Suppr超能文献

低位前切除术综合征的两种主要类型及其对患者生活质量的影响。

Two dominant patterns of low anterior resection syndrome and their effects on patients' quality of life.

机构信息

Department of Surgery, Seoul National University College of Medicine, 101, Daehak-ro Jongno-gu, Seoul, 03080, Republic of Korea.

Cancer Research Institute, Seoul National University, Seoul, Korea.

出版信息

Sci Rep. 2021 Feb 11;11(1):3538. doi: 10.1038/s41598-021-82149-9.

Abstract

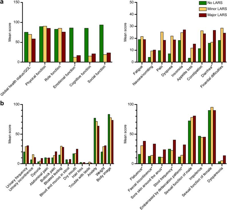
To identify low anterior resection syndrome (LARS) patterns and their associations with risk factors and quality of life (QOL). This cross-sectional study analyzed patients who underwent restorative anterior resection for left-sided colorectal cancer at Seoul National University Hospital, Seoul, Republic of Korea. We administered LARS questionnaires to assess bowel dysfunction and quality of life between April 2017 and November 2019. LARS patterns were classified based on factor analyses. Variable effects on LARS patterns were estimated using logistic regression analysis. The risk factors and quality of life associated with dominant LARS patterns were analyzed. Data of 283 patients with a median follow-up duration of 24 months were analyzed. Major LARS was observed in 123 (43.3%) patients. Radiotherapy (odds ratio [OR]: 2.851, 95% confidence interval [95% CI]: 2.504-43.958, p = 0.002), low anastomosis (OR: 10.492, 95% CI: 2.504-43.958, p = 0.001), and complications (OR: 2.163, 95% CI: 1.100-4.255, p = 0.025) were independently associated with major LARS. LARS was classified into incontinence- or frequency-dominant types. Risk factors for incontinence-dominant LARS were radiotherapy and complications, whereas those for frequency-dominant LARS included low tumor location. Patients with incontinence-dominant patterns showed lower emotional function, whereas those with frequency-dominant patterns showed lower global health QOL, lower emotional, cognitive, and social functions, and higher incidence of pain and diarrhea. Frequency-dominant LARS had a greater negative effect on QOL than incontinence-dominant LARS. These patterns could be used for preoperative prediction and postoperative treatment of LARS.

摘要

目的

确定低位前切除综合征(LARS)的模式及其与危险因素和生活质量(QOL)的关系。本研究为回顾性研究,分析了 2017 年 4 月至 2019 年 11 月期间在韩国首尔国立大学医院接受左半结直肠肿瘤保肛前切除术的患者。我们通过 LARS 问卷评估了肠功能障碍和生活质量。根据因子分析对 LARS 模式进行分类。采用 logistic 回归分析估计变量对 LARS 模式的影响。分析与主要 LARS 模式相关的危险因素和生活质量。共分析了 283 例患者的中位随访时间为 24 个月的数据。123 例(43.3%)患者出现主要 LARS。放疗(OR:2.851,95%CI:2.504-43.958,p=0.002)、低位吻合(OR:10.492,95%CI:2.504-43.958,p=0.001)和并发症(OR:2.163,95%CI:1.100-4.255,p=0.025)与主要 LARS 独立相关。LARS 分为失禁型或频数型。失禁型 LARS 的危险因素为放疗和并发症,而频数型 LARS 的危险因素为低位肿瘤位置。失禁型 LARS 患者的情绪功能较低,而频数型 LARS 患者的总体健康 QOL、情绪、认知和社会功能较低,疼痛和腹泻的发生率较高。频数型 LARS 对 QOL 的负面影响大于失禁型 LARS。这些模式可用于 LARS 的术前预测和术后治疗。

https://cdn.ncbi.nlm.nih.gov/pmc/blobs/a8bb/7878496/2090301aecdb/41598_2021_82149_Fig1_HTML.jpg

文献AI研究员

20分钟写一篇综述,助力文献阅读效率提升50倍。

立即体验

用中文搜PubMed

大模型驱动的PubMed中文搜索引擎

马上搜索

文档翻译

学术文献翻译模型,支持多种主流文档格式。

立即体验