Suppr超能文献

慢性阻塞性肺疾病与室性心律失常的关系:一项全国性基于人群的队列研究。

Association between chronic obstructive pulmonary disease and ventricular arrhythmia: a nationwide population-based cohort study.

机构信息

Division of Cardiology, Department of Internal Medicine, Shuang Ho Hospital, Taipei Medical University, New Taipei City, Taiwan.

Taipei Heart Institute, Taipei Medical University, Taipei, Taiwan.

出版信息

NPJ Prim Care Respir Med. 2021 Feb 12;31(1):8. doi: 10.1038/s41533-021-00221-3.

Abstract

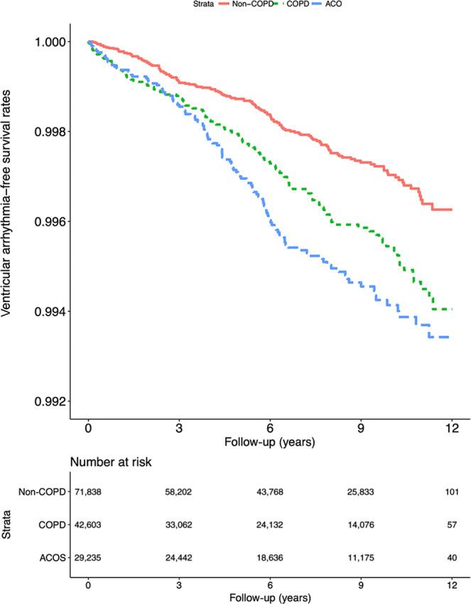
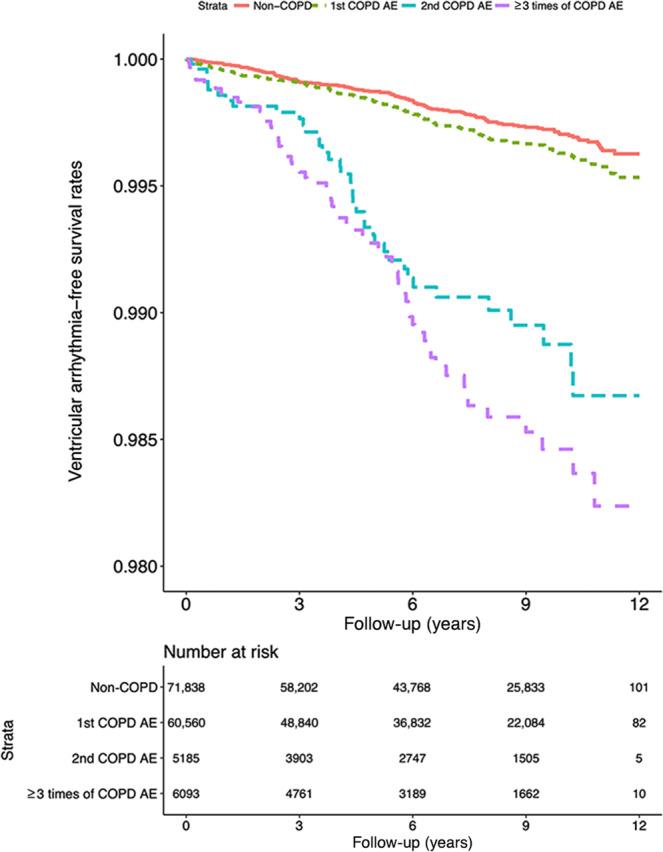
The ventricular arrhythmia (VA)-chronic obstructive pulmonary disease (COPD) association and related risk factors remain unclear. Using 2001-2012 data from National Health Insurance Research Database, we retrospectively reviewed 71,838 patients diagnosed as having COPD and 71,838 age- and sex-matched controls. After adjustments for comorbidities, medication, urbanization level, and monthly income, patients with COPD had higher incidence rates of VA than did the controls (adjusted hazard ratio [aHR] [95% confidence interval (CI)]: 1.45 [1.25-1.68]). More hospitalization or emergency visits because of acute COPD exacerbation (aHRs [95% CIs] for first, second, and third visits: 1.28 [1.08-1.50], 1.75 [1.32-2.32], and 1.88 [1.46-2.41], respectively) and asthma-COPD overlap (aHR [95% CI]: 1.49 [1.25-1.79]) were associated with high VA risk in patients with COPD. In the multivariate analysis, heart failure (aHR [95% CI]: 2.37 [1.79-3.14]), diabetes (aHR [95% CI]:1.64 [1.29-2.08]), age ≥75 (aHR [95% CI]: 2.48 [1.68-3.67]), male (aHR [95% CI]: 1.69[1.34-2.12]), and class III antiarrhythmic drug use (aHR [95% CI]: 2.49 [1.88-3.28]) are the most significant risk factors of new onset of VA in patients with COPD.

摘要

室性心律失常(VA)-慢性阻塞性肺疾病(COPD)的关联及其相关危险因素尚不清楚。本研究使用 2001 年至 2012 年国家健康保险研究数据库的数据,回顾性分析了 71838 例确诊为 COPD 患者和 71838 名年龄和性别匹配的对照组患者。在调整合并症、药物、城市化水平和月收入后,与对照组相比,COPD 患者的 VA 发生率更高(调整后的危险比[95%置信区间(CI)]:1.45[1.25-1.68])。由于急性 COPD 加重而导致更多的住院或急诊就诊(首次、第二次和第三次就诊的调整后危险比[95%CI]分别为 1.28[1.08-1.50]、1.75[1.32-2.32]和 1.88[1.46-2.41])和哮喘-COPD 重叠(调整后危险比[95%CI]:1.49[1.25-1.79])与 COPD 患者的 VA 高风险相关。在多变量分析中,心力衰竭(调整后危险比[95%CI]:2.37[1.79-3.14])、糖尿病(调整后危险比[95%CI]:1.64[1.29-2.08])、年龄≥75 岁(调整后危险比[95%CI]:2.48[1.68-3.67])、男性(调整后危险比[95%CI]:1.69[1.34-2.12])和 III 类抗心律失常药物的使用(调整后危险比[95%CI]:2.49[1.88-3.28])是 COPD 患者新发 VA 的最重要危险因素。

https://cdn.ncbi.nlm.nih.gov/pmc/blobs/a94e/7880986/d54e3a5a3f2c/41533_2021_221_Fig1_HTML.jpg

文献AI研究员

20分钟写一篇综述,助力文献阅读效率提升50倍。

立即体验

用中文搜PubMed

大模型驱动的PubMed中文搜索引擎

马上搜索

文档翻译

学术文献翻译模型,支持多种主流文档格式。

立即体验