Suppr超能文献

基于 IVIM-DWI 联合纹理特征的宫颈鳞癌 Ki-67 增殖指数预测。

Predictive Ki-67 Proliferation Index of Cervical Squamous Cell Carcinoma Based on IVIM-DWI Combined with Texture Features.

机构信息

Department of Radiology, Anhui Provincial Hospital Affiliated to Anhui Medical University, Hefei 230001, China.

Graduate school, Bengbu Medical College, Bengbu 233030, Anhui Province, China.

出版信息

Contrast Media Mol Imaging. 2021 Jan 14;2021:8873065. doi: 10.1155/2021/8873065. eCollection 2021.

Abstract

PURPOSE

This study aims to determine whether IVIM-DWI combined with texture features based on preoperative IVIM-DWI could be used to predict the Ki-67 PI, which is a widely used cell proliferation biomarker in CSCC.

METHODS

A total of 70 patients were included. Among these patients, 16 patients were divided into the Ki-67 PI <50% group and 54 patients were divided into the Ki-67 PI ≥50% group based on the retrospective surgical evaluation. All patients were examined using a 3.0T MRI unit with one standard protocol, including an IVIM-DWI sequence with 10 values (0-1,500 sec/mm). The maximum level of CSCC with a value of 800 sec/mm was selected. The parameters (diffusion coefficient (), microvascular volume fraction (), and pseudodiffusion coefficient ( )) were calculated with the ADW 4.6 workstation, and the texture features based on IVIM-DWI were measured using GE AK quantitative texture analysis software. The texture features included the first order, GLCM, GLSZM, GLRLM, and wavelet transform features. The differences in IVIM-DWI parameters and texture features between the two groups were compared, and the ROC curve was performed for parameters with group differences, and in combination.

RESULTS

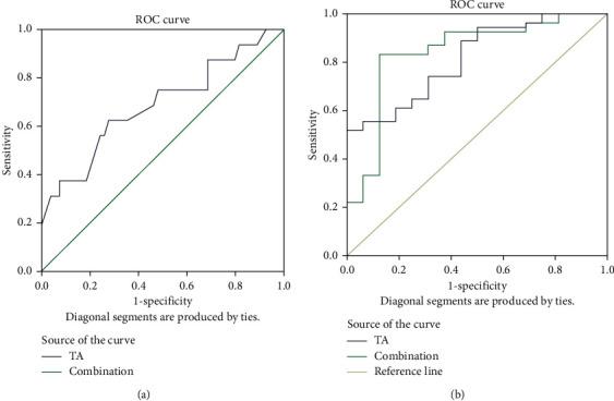
The value in the Ki-67 PI ≥50% group was lower than that in the Ki-67 PI <50% group ( < 0.05). A total of 1,050 texture features were obtained using AK software. Through univariate logistic regression, mPMR feature selection, and multivariate logistic regression, three texture features were obtained: wavelet_HHL_GLRLM_ LRHGLE, lbp_3D_k_ firstorder_IR, and wavelet_HLH_GLCM_IMC1. The AUC of the prediction model based on the three texture features was 0.816, and the combined value and three texture features was 0.834.

CONCLUSIONS

Texture analysis on IVIM-DWI and its parameters was helpful for predicting Ki-67 PI and may provide a noninvasive method to investigate important imaging biomarkers for CSCC.

摘要

目的

本研究旨在确定 IVIM-DWI 联合基于术前 IVIM-DWI 的纹理特征是否可用于预测 Ki-67 PI,Ki-67 PI 是 CSCC 中广泛使用的细胞增殖生物标志物。

方法

共纳入 70 例患者,其中 16 例根据回顾性手术评估分为 Ki-67 PI<50%组,54 例分为 Ki-67 PI≥50%组。所有患者均采用标准方案 3.0T MRI 仪进行检查,包括 10 个 值(0-1500 sec/mm)的 IVIM-DWI 序列。选择 CSCC 最大 值为 800 sec/mm。参数(扩散系数()、微血管容积分数()和假性扩散系数())由 ADW 4.6 工作站计算,基于 IVIM-DWI 的纹理特征由 GE AK 定量纹理分析软件测量。纹理特征包括一阶、GLCM、GLSZM、GLRLM 和小波变换特征。比较两组间 IVIM-DWI 参数和纹理特征的差异,对有组间差异的参数进行 ROC 曲线分析,并结合。

结果

Ki-67 PI≥50%组的 值低于 Ki-67 PI<50%组(<0.05)。使用 AK 软件共获得 1050 个纹理特征。通过单变量逻辑回归、mPMR 特征选择和多变量逻辑回归,得到 3 个纹理特征:小波_HHL_GLRLM_LRHGLE、lbp_3D_k_firstorder_IR 和小波_HLH_GLCM_IMC1。基于这 3 个纹理特征的预测模型的 AUC 为 0.816, 值和 3 个纹理特征的联合 AUC 为 0.834。

结论

IVIM-DWI 及其参数的纹理分析有助于预测 Ki-67 PI,可能为研究 CSCC 的重要成像生物标志物提供一种非侵入性方法。

https://cdn.ncbi.nlm.nih.gov/pmc/blobs/571c/7826202/7c1d76309736/CMMI2021-8873065.001.jpg

文献检索

告别复杂PubMed语法,用中文像聊天一样搜索,搜遍4000万医学文献。AI智能推荐,让科研检索更轻松。

立即免费搜索

文件翻译

保留排版,准确专业,支持PDF/Word/PPT等文件格式,支持 12+语言互译。

免费翻译文档

深度研究

AI帮你快速写综述,25分钟生成高质量综述,智能提取关键信息,辅助科研写作。

立即免费体验