-6736(19)31419-9. Epub 2019 Jun 27.
6
ST-segment elevation myocardial infarction.ST 段抬高型心肌梗死。
Nat Rev Dis Primers. 2019 Jun 6;5(1):39. doi: 10.1038/s41572-019-0090-3.
7
Outcomes of Elderly Patients with ST-Elevation or Non-ST-Elevation Acute Coronary Syndrome Undergoing Percutaneous Coronary Intervention.老年 ST 段抬高或非 ST 段抬高型急性冠状动脉综合征患者行经皮冠状动脉介入治疗的结局。
Am J Med. 2019 Feb;132(2):209-216. doi: 10.1016/j.amjmed.2018.10.027. Epub 2018 Nov 14.
8
Prognostic Value of Hepatorenal Function By Modified Model for End-stage Liver Disease (MELD) Score in Patients Undergoing Tricuspid Annuloplasty.经改良终末期肝病模型(MELD)评分评估肝肾功能对行经三尖瓣环成形术患者的预后价值。
J Am Heart Assoc. 2018 Jul 13;7(14):e009020. doi: 10.1161/JAHA.118.009020.
9
Risk prediction in infective endocarditis by modified MELD-XI score.改良 MELD-XI 评分预测感染性心内膜炎的风险。
Eur J Clin Microbiol Infect Dis. 2018 Jul;37(7):1243-1250. doi: 10.1007/s10096-018-3240-8. Epub 2018 Mar 29.
10
Model for End-Stage Liver Disease Excluding INR (MELD-XI) score is associated with hemodynamic impairment and predicts mortality in critically ill patients.MELD-XI 评分排除国际标准化比值模型与血流动力学障碍相关,并可预测危重症患者的死亡率。
Eur J Intern Med. 2018 May;51:80-84. doi: 10.1016/j.ejim.2018.01.028. Epub 2018 Mar 21.