Suppr超能文献

硒在 Graves 甲亢和眼病治疗中的应用。

Selenium in the Treatment of Graves' Hyperthyroidism and Eye Disease.

机构信息

Department of Clinical and Experimental Medicine, Endocrinology Unit II, University of Pisa and University Hospital of Pisa, Pisa, Italy.

出版信息

Front Endocrinol (Lausanne). 2021 Jan 26;11:608428. doi: 10.3389/fendo.2020.608428. eCollection 2020.

Abstract

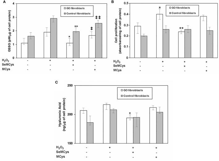
Based on the role of oxidative stress in the pathogenesis of Graves' hyperthyroidism (GH) and Graves' Orbitopathy (GO), a therapy with the antioxidant agent selenium has been proposed and a number of studies have been performed, both and . In GH, reactive oxygen species (ROS) contribute to the thyroid and peripheral tissues damage. In GO, tissue hypoxia, as well as ROS, are involved in the typical changes that occur in fibroadipose orbital tissue and the perimysium of extraocular muscles. Antioxidants have been proposed to improve the effects of antithyroid drugs in GH patients, as well as the remodeling of orbital tissues in patients with GO. Here, we reviewed the literature on the possible beneficial effects and clinical use of selenium in the management of patients with GH and GO. A randomized clinical trial on the use of selenium in patients with mild GO provided evidence for a beneficial effect; no data are available on more severe forms of GO. Although the real effectiveness of selenium in patients with GH remains questionable, its use in the management of mild GO is generally believed to be beneficial, and selenium administration has been included in the clinical practice for the patients with mild eye disease.

摘要

基于氧化应激在格雷夫斯病(GH)和格雷夫斯眼病(GO)发病机制中的作用,已经提出了一种使用抗氧化剂硒的治疗方法,并且已经进行了许多研究,包括 和 。在 GH 中,活性氧(ROS)导致甲状腺和外周组织损伤。在 GO 中,组织缺氧以及 ROS 参与发生在纤维脂肪眶组织和眼外肌的肌周膜中的典型变化。抗氧化剂被提议改善 GH 患者的抗甲状腺药物治疗效果,以及改善 GO 患者的眼眶组织重塑。在这里,我们回顾了关于硒在 GH 和 GO 患者管理中可能的有益作用和临床应用的文献。一项关于硒在轻度 GO 患者中的应用的随机临床试验提供了有益效果的证据;关于更严重形式的 GO,尚无数据。尽管硒在 GH 患者中的实际疗效仍存在疑问,但一般认为其在轻度 GO 的管理中是有益的,并且已经将硒的给药纳入了轻度眼病患者的临床实践中。

https://cdn.ncbi.nlm.nih.gov/pmc/blobs/7d6c/7870989/eb13cdd0c14c/fendo-11-608428-g001.jpg

文献AI研究员

20分钟写一篇综述,助力文献阅读效率提升50倍。

立即体验

用中文搜PubMed

大模型驱动的PubMed中文搜索引擎

马上搜索

文档翻译

学术文献翻译模型,支持多种主流文档格式。

立即体验