• 文献检索
  • 文档翻译
  • 深度研究
  • 学术资讯
  • Suppr Zotero 插件Zotero 插件
  • 邀请有礼
  • 套餐&价格
  • 历史记录
应用&插件
Suppr Zotero 插件Zotero 插件浏览器插件Mac 客户端Windows 客户端微信小程序
定价
高级版会员购买积分包购买API积分包
服务
文献检索文档翻译深度研究API 文档MCP 服务
关于我们
关于 Suppr公司介绍联系我们用户协议隐私条款
关注我们

Suppr 超能文献

核心技术专利:CN118964589B侵权必究
粤ICP备2023148730 号-1Suppr @ 2026

文献检索

告别复杂PubMed语法,用中文像聊天一样搜索,搜遍4000万医学文献。AI智能推荐,让科研检索更轻松。

立即免费搜索

文件翻译

保留排版,准确专业,支持PDF/Word/PPT等文件格式,支持 12+语言互译。

免费翻译文档

深度研究

AI帮你快速写综述,25分钟生成高质量综述,智能提取关键信息,辅助科研写作。

立即免费体验

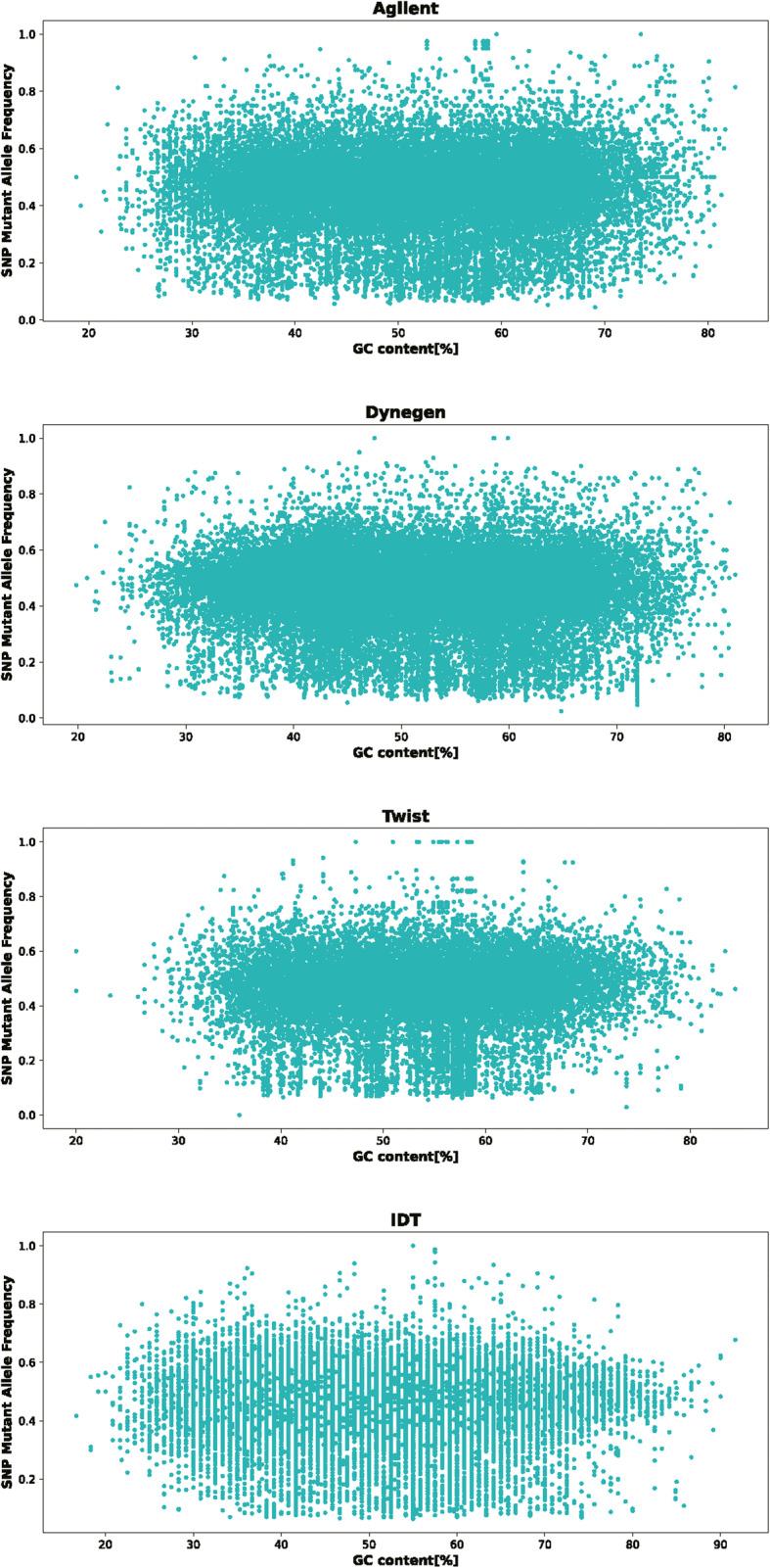
四种外显子 DNA 测序目标富集探针的性能比较。

Performance comparison of four types of target enrichment baits for exome DNA sequencing.

机构信息

Bio-X Institutes, Key Laboratory for the Genetics of Developmental and Neuropsychiatric Disorders (Ministry of Education), Collaborative Innovation Center for Brain Science, Shanghai Jiao Tong University, Shanghai, 200030, People's Republic of China.

出版信息

Hereditas. 2021 Feb 17;158(1):10. doi: 10.1186/s41065-021-00171-3.

DOI:10.1186/s41065-021-00171-3
PMID:33597004
原文链接:https://pmc.ncbi.nlm.nih.gov/articles/PMC7888174/
Abstract

BACKGROUND

Next-generation sequencing technology is developing rapidly and target capture sequencing has become an important technique. Several different platforms for library preparation and target capture with different bait types respectively are commercially available. Here we compare the performance of the four platforms with different bait types to find out their advantages and limitations. The purpose of this study is to help investigators and clinicians select the appropriate platform for their particular application and lay the foundation for the development of a better target capture platform for next-generation sequencing.

RESULTS

We formulate capture efficiency as a novel parameter that can be used to better evaluations of specificity and coverage depth among the different capture platforms. Target coverage, capture efficiency, GC bias, AT Dropout, sensitivity in single nucleotide polymorphisms, small insertions and deletions detection, and the feature of each platform were compared for low input samples. In general, all platforms perform well and small differences among them are revealed. In our results, RNA baits have stronger binding power than DNA baits, and with ultra deep sequencing, double stranded RNA baits perform better than single stranded RNA baits in all aspects. DNA baits got better performance in the region with high GC content and RNA baits got lower AT dropout suggesting that the binding power is different between DNA and RNA baits to genome regions with different characteristics.

CONCLUSIONS

The platforms with double stranded RNA baits have the most balanced capture performance. Our results show the key differences in performance among the four updated platforms with four different bait types. The better performance of double stranded RNA bait with ultra deep sequencing suggests that it may improve the sensitivity of ultra low frequent mutation detection. In addition, we further propose that the mixed baits of double stranded RNA and single stranded DNA may improve target capture performance.

摘要

背景

下一代测序技术发展迅速,目标捕获测序已成为一项重要技术。目前市场上有几种不同的文库制备和目标捕获平台,分别采用不同类型的探针。本研究比较了不同探针类型的四种平台的性能,以了解它们的优缺点。本研究旨在帮助研究人员和临床医生为其特定应用选择合适的平台,并为下一代测序的更好的目标捕获平台的发展奠定基础。

结果

我们提出了捕获效率作为一个新的参数,可以更好地评估不同捕获平台的特异性和覆盖深度。比较了低输入样本中各平台的目标覆盖度、捕获效率、GC 偏倚、AT 缺失、单核苷酸多态性检测灵敏度、小插入和缺失检测灵敏度以及各平台的特点。总体而言,所有平台的性能都很好,并且显示出它们之间的微小差异。在我们的结果中,RNA 探针比 DNA 探针具有更强的结合能力,并且在超深度测序中,双链 RNA 探针在各个方面的表现均优于单链 RNA 探针。在 GC 含量高的区域,DNA 探针的性能更好,而在 AT 缺失率方面,RNA 探针的性能更低,这表明 DNA 和 RNA 探针与具有不同特征的基因组区域的结合能力不同。

结论

双链 RNA 探针平台具有最平衡的捕获性能。我们的结果显示了四种不同探针类型的四个最新平台在性能方面的关键差异。超深度测序中双链 RNA 探针的更好性能表明,它可能提高超低频率突变检测的灵敏度。此外,我们进一步提出双链 RNA 和单链 DNA 的混合探针可能会改善目标捕获性能。

https://cdn.ncbi.nlm.nih.gov/pmc/blobs/c95f/7888174/9d9a0cf7bf13/41065_2021_171_Fig10_HTML.jpg
https://cdn.ncbi.nlm.nih.gov/pmc/blobs/c95f/7888174/32e7f9816dfc/41065_2021_171_Fig1_HTML.jpg
https://cdn.ncbi.nlm.nih.gov/pmc/blobs/c95f/7888174/90084873e8c1/41065_2021_171_Fig2_HTML.jpg
https://cdn.ncbi.nlm.nih.gov/pmc/blobs/c95f/7888174/4afdb821896e/41065_2021_171_Fig3_HTML.jpg
https://cdn.ncbi.nlm.nih.gov/pmc/blobs/c95f/7888174/ae1438c3e582/41065_2021_171_Fig4_HTML.jpg
https://cdn.ncbi.nlm.nih.gov/pmc/blobs/c95f/7888174/66edd13aaf69/41065_2021_171_Fig5_HTML.jpg
https://cdn.ncbi.nlm.nih.gov/pmc/blobs/c95f/7888174/5c54b5f54e83/41065_2021_171_Fig6_HTML.jpg
https://cdn.ncbi.nlm.nih.gov/pmc/blobs/c95f/7888174/e217ee6f13d1/41065_2021_171_Fig7_HTML.jpg
https://cdn.ncbi.nlm.nih.gov/pmc/blobs/c95f/7888174/4441921789e0/41065_2021_171_Fig8_HTML.jpg
https://cdn.ncbi.nlm.nih.gov/pmc/blobs/c95f/7888174/64f6be45e315/41065_2021_171_Fig9_HTML.jpg
https://cdn.ncbi.nlm.nih.gov/pmc/blobs/c95f/7888174/9d9a0cf7bf13/41065_2021_171_Fig10_HTML.jpg
https://cdn.ncbi.nlm.nih.gov/pmc/blobs/c95f/7888174/32e7f9816dfc/41065_2021_171_Fig1_HTML.jpg
https://cdn.ncbi.nlm.nih.gov/pmc/blobs/c95f/7888174/90084873e8c1/41065_2021_171_Fig2_HTML.jpg
https://cdn.ncbi.nlm.nih.gov/pmc/blobs/c95f/7888174/4afdb821896e/41065_2021_171_Fig3_HTML.jpg
https://cdn.ncbi.nlm.nih.gov/pmc/blobs/c95f/7888174/ae1438c3e582/41065_2021_171_Fig4_HTML.jpg
https://cdn.ncbi.nlm.nih.gov/pmc/blobs/c95f/7888174/66edd13aaf69/41065_2021_171_Fig5_HTML.jpg
https://cdn.ncbi.nlm.nih.gov/pmc/blobs/c95f/7888174/5c54b5f54e83/41065_2021_171_Fig6_HTML.jpg
https://cdn.ncbi.nlm.nih.gov/pmc/blobs/c95f/7888174/e217ee6f13d1/41065_2021_171_Fig7_HTML.jpg
https://cdn.ncbi.nlm.nih.gov/pmc/blobs/c95f/7888174/4441921789e0/41065_2021_171_Fig8_HTML.jpg
https://cdn.ncbi.nlm.nih.gov/pmc/blobs/c95f/7888174/64f6be45e315/41065_2021_171_Fig9_HTML.jpg
https://cdn.ncbi.nlm.nih.gov/pmc/blobs/c95f/7888174/9d9a0cf7bf13/41065_2021_171_Fig10_HTML.jpg

相似文献

1
Performance comparison of four types of target enrichment baits for exome DNA sequencing.四种外显子 DNA 测序目标富集探针的性能比较。
Hereditas. 2021 Feb 17;158(1):10. doi: 10.1186/s41065-021-00171-3.
2
Performance comparison of four exome capture systems for deep sequencing.四种外显子捕获系统用于深度测序的性能比较
BMC Genomics. 2014 Jun 9;15(1):449. doi: 10.1186/1471-2164-15-449.
3
Performance comparison of four commercial human whole-exome capture platforms.四种商用人类全外显子捕获平台的性能比较
Sci Rep. 2015 Aug 3;5:12742. doi: 10.1038/srep12742.
4
Comparison and evaluation of two exome capture kits and sequencing platforms for variant calling.两种外显子捕获试剂盒和测序平台用于变异检测的比较与评估
BMC Genomics. 2015 Aug 5;16(1):581. doi: 10.1186/s12864-015-1796-6.
5
Comprehensive comparison of three commercial human whole-exome capture platforms.三种商业全外显子组捕获平台的综合比较
Genome Biol. 2011 Sep 28;12(9):R95. doi: 10.1186/gb-2011-12-9-r95.
6
New insights into the performance of human whole-exome capture platforms.人类全外显子捕获平台性能的新见解。
Nucleic Acids Res. 2015 Jun 23;43(11):e76. doi: 10.1093/nar/gkv216. Epub 2015 Mar 27.
7
Generating RNA Baits for Capture-Based Enrichment.生成用于基于捕获的富集的RNA诱饵。
Methods Mol Biol. 2019;1963:107-120. doi: 10.1007/978-1-4939-9176-1_12.
8
Comparison of solution-based exome capture methods for next generation sequencing.基于溶液的外显子组捕获方法在下一代测序中的比较。
Genome Biol. 2011 Sep 28;12(9):R94. doi: 10.1186/gb-2011-12-9-r94.
9
Comparison of commercially available target enrichment methods for next-generation sequencing.用于下一代测序的市售目标富集方法比较
J Biomol Tech. 2013 Jul;24(2):73-86. doi: 10.7171/jbt.13-2402-002.
10
A new massively parallel nanoball sequencing platform for whole exome research.一种用于全外显子研究的新型大规模平行纳米球测序平台。
BMC Bioinformatics. 2019 Mar 25;20(1):153. doi: 10.1186/s12859-019-2751-3.

引用本文的文献

1
A systematic analysis of contemporary whole exome sequencing capture kits to optimise high-coverage capture of CCDS regions.对当代全外显子组测序捕获试剂盒进行系统分析,以优化CCDS区域的高覆盖率捕获。
NAR Genom Bioinform. 2025 Sep 1;7(3):lqaf115. doi: 10.1093/nargab/lqaf115. eCollection 2025 Sep.
2
Comparative evaluation of DNA and RNA probes for capture-based mitochondrial DNA next-generation sequencing.用于基于捕获的线粒体DNA下一代测序的DNA和RNA探针的比较评估
BMC Biol. 2025 Aug 8;23(1):248. doi: 10.1186/s12915-025-02365-x.
3
GENOMICON-Seq enables realistic simulation of amplicon and exome sequencing for low-frequency mutation detection.

本文引用的文献

1
Shedding light on dark genes: enhanced targeted resequencing by optimizing the combination of enrichment technology and DNA fragment length.揭示暗基因:通过优化富集技术和 DNA 片段长度组合实现增强的靶向重测序。
Sci Rep. 2020 Jun 10;10(1):9424. doi: 10.1038/s41598-020-66331-z.
2
Performance comparison of four commercial human whole-exome capture platforms.四种商用人类全外显子捕获平台的性能比较
Sci Rep. 2015 Aug 3;5:12742. doi: 10.1038/srep12742.
3
Comparison of Exome and Genome Sequencing Technologies for the Complete Capture of Protein-Coding Regions.
GENOMICON-Seq能够对扩增子和外显子测序进行逼真模拟,以检测低频突变。
Sci Rep. 2025 Jul 2;15(1):23003. doi: 10.1038/s41598-025-05267-8.
4
Analytical validation of Aspyre Clinical Test for Lung (Blood): A multiplexed PCR and pyrophosphorolysis-based assay for detecting actionable NSCLC variants in plasma cfDNA and cfRNA.Aspyre肺癌临床检测(血液)的分析验证:一种基于多重PCR和焦磷酸解的检测方法,用于检测血浆游离DNA和游离RNA中可操作的非小细胞肺癌变异体。
J Liq Biopsy. 2025 May 15;8:100298. doi: 10.1016/j.jlb.2025.100298. eCollection 2025 Jun.
5
An advanced 10K SNP panel for genotyping tomato ( L.) via targeted genome sequencing.一种用于通过靶向基因组测序对番茄(L.)进行基因分型的先进10K单核苷酸多态性(SNP)芯片。
Front Plant Sci. 2025 May 21;16:1582241. doi: 10.3389/fpls.2025.1582241. eCollection 2025.
6
Comparative evaluation of four exome enrichment solutions in 2024: Agilent, Roche, Vazyme and Nanodigmbio.2024年四种外显子组富集解决方案的比较评估:安捷伦、罗氏、诺唯赞和纳昂达生物
BMC Genomics. 2025 Jan 27;26(1):76. doi: 10.1186/s12864-024-11196-z.
7
Enhancing Clinical Applications by Evaluation of Sensitivity and Specificity in Whole Exome Sequencing.通过评估全外显子组测序中的敏感性和特异性来增强临床应用。
Int J Mol Sci. 2024 Dec 10;25(24):13250. doi: 10.3390/ijms252413250.
8
Optimizing sequence data analysis using convolution neural network for the prediction of CNV bait positions.使用卷积神经网络优化序列数据分析以预测拷贝数变异(CNV)诱饵位置。
BMC Bioinformatics. 2024 Dec 24;25(1):389. doi: 10.1186/s12859-024-06006-y.
9
Systematic review and meta-analysis of protocols and yield of direct from sputum sequencing of .痰液直接测序方案及产量的系统评价与荟萃分析
bioRxiv. 2024 Dec 4:2024.12.04.625621. doi: 10.1101/2024.12.04.625621.
10
High-fidelity, large-scale targeted profiling of microsatellites.高保真、大规模靶向微卫星分析。
Genome Res. 2024 Aug 20;34(7):1008-1026. doi: 10.1101/gr.278785.123.
用于完整捕获蛋白质编码区域的外显子组测序技术与基因组测序技术的比较
Hum Mutat. 2015 Aug;36(8):815-22. doi: 10.1002/humu.22813. Epub 2015 Jun 11.
4
New insights into the performance of human whole-exome capture platforms.人类全外显子捕获平台性能的新见解。
Nucleic Acids Res. 2015 Jun 23;43(11):e76. doi: 10.1093/nar/gkv216. Epub 2015 Mar 27.
5
Performance comparison of four exome capture systems for deep sequencing.四种外显子捕获系统用于深度测序的性能比较
BMC Genomics. 2014 Jun 9;15(1):449. doi: 10.1186/1471-2164-15-449.
6
A comparative analysis of exome capture.外显子组捕获的比较分析。
Genome Biol. 2011 Sep 29;12(9):R97. doi: 10.1186/gb-2011-12-9-r97.
7
Performance comparison of exome DNA sequencing technologies.外显子组 DNA 测序技术的性能比较。
Nat Biotechnol. 2011 Sep 25;29(10):908-14. doi: 10.1038/nbt.1975.
8
Analyzing and minimizing PCR amplification bias in Illumina sequencing libraries.分析并最小化 Illumina 测序文库中的 PCR 扩增偏倚。
Genome Biol. 2011;12(2):R18. doi: 10.1186/gb-2011-12-2-r18. Epub 2011 Feb 21.
9
Fast and accurate long-read alignment with Burrows-Wheeler transform.基于 Burrows-Wheeler 变换的快速准确长读比对。
Bioinformatics. 2010 Mar 1;26(5):589-95. doi: 10.1093/bioinformatics/btp698. Epub 2010 Jan 15.
10
Genomewide comparison of DNA sequences between humans and chimpanzees.人类与黑猩猩之间DNA序列的全基因组比较。
Am J Hum Genet. 2002 Jun;70(6):1490-7. doi: 10.1086/340787. Epub 2002 Apr 30.