Suppr超能文献

家长和教师报告的家长培训对有儿童保护及其他支持服务家庭中儿童行为问题的长期影响:一项随机对照试验。

Parent- and teacher-reported long-term effects of parent training on child conduct problems in families with child protection and other support services: a randomized controlled trial.

作者信息

Karjalainen Piia, Santalahti Päivi, Aronen Eeva T, Kiviruusu Olli

机构信息

Department of Public Health Solutions, Mental Health Unit, Finnish institute for health and welfare, P.O. Box 30, 00271, Helsinki, Finland.

Department of Child Psychiatry, Sörnäinen Child Psychiatry Outpatient Clinic, Helsinki University Hospital, P.O. Box 605, 00029 HUS, Helsinki, Finland.

出版信息

Child Adolesc Psychiatry Ment Health. 2021 Feb 11;15(1):7. doi: 10.1186/s13034-021-00358-6.

Abstract

BACKGROUND

This randomized controlled trial (RCT) evaluated the long-term effectiveness of the Incredible Years (IY) Parenting Program in modifying children's externalizing problems among families in Child Protection Services (CPS) and using other special support services. We also examined whether parent-reported effects of the IY generalize to the daycare/school setting as reported by teachers.

METHODS

Participants in the study were 3-7-year-old children with behavioural problems (N = 102 at baseline, N = 89 at one-year follow-up). Participants were randomized to intervention (N = 50) and control groups (N = 52) after the baseline assessment. The intervention group received 19-week IY Parenting Program. The effectiveness of the intervention was analyzed using linear mixed model.

RESULTS

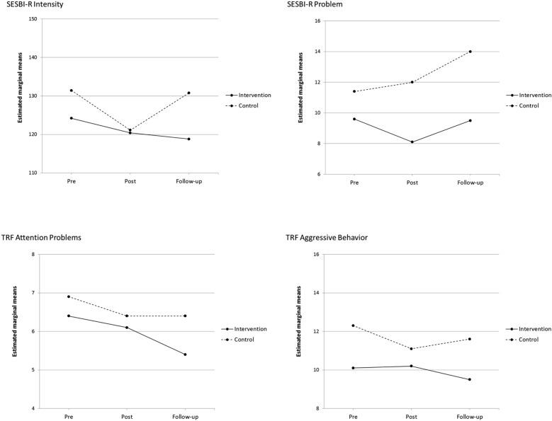
Our previously reported pre-post intervention effects on CBCL (Child Behavior Checklist) and ECBI (Eyberg Child Behavior Inventory) were not sustained to the one-year follow-up. Child conduct problems decreased from baseline to follow-up in both intervention and control groups. The positive changes were not observed at daycare/school from baseline to post-intervention or to the one-year follow-up, and there were no significant differences in changes between the groups.

CONCLUSIONS

Evidence-based parenting program IY seems to be an effective intervention for child conduct problems in the short term in families in the CPS context, but sustaining the positive effects and generalizing them to the daycare/school context are challenging.

TRIAL REGISTRATION

The trial is registered in the ClinicalTrials.gov registry (NCT03239990), Registered August 4th, 2017; https://clinicaltrials.gov/ct2/results?cond=&term=NCT03239990&cntry=&state=&city=&dist=.

摘要

背景

这项随机对照试验(RCT)评估了“非凡岁月”(IY)育儿项目在改善儿童保护服务(CPS)体系内家庭以及使用其他特殊支持服务的家庭中儿童外化问题方面的长期效果。我们还研究了家长报告的IY项目效果是否如教师报告的那样能推广到日托/学校环境中。

方法

该研究的参与者为3至7岁有行为问题的儿童(基线时N = 102,一年随访时N = 89)。在基线评估后,参与者被随机分为干预组(N = 50)和对照组(N = 52)。干预组接受为期19周的IY育儿项目。使用线性混合模型分析干预的效果。

结果

我们之前报告的干预前后对儿童行为清单(CBCL)和埃伯格儿童行为量表(ECBI)的影响在一年随访时未持续。干预组和对照组的儿童行为问题从基线到随访均有所减少。从基线到干预后以及到一年随访时,在日托/学校环境中未观察到积极变化,且两组之间的变化无显著差异。

结论

基于证据的育儿项目IY在CPS背景下的家庭中对儿童行为问题似乎是一种短期有效的干预措施,但维持积极效果并将其推广到日托/学校环境具有挑战性。

试验注册

该试验已在ClinicalTrials.gov注册中心注册(NCT03239990),2017年8月4日注册;https://clinicaltrials.gov/ct2/results?cond=&term=NCT03239990&cntry=&state=&city=&dist=

https://cdn.ncbi.nlm.nih.gov/pmc/blobs/c45e/7879521/a129c2bf2a52/13034_2021_358_Fig1_HTML.jpg

文献AI研究员

20分钟写一篇综述,助力文献阅读效率提升50倍。

立即体验

用中文搜PubMed

大模型驱动的PubMed中文搜索引擎

马上搜索

文档翻译

学术文献翻译模型,支持多种主流文档格式。

立即体验