Ehret Felix, Kufeld Markus, Fürweger Christoph, Haidenberger Alfred, Windisch Paul, Fichte Susanne, Lehrke Ralph, Senger Carolin, Kaul David, Rueß Daniel, Ruge Maximilian, Schichor Christian, Tonn Jörg-Christian, Stalla Günter, Muacevic Alexander
Charité-Universitätsmedizin Berlin, Corporate Member of Freie Universität Berlin, Humboldt-Universität zu Berlin, and Berlin Institute of Health, Department of Radiation Oncology, 13353 Berlin, Germany.
European Cyberknife Center, 81377 Munich, Germany.
Cancers (Basel). 2021 Jan 31;13(3):537. doi: 10.3390/cancers13030537.
The rates of incomplete surgical resection for pituitary macroadenomas with cavernous sinus invasion are high. In growth hormone-producing adenomas, there is a considerable risk for persistent acromegaly. Thus, effective treatment options are needed to limit patient morbidity and mortality. This multicenter study assesses the efficacy and safety of robotic radiosurgery (RRS) for patients with cavernous sinus-invading adenomas with persistent acromegaly.
Patients who underwent RRS with CyberKnife for postoperative acromegaly were eligible.
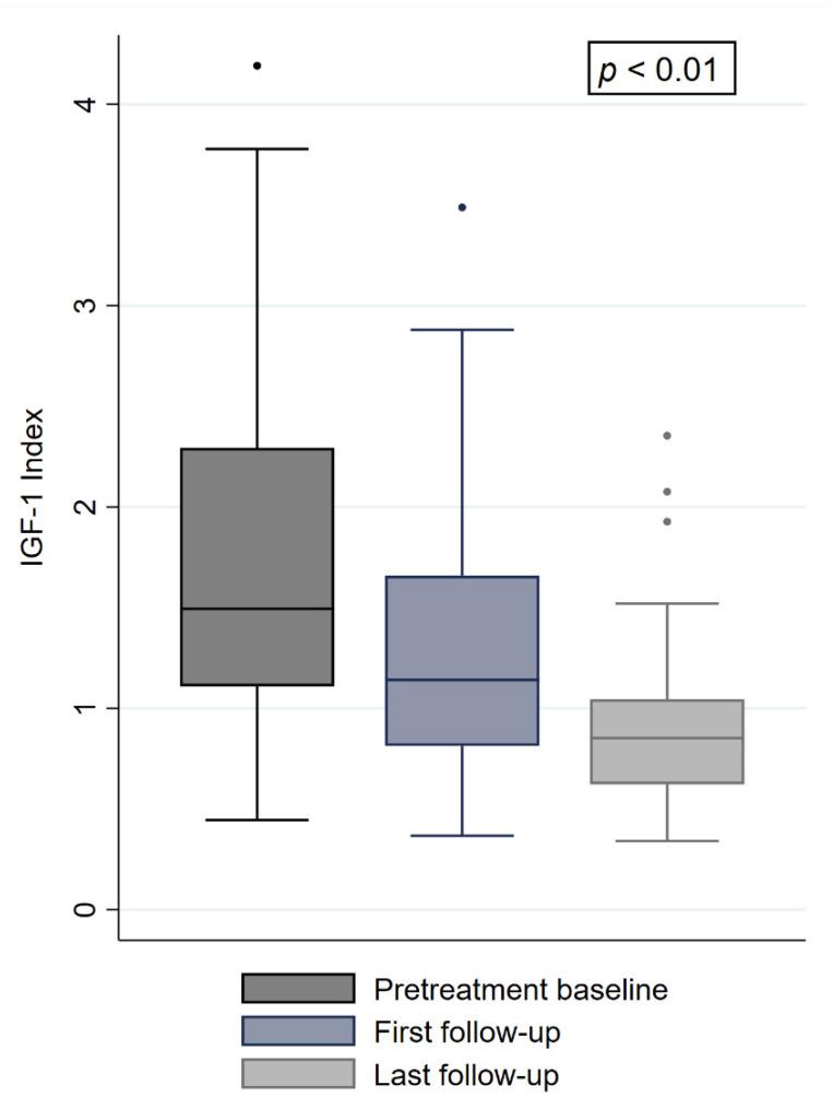
Fifty patients were included. At a median follow-up of 57 months, the local control was 100%. The pretreatment insulin-like growth factor 1 (IGF-1) levels and indexes were 381 ng/mL and 1.49, respectively. The median dose and prescription isodose were 18 Gy and 70%, respectively. Six months after RRS, and at the last follow-up, the IGF-1 levels and indexes were 277 ng/mL and 1.14, as well as 196 ng/mL and 0.83, respectively ( = 0.0001 and = 0.0002). The IGF-1 index was a predictor for biochemical remission ( = 0.04). Nine patients achieved biochemical remission and 24 patients showed biochemical disease control. Three patients developed a new hypopituitarism.
RRS is an effective treatment for this challenging patient population. IGF-1 levels are decreasing after treatment and most patients experience biochemical disease control or remission.
侵袭海绵窦的垂体大腺瘤手术切除不完全的发生率很高。在生长激素分泌型腺瘤中,持续性肢端肥大症的风险相当大。因此,需要有效的治疗方案来降低患者的发病率和死亡率。这项多中心研究评估了机器人放射外科手术(RRS)对患有持续性肢端肥大症且侵袭海绵窦的腺瘤患者的疗效和安全性。
符合条件的患者为接受射波刀RRS治疗术后肢端肥大症的患者。
纳入了50例患者。中位随访时间为57个月,局部控制率为100%。治疗前胰岛素样生长因子1(IGF-1)水平和指数分别为381 ng/mL和1.49。中位剂量和处方等剂量分别为18 Gy和70%。RRS治疗6个月后及末次随访时,IGF-1水平和指数分别为277 ng/mL和1.14,以及196 ng/mL和0.83(P = 0.0001和P = 0.0002)。IGF-1指数是生化缓解的预测指标(P = 0.04)。9例患者实现生化缓解,24例患者实现生化疾病控制。3例患者出现了新的垂体功能减退。
RRS是治疗这类具有挑战性患者群体的有效方法。治疗后IGF-1水平下降,大多数患者实现生化疾病控制或缓解。