School of Resources and Safety Engineering, Central South University, Changsha 410083, Hunan, China.
Sinosteel Maanshan General Institute of Mining Research Co., Ltd., Maanshan 243000, Anhui, China.
Int J Environ Res Public Health. 2021 Jan 29;18(3):1184. doi: 10.3390/ijerph18031184.
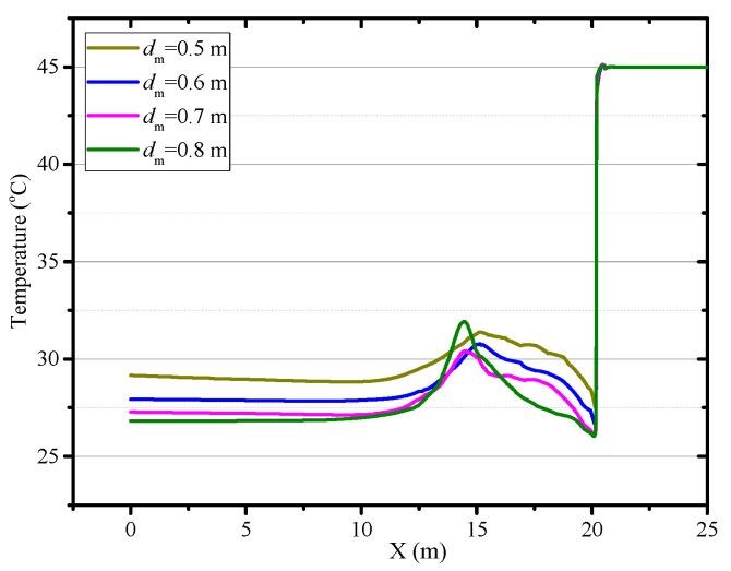
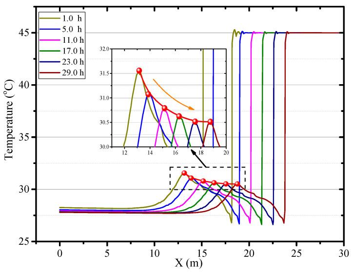
A steady and proper thermal environment in deep underground is imperative to ensure worker health and production safety. Understanding the thermal performance in the roadway is the premise of temperature prediction; ventilation design; and improvement in cooling efficiency. A full coupled model incorporated with a moving mesh method was adopted; reflecting the dynamic condition of roadway construction. This study revealed the characteristics of the thermal performance and its evolution law in an excavating roadway. Several scenarios were performed to examine the designs of the auxiliary ventilation system on thermal performance in the roadway. The results show that there is a limitation in the cooling effect by continuously increasing the ventilation volume. Reducing the diameter of the air duct or distances between the duct outlet and the working face will aggravate the heat hazard in the roadway. The heat release from the roadway wall increases with the increase of the advance rate of the working face or roadway section size. Furthermore; an orthogonal experiment was conducted to investigate the effect of major factors on the average air temperature and local heat accumulation in the roadway.
稳定且适宜的地下深部热环境对于保障工人健康和生产安全至关重要。了解巷道的热性能是进行温度预测、通风设计和提高冷却效率的前提。本文采用了一个包含移动网格方法的完全耦合模型,反映了巷道施工的动态条件。该研究揭示了掘进巷道热性能的特征及其演化规律。进行了几种场景的模拟,以检验辅助通风系统对巷道热性能的设计。结果表明,通过持续增加通风量来提高冷却效果是有限的。减少风管直径或风管出口与工作面之间的距离会加剧巷道的热害。随着工作面推进速度或巷道断面尺寸的增加,巷道壁的热释放量也会增加。此外,还进行了正交试验,以研究主要因素对巷道平均空气温度和局部热积聚的影响。