• 文献检索
  • 文档翻译
  • 深度研究
  • 学术资讯
  • Suppr Zotero 插件Zotero 插件
  • 邀请有礼
  • 套餐&价格
  • 历史记录
应用&插件
Suppr Zotero 插件Zotero 插件浏览器插件Mac 客户端Windows 客户端微信小程序
定价
高级版会员购买积分包购买API积分包
服务
文献检索文档翻译深度研究API 文档MCP 服务
关于我们
关于 Suppr公司介绍联系我们用户协议隐私条款
关注我们

Suppr 超能文献

核心技术专利:CN118964589B侵权必究
粤ICP备2023148730 号-1Suppr @ 2026

文献检索

告别复杂PubMed语法,用中文像聊天一样搜索,搜遍4000万医学文献。AI智能推荐,让科研检索更轻松。

立即免费搜索

文件翻译

保留排版,准确专业,支持PDF/Word/PPT等文件格式,支持 12+语言互译。

免费翻译文档

深度研究

AI帮你快速写综述,25分钟生成高质量综述,智能提取关键信息,辅助科研写作。

立即免费体验

新型非融合人工椎体在前路腰椎切除和内固定中的生物力学特性。

Biomechanical properties of a novel nonfusion artificial vertebral body for anterior lumbar vertebra resection and internal fixation.

机构信息

Department of Orthopedics, The First Affiliated Hospital of Xi'an Jiaotong University, Xi'an, 710061, China.

Department of Orthopedics, Second Affiliated Hospital of Xi'an Jiaotong University, Xi'an, 710004, China.

出版信息

Sci Rep. 2021 Jan 29;11(1):2632. doi: 10.1038/s41598-021-82086-7.

DOI:10.1038/s41598-021-82086-7
PMID:33514823
原文链接:https://pmc.ncbi.nlm.nih.gov/articles/PMC7846776/
Abstract

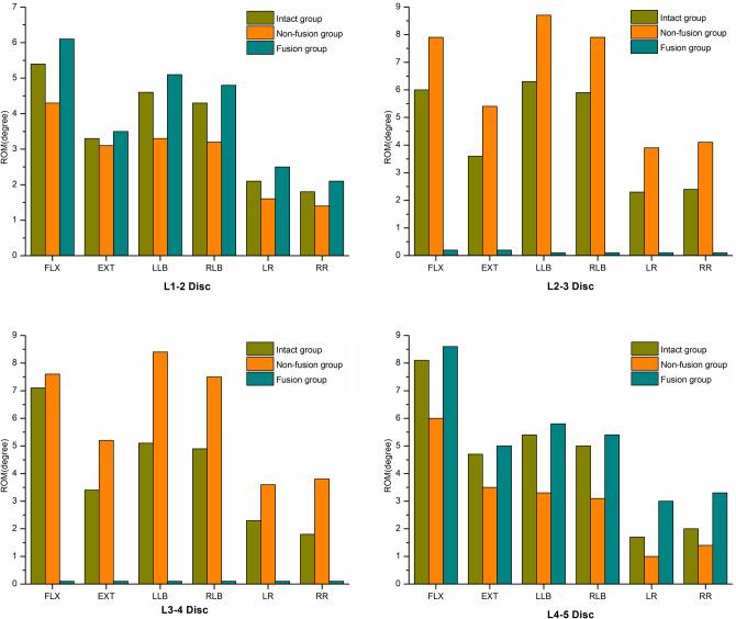
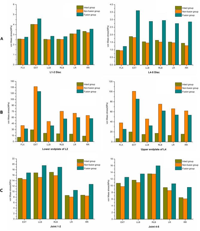
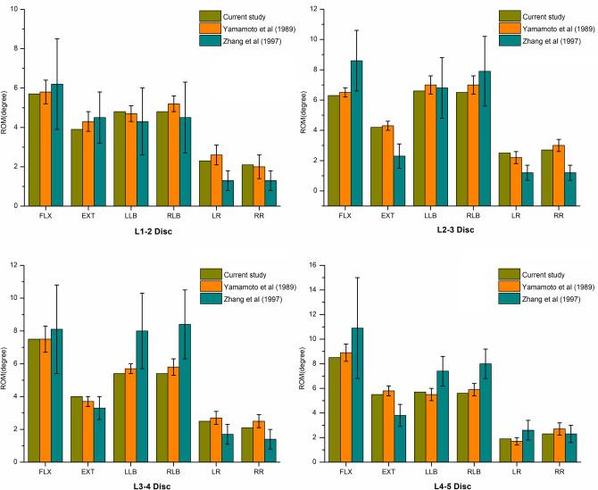
The aim of the study was to evaluate the biomechanical properties of a novel nonfused artificial vertebral body in treating lumbar diseases and to compare with those of the fusion artificial vertebral body. An intact finite element model of the L1-L5 lumbar spine was constructed and validated. Then, the finite element models of the fusion group and nonfusion group were constructed by replacing the L3 vertebral body and adjacent intervertebral discs with prostheses. For all finite element models, an axial preload of 500 N and another 10 N m imposed on the superior surface of L1. The range of motion and stress peaks in the adjacent discs, endplates, and facet joints were compared among the three groups. The ranges of motion of the L1-2 and L4-5 discs in flexion, extension, left lateral bending, right lateral bending, left rotation and right rotation were greater in the fusion group than those in the intact group and nonfusion group. The fusion group induced the greatest stress peaks in the adjacent discs and adjacent facet joints compared to the intact group and nonfusion group. The nonfused artificial vertebral body could better retain mobility of the surgical site after implantation (3.6°-8.7°), avoid increased mobility and stress of the adjacent discs and facet joints.

摘要

本研究旨在评估新型非融合人工椎体治疗腰椎疾病的生物力学性能,并与融合人工椎体进行比较。构建并验证了完整的 L1-L5 腰椎有限元模型。然后,通过用假体替换 L3 椎体及其相邻椎间盘来构建融合组和非融合组的有限元模型。对于所有有限元模型,在 L1 的上表面施加 500N 的轴向预加载和另外 10N·m 的扭矩。比较三组中相邻椎间盘、终板和小关节的活动范围和应力峰值。在屈伸、左右侧屈、左右旋转运动中,融合组 L1-2 和 L4-5 椎间盘的活动范围大于完整组和非融合组。与完整组和非融合组相比,融合组在相邻椎间盘和相邻小关节处引起的应力峰值最大。与融合人工椎体相比,非融合人工椎体在植入后能更好地保留手术部位的活动度(3.6°-8.7°),避免相邻椎间盘和小关节活动度增加和应力增加。

https://cdn.ncbi.nlm.nih.gov/pmc/blobs/7950/7846776/55093e9fc4fa/41598_2021_82086_Fig7_HTML.jpg
https://cdn.ncbi.nlm.nih.gov/pmc/blobs/7950/7846776/1c930f8b1eb3/41598_2021_82086_Fig1_HTML.jpg
https://cdn.ncbi.nlm.nih.gov/pmc/blobs/7950/7846776/3f03582496c7/41598_2021_82086_Fig2_HTML.jpg
https://cdn.ncbi.nlm.nih.gov/pmc/blobs/7950/7846776/71a728238011/41598_2021_82086_Fig3_HTML.jpg
https://cdn.ncbi.nlm.nih.gov/pmc/blobs/7950/7846776/4277c6107972/41598_2021_82086_Fig4_HTML.jpg
https://cdn.ncbi.nlm.nih.gov/pmc/blobs/7950/7846776/dbfd12e5058b/41598_2021_82086_Fig5_HTML.jpg
https://cdn.ncbi.nlm.nih.gov/pmc/blobs/7950/7846776/8d18f16dd083/41598_2021_82086_Fig6_HTML.jpg
https://cdn.ncbi.nlm.nih.gov/pmc/blobs/7950/7846776/55093e9fc4fa/41598_2021_82086_Fig7_HTML.jpg
https://cdn.ncbi.nlm.nih.gov/pmc/blobs/7950/7846776/1c930f8b1eb3/41598_2021_82086_Fig1_HTML.jpg
https://cdn.ncbi.nlm.nih.gov/pmc/blobs/7950/7846776/3f03582496c7/41598_2021_82086_Fig2_HTML.jpg
https://cdn.ncbi.nlm.nih.gov/pmc/blobs/7950/7846776/71a728238011/41598_2021_82086_Fig3_HTML.jpg
https://cdn.ncbi.nlm.nih.gov/pmc/blobs/7950/7846776/4277c6107972/41598_2021_82086_Fig4_HTML.jpg
https://cdn.ncbi.nlm.nih.gov/pmc/blobs/7950/7846776/dbfd12e5058b/41598_2021_82086_Fig5_HTML.jpg
https://cdn.ncbi.nlm.nih.gov/pmc/blobs/7950/7846776/8d18f16dd083/41598_2021_82086_Fig6_HTML.jpg
https://cdn.ncbi.nlm.nih.gov/pmc/blobs/7950/7846776/55093e9fc4fa/41598_2021_82086_Fig7_HTML.jpg

相似文献

1
Biomechanical properties of a novel nonfusion artificial vertebral body for anterior lumbar vertebra resection and internal fixation.新型非融合人工椎体在前路腰椎切除和内固定中的生物力学特性。
Sci Rep. 2021 Jan 29;11(1):2632. doi: 10.1038/s41598-021-82086-7.
2
Biomechanical Effect of L -L Intervertebral Disc Degeneration on the Lower Lumbar Spine: A Finite Element Study.L-L型椎间盘退变对下腰椎的生物力学影响:一项有限元研究
Orthop Surg. 2020 Jun;12(3):917-930. doi: 10.1111/os.12703. Epub 2020 May 31.
3
Preclinical Evaluation of a Novel 3D-Printed Movable Lumbar Vertebral Complex for Replacement: In Vivo and Biomechanical Evaluation of Goat Model.新型可移动 3D 打印腰椎复合结构置换的临床前评估:山羊模型的体内和生物力学评估。
Biomed Res Int. 2021 Dec 10;2021:2343404. doi: 10.1155/2021/2343404. eCollection 2021.
4
Effect of an artificial disc on lumbar spine biomechanics: a probabilistic finite element study.人工椎间盘对腰椎生物力学的影响:一项概率有限元研究。
Eur Spine J. 2009 Jan;18(1):89-97. doi: 10.1007/s00586-008-0836-1. Epub 2008 Nov 29.
5
Influence of an auxiliary facet system on intervertebral discs and adjacent facet joints.辅助关节面系统对椎间盘和相邻关节突关节的影响。
Spine J. 2013 Oct;13(10):1293-300. doi: 10.1016/j.spinee.2013.06.019. Epub 2013 Aug 27.
6
Structural modification and biomechanical analysis of lumbar disc prosthesis: A finite element study.腰椎间盘假体的结构改造与生物力学分析:有限元研究。
Clin Biomech (Bristol). 2024 Jun;116:106266. doi: 10.1016/j.clinbiomech.2024.106266. Epub 2024 May 26.
7
Superior-segment Bilateral Facet Violation in Lumbar Transpedicular Fixation, Part III: A Biomechanical Study of Severe Violation.腰椎经皮椎弓根固定术中上段双侧关节突关节破坏:严重破坏的生物力学研究 第三部分
Spine (Phila Pa 1976). 2020 May 1;45(9):E508-E514. doi: 10.1097/BRS.0000000000003327.
8
Effect of Percutaneous Endoscopic Lumbar Foraminoplasty of Different Facet Joint Portions on Lumbar Biomechanics: A Finite Element Analysis.不同关节突部分经皮内镜腰椎侧方椎间孔成形术对腰椎生物力学的影响:有限元分析。
Orthop Surg. 2020 Aug;12(4):1277-1284. doi: 10.1111/os.12740. Epub 2020 Jul 8.
9
Biomechanical Effects of the Geometry of Ball-and-Socket Artificial Disc on Lumbar Spine: A Finite Element Study.球窝型人工椎间盘几何形状对腰椎的生物力学影响:一项有限元研究。
Spine (Phila Pa 1976). 2017 Mar 15;42(6):E332-E339. doi: 10.1097/BRS.0000000000001789.
10
Biomechanical Changes of Adjacent and Fixed Segments Through Cortical Bone Trajectory Screw Fixation versus Traditional Trajectory Screw Fixation in the Lumbar Spine: A Finite Element Analysis.经皮质骨轨道螺钉固定与传统轨道螺钉固定对腰椎相邻固定节段生物力学改变的有限元分析。
World Neurosurg. 2021 Jul;151:e447-e456. doi: 10.1016/j.wneu.2021.04.061. Epub 2021 Apr 22.

引用本文的文献

1
Biomechanical influence of numerical variants of lumbosacral transitional vertebra with Castellvi type I on adjacent discs and facet joints based on 3D finite element analysis.基于三维有限元分析的Castellvi I型腰骶移行椎数值变异对相邻椎间盘及小关节的生物力学影响
Bone Rep. 2025 Feb 20;24:101831. doi: 10.1016/j.bonr.2025.101831. eCollection 2025 Mar.
2
Biomechanical changes in the lumbar and hip joint after curved periacetabular osteotomy.髋臼周围截骨术后腰椎和髋关节的生物力学变化。
J Orthop Surg Res. 2024 Nov 19;19(1):770. doi: 10.1186/s13018-024-05250-5.

本文引用的文献

1
Biomechanical modelling of the facet joints: a review of methods and validation processes in finite element analysis.小关节的生物力学建模:有限元分析中方法和验证过程的综述。
Biomech Model Mechanobiol. 2021 Apr;20(2):389-401. doi: 10.1007/s10237-020-01403-7. Epub 2020 Nov 22.
2
The appropriate hybrid surgical strategy in three-level cervical degenerative disc disease: a finite element analysis.三平面颈椎退行性疾病的适当杂交手术策略:有限元分析。
J Orthop Surg Res. 2019 Dec 16;14(1):444. doi: 10.1186/s13018-019-1502-5.
3
A comparison of rigid, semi-rigid and flexible spinal stabilization devices: A finite element study.
刚性、半刚性和柔性脊柱稳定装置的比较:一项有限元研究。
Proc Inst Mech Eng H. 2019 Dec;233(12):1292-1298. doi: 10.1177/0954411919880694. Epub 2019 Oct 14.
4
Comparison of Biomechanical Performance Among Posterolateral Fusion and Transforaminal, Extreme, and Oblique Lumbar Interbody Fusion: A Finite Element Analysis.后路融合与经椎间孔、极外侧和斜向腰椎体间融合的生物力学性能比较:有限元分析。
World Neurosurg. 2019 Sep;129:e890-e899. doi: 10.1016/j.wneu.2019.06.074. Epub 2019 Jun 19.
5
Design and preliminary biomechanical analysis of a novel motion preservation device for lumbar spinal disease after vertebral corpectomy.椎体次全切除术后腰椎疾病新型运动保留装置的设计与初步生物力学分析
Arch Orthop Trauma Surg. 2019 Jun;139(6):751-760. doi: 10.1007/s00402-018-03106-2. Epub 2019 Feb 12.
6
Extent and location of fixation affects the biomechanical stability of short- or long-segment pedicle screw technique with screwing of fractured vertebra for the treatment of thoracolumbar burst fractures: An observational study using finite element analysis.固定的范围和位置对短节段或长节段椎弓根螺钉技术联合骨折椎体旋拧术治疗胸腰椎爆裂骨折的生物力学稳定性的影响:一项使用有限元分析的观察性研究
Medicine (Baltimore). 2018 Jun;97(26):e11244. doi: 10.1097/MD.0000000000011244.
7
A Finite Element Analysis of Stress Distribution and Disk Displacement in Response to Lumbar Rotation Manipulation in the Sitting and Side-Lying Positions.坐位和侧卧位下腰椎旋转手法对应力分布和椎间盘位移影响的有限元分析
J Manipulative Physiol Ther. 2017 Oct;40(8):580-586. doi: 10.1016/j.jmpt.2017.07.006.
8
The Biomechanical Study of Extraforaminal Lumbar Interbody Fusion: A Three-Dimensional Finite-Element Analysis.经椎间孔腰椎体间融合的生物力学研究:三维有限元分析。
J Healthc Eng. 2017;2017:9365068. doi: 10.1155/2017/9365068. Epub 2017 Sep 26.
9
Lumbar subtotal corpectomy non-fusion model produced using a novel prosthesis.
Arch Orthop Trauma Surg. 2017 Nov;137(11):1467-1476. doi: 10.1007/s00402-017-2753-4. Epub 2017 Sep 9.
10
Epidemiological characteristics of primary spinal osseous tumors in Eastern China.中国东部原发性脊柱骨肿瘤的流行病学特征
World J Surg Oncol. 2017 Apr 4;15(1):73. doi: 10.1186/s12957-017-1136-1.