Suppr超能文献

中东地区的啮齿动物体外寄生虫:系统评价与荟萃分析

Rodent Ectoparasites in the Middle East: A Systematic Review and Meta-Analysis.

作者信息

Islam Md Mazharul, Farag Elmoubashar, Eltom Khalid, Hassan Mohammad Mahmudul, Bansal Devendra, Schaffner Francis, Medlock Jolyon M, Al-Romaihi Hamad, Mkhize-Kwitshana Zilungile

机构信息

Department of Animal Resources, Ministry of Municipality and Environment, Doha, P.O. Box 35081, Qatar.

School of Laboratory Medicine and Medical Sciences, College of Health Sciences, University of KwaZulu Natal, Durban 4000, South Africa.

出版信息

Pathogens. 2021 Jan 31;10(2):139. doi: 10.3390/pathogens10020139.

Abstract

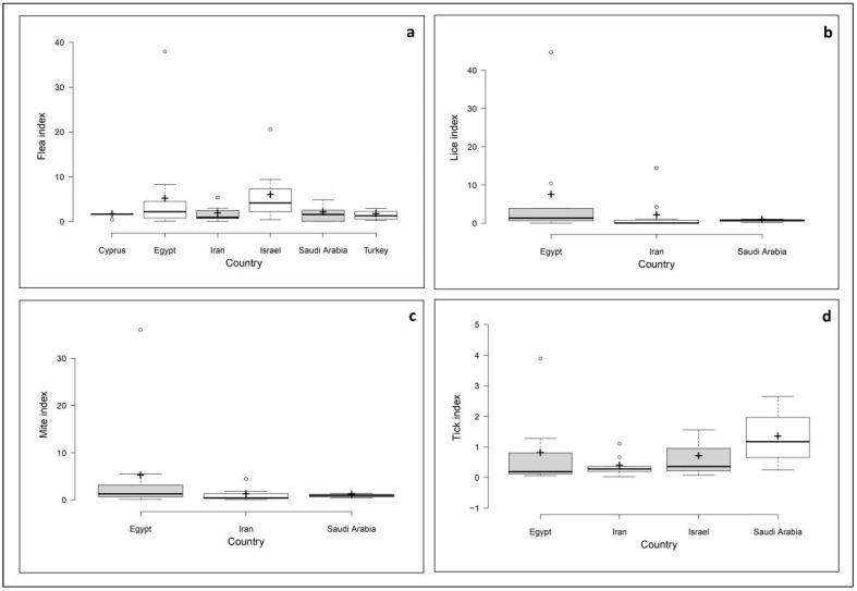
Rodents carry many ectoparasites, such as ticks, lice, fleas, and mites, which have potential public health importance. Middle Eastern countries are hotspots for many emerging and re-emerging infectious diseases, such as plague, leishmaniasis, Crimean Congo hemorrhagic fever, and Q fever, due to their ecological, socioeconomic, and political diversity. Rodent ectoparasites can act as vectors for many of these pathogens. Knowledge of rodent ectoparasites is of prime importance in controlling rodent ectoparasite-borne zoonotic diseases in this region. The current systematic review and meta-analysis performs a comprehensive synthesis of the available knowledge, providing an evidence-based overview of the ectoparasites detected on rodents in Middle Eastern countries. Following a systematic search in Pubmed, Scopus, and Web of Science, a total of 113 published articles on rodent ectoparasites were studied and analyzed. A total of 87 rodent species were documented, from which , , and were found to be the most common. Fleas were the most reported ectoparasites (87 articles), followed by mites (53), ticks (44), and lice (25). , , , and were the most commonly described fleas, lice, mites, and ticks, respectively. Based on the reviewed articles, the median flea, louse, mite, and tick indices were highest in Israel (4.15), Egypt (1.39), Egypt (1.27), and Saudi Arabia (1.17), respectively. Quantitative meta-analysis, using a random-effects model, determined the overall pooled flea prevalence in the Middle East as 40% (95% CI: 25-55, = 100%, < 0.00001), ranging between 13% (95% CI: 0-30, = 95%, < 0.00001) in Iran and 59% (95% CI: 42-77, = 75%, < 0.00001) in Israel. The overall pooled louse prevalence was found to be 30% (95% CI: 13-47, = 100%, < 0.00001), ranging between 25% in Iran (95% CI: 1-50, = 99%) and 38% in Egypt (95% CI: 7-68, = 100%). In the case of mites, the pooled prevalence in this region was 33% (95% CI: 11-55, = 100%, < 0.00001), where the country-specific prevalence estimates were 30% in Iran (95% CI: 4-56, = 99%) and 32% in Egypt (95% CI: 0-76, = 100%). For ticks, the overall prevalence was found to be 25% (95% CI: 2-47, = 100%, < 0.00001), ranging from 16% in Iran (95% CI: 7-25, = 74%) to 42% in Egypt (95% CI: 1-85, = 100%). The control of rodent ectoparasites should be considered to reduce their adverse effects. Using the One Health strategy, rodent control, and precisely control of the most common rodent species, i.e., , , and , should be considered to control the rodent-borne ectoparasites in this region.

摘要

啮齿动物携带许多体表寄生虫,如蜱、虱、蚤和螨,这些寄生虫对公共卫生具有潜在重要性。中东国家是许多新发和再发传染病的热点地区,如鼠疫、利什曼病、克里米亚刚果出血热和Q热,这是由于其生态、社会经济和政治的多样性。啮齿动物体表寄生虫可作为许多这些病原体的传播媒介。了解啮齿动物体表寄生虫对于控制该地区由啮齿动物体表寄生虫传播的人畜共患病至关重要。当前的系统评价和荟萃分析对现有知识进行了全面综合,提供了关于中东国家啮齿动物体表寄生虫的循证概述。在对PubMed、Scopus和Web of Science进行系统检索后,共研究和分析了113篇关于啮齿动物体表寄生虫的已发表文章。共记录了87种啮齿动物,其中[具体物种1]、[具体物种2]和[具体物种3]被发现是最常见的。蚤是报道最多的体表寄生虫(87篇文章),其次是螨(53篇)、蜱(44篇)和虱(25篇)。[具体蚤种1]、[具体虱种1]、[具体螨种1]和[具体蜱种1]分别是最常描述的蚤、虱、螨和蜱。根据综述文章,以色列的蚤指数中位数最高(4.15),埃及的虱指数中位数最高(1.39),埃及的螨指数中位数最高(1.27),沙特阿拉伯的蜱指数中位数最高(1.17)。使用随机效应模型进行的定量荟萃分析确定中东地区蚤的总体合并患病率为40%(95%可信区间:25 - 55,I² = 100%,p < 0.00001),在伊朗为13%(95%可信区间:0 - 30,I² = 95%,p < 0.00001),在以色列为59%(95%可信区间:42 - 77,I² = 75%,p < 0.00001)。发现虱的总体合并患病率为30%(95%可信区间:13 - 47,I² = 100%,p < 0.00001),在伊朗为25%(95%可信区间:1 - 50,I² = 99%),在埃及为38%(95%可信区间:7 - 68,I² = 100%)。对于螨,该地区的合并患病率为33%(95%可信区间:11 - 55,I² = 100%,p < 0.00001),伊朗的国家特定患病率估计为30%(95%可信区间:4 - 56,I² = 99%),埃及为32%(95%可信区间:0 - 76,I² = 100%)。对于蜱,总体患病率为25%(95%可信区间:2 - 47,I² = 100%,p < 0.00001),从伊朗的16%(95%可信区间:7 - 25,I² = 74%)到埃及的42%(95%可信区间:1 - 85,I² = 100%)。应考虑控制啮齿动物体表寄生虫以减少其不利影响。采用“同一健康”战略,应考虑控制啮齿动物,特别是精确控制最常见的啮齿动物物种,即[具体物种1]、[具体物种2]和[具体物种3],以控制该地区由啮齿动物传播的体表寄生虫。

https://cdn.ncbi.nlm.nih.gov/pmc/blobs/bec8/7911898/d6b4d211d6f7/pathogens-10-00139-g001.jpg

文献AI研究员

20分钟写一篇综述,助力文献阅读效率提升50倍。

立即体验

用中文搜PubMed

大模型驱动的PubMed中文搜索引擎

马上搜索

文档翻译

学术文献翻译模型,支持多种主流文档格式。

立即体验