Suppr超能文献

紫杉醇与放射治疗联合用于皮肤血管肉瘤的治疗。

Concurrent paclitaxel and radiation therapy for the treatment of cutaneous angiosarcoma.

作者信息

Roy Amit, Gabani Prashant, Davis Elizabeth J, Oppelt Peter, Merfeld Emily, Keedy Vicky L, Zoberi Imran, Chrisinger John S A, Michalski Jeff M, Van Tine Brian, Spraker Matthew B

机构信息

Department of Radiation Oncology, Washington University School of Medicine, 4921 Parkview Place, St. Louis, MO 63110, United States.

Baylor Scott and White Health Cancer Center, 300 University Blvd., Bldg. A, Round Rock, TX 78665, United States.

出版信息

Clin Transl Radiat Oncol. 2021 Jan 28;27:114-120. doi: 10.1016/j.ctro.2021.01.009. eCollection 2021 Mar.

Abstract

INTRODUCTION

We compared clinical outcomes in patients with cutaneous angiosarcoma receiving concurrent paclitaxel-based chemoradiotherapy (CRT) vs. other modalities (Non-CRT).

MATERIALS AND METHODS

Patients with non-metastatic cutaneous angiosarcoma diagnosed from 1998 to 2018 at two institutions were identified. In the CRT cohort, paclitaxel 80 mg/m weekly was given for up to 12 weeks and patients received radiotherapy (RT) during the final 6 weeks of chemotherapy. The RT dose was 50-50.4 Gy delivered in 1.8-2 Gy per fraction with an optional post-operative boost of 10-16 Gy. Kaplan-Meier and log-rank statistics were used to compare the outcomes between the two groups.  < 0.05 was considered statistically significant.

RESULTS

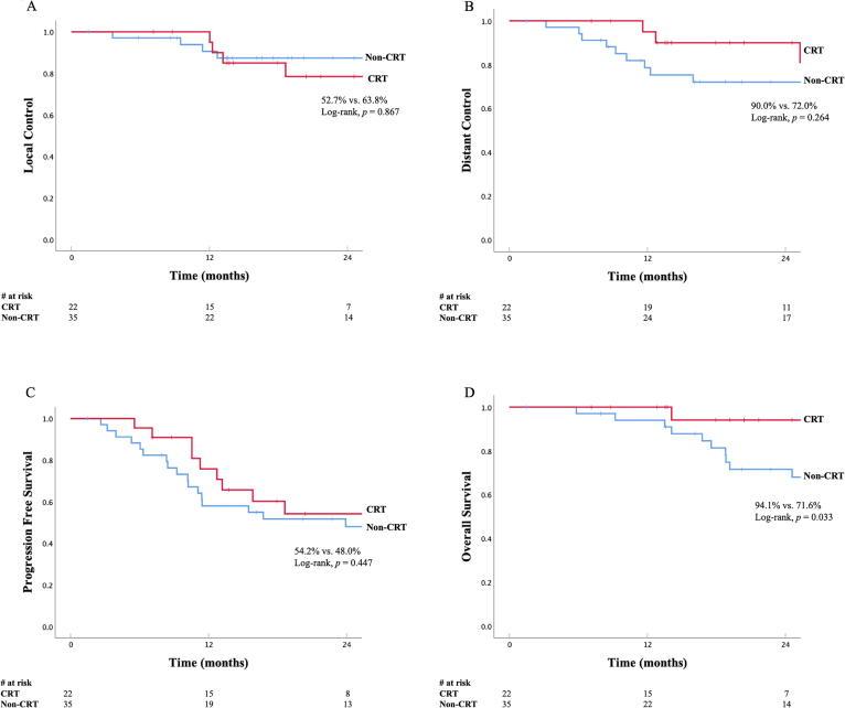
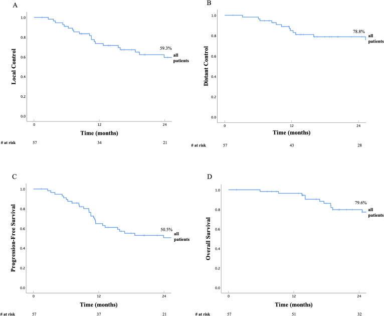
Fifty-seven patients were included: 22 CRT and 35 Non-CRT. The CRT cohort had more patients > 60 years (100% vs. 60%, p < 0.001) and tumors >5 cm (68.2% vs 54.3%,  = 0.023). The median follow-up was 25.8 (1.5-155.2) months. There was no significant difference in 2-year local control (LC), distant control (DC), or progression-free survival (PFS) between the two groups. The 2-year overall survival (OS) was significantly higher for the CRT cohort (94.1% vs. 71.6%,  = 0.033). Amongst the subset of patients in the CRT cohort who received trimodality therapy, the 2-year LC, DC, PFS, and OS was 68.6%, 100%, 68.6%, and 100%, respectively.

CONCLUSION

The use of concurrent paclitaxel CRT demonstrates promising outcomes. Given these results, we are currently evaluating the safety and efficacy of this regimen in prospective, phase 2 trial (NCT03921008).

摘要

引言

我们比较了接受基于紫杉醇的同步放化疗(CRT)与其他治疗方式(非CRT)的皮肤血管肉瘤患者的临床结局。

材料与方法

确定了1998年至2018年在两家机构诊断为非转移性皮肤血管肉瘤的患者。在CRT队列中,每周给予紫杉醇80mg/m²,最多12周,患者在化疗的最后6周接受放疗(RT)。放疗剂量为50-50.4Gy,每次分割剂量为1.8-2Gy,术后可选择追加10-16Gy的剂量。采用Kaplan-Meier法和对数秩检验统计方法比较两组的结局。P<0.05被认为具有统计学意义。

结果

共纳入57例患者:22例接受CRT,35例接受非CRT。CRT队列中年龄>60岁的患者更多(100%对60%,P<0.001),肿瘤>5cm的患者也更多(68.2%对54.3%,P=0.023)。中位随访时间为25.8(1.5-155.2)个月。两组在2年局部控制(LC)、远处控制(DC)或无进展生存期(PFS)方面无显著差异。CRT队列的2年总生存期(OS)显著更高(94.1%对71.6%,P=0.033)。在接受三联疗法的CRT队列患者亚组中,2年LC、DC、PFS和OS分别为68.6%、100%、68.6%和100%。

结论

同步使用紫杉醇CRT显示出有前景的结局。鉴于这些结果,我们目前正在一项前瞻性2期试验(NCT03921008)中评估该方案的安全性和有效性。

https://cdn.ncbi.nlm.nih.gov/pmc/blobs/744e/7876514/5805d5bdf96e/gr1.jpg

文献检索

告别复杂PubMed语法,用中文像聊天一样搜索,搜遍4000万医学文献。AI智能推荐,让科研检索更轻松。

立即免费搜索

文件翻译

保留排版,准确专业,支持PDF/Word/PPT等文件格式,支持 12+语言互译。

免费翻译文档

深度研究

AI帮你快速写综述,25分钟生成高质量综述,智能提取关键信息,辅助科研写作。

立即免费体验