Suppr超能文献

静脉输注罗库溴铵延长大鼠丙泊酚麻醉苏醒时间。

Intravenous infusion of rocuronium bromide prolongs emergence from propofol anesthesia in rats.

机构信息

Department of Anesthesiology, The Jikei University School of Medicine, Tokyo, Japan.

出版信息

PLoS One. 2021 Feb 11;16(2):e0246858. doi: 10.1371/journal.pone.0246858. eCollection 2021.

Abstract

BACKGROUND

Neuromuscular blocking agents induce muscle paralysis via the prevention of synaptic transmission at the neuromuscular junction and may have additional effects at other sites of action. With regard to potential effects of neuromuscular blocking agents on the central nervous system, a definitive view has not been established. We investigated whether intravenous infusion of rocuronium bromide affects the emergence from propofol anesthesia.

METHODS

Using an in vivo rat model, we performed propofol infusion for 60 minutes, along with rocuronium bromide at various infusion rates or normal saline. Sugammadex or normal saline was injected at the end of the infusion period, and we evaluated the time to emergence from propofol anesthesia. We also examined the neuromuscular blocking, circulatory, and respiratory properties of propofol infusion along with rocuronium bromide infusion to ascertain possible factors affecting emergence.

RESULTS

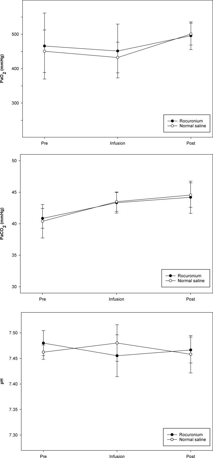
Intravenous infusion of rocuronium bromide dose-dependently increased the time to emergence from propofol anesthesia. Sugammadex administered after propofol infusion not containing rocuronium bromide did not affect the time to emergence. Mean arterial pressure, heart rate, partial pressures of oxygen and carbon dioxide, and pH were not affected by rocuronium bromide infusion. Neuromuscular blockade induced by rocuronium bromide, even at the greatest infusion rate in the emergence experiment, was rapidly antagonized by sugammadex.

CONCLUSIONS

These results suggest that intravenous infusion of rocuronium bromide dose-dependently delays the emergence from propofol anesthesia in rats. Future studies, such as detection of rocuronium in the cerebrospinal fluid or central nervous system, electrophysiologic studies, microinjection of sugammadex into the brain, etc., are necessary to determine the mechanism of this effect.

摘要

背景

神经肌肉阻滞剂通过阻止神经肌肉接头的突触传递来诱导肌肉麻痹,并且可能在其他作用部位具有附加作用。关于神经肌肉阻滞剂对中枢神经系统的潜在影响,尚未形成明确的观点。我们研究了罗库溴铵静脉输注是否会影响丙泊酚麻醉的苏醒。

方法

使用体内大鼠模型,我们进行了 60 分钟的丙泊酚输注,同时以不同的输注速率输注罗库溴铵或生理盐水。在输注期结束时注射顺式阿曲库铵或生理盐水,并评估丙泊酚麻醉苏醒的时间。我们还检查了丙泊酚输注加罗库溴铵输注的神经肌肉阻滞、循环和呼吸特性,以确定可能影响苏醒的因素。

结果

罗库溴铵静脉输注剂量依赖性地增加了从丙泊酚麻醉苏醒的时间。在不含罗库溴铵的丙泊酚输注后给予顺式阿曲库铵不会影响苏醒时间。平均动脉压、心率、氧和二氧化碳分压以及 pH 值不受罗库溴铵输注的影响。罗库溴铵诱导的神经肌肉阻滞,即使在苏醒实验中的最大输注速率下,也被顺式阿曲库铵迅速拮抗。

结论

这些结果表明,罗库溴铵静脉输注剂量依赖性地延迟了大鼠从丙泊酚麻醉中的苏醒。未来的研究,如检测脑脊液或中枢神经系统中的罗库溴铵、电生理研究、将顺式阿曲库铵微注射到大脑中等,都需要确定这种作用的机制。

https://cdn.ncbi.nlm.nih.gov/pmc/blobs/4bdb/7877640/d0763994ba7f/pone.0246858.g001.jpg

文献AI研究员

20分钟写一篇综述,助力文献阅读效率提升50倍。

立即体验

用中文搜PubMed

大模型驱动的PubMed中文搜索引擎

马上搜索

文档翻译

学术文献翻译模型,支持多种主流文档格式。

立即体验