• 文献检索
  • 文档翻译
  • 深度研究
  • 学术资讯
  • Suppr Zotero 插件Zotero 插件
  • 邀请有礼
  • 套餐&价格
  • 历史记录
应用&插件
Suppr Zotero 插件Zotero 插件浏览器插件Mac 客户端Windows 客户端微信小程序
定价
高级版会员购买积分包购买API积分包
服务
文献检索文档翻译深度研究API 文档MCP 服务
关于我们
关于 Suppr公司介绍联系我们用户协议隐私条款
关注我们

Suppr 超能文献

核心技术专利:CN118964589B侵权必究
粤ICP备2023148730 号-1Suppr @ 2026

文献检索

告别复杂PubMed语法,用中文像聊天一样搜索,搜遍4000万医学文献。AI智能推荐,让科研检索更轻松。

立即免费搜索

文件翻译

保留排版,准确专业,支持PDF/Word/PPT等文件格式,支持 12+语言互译。

免费翻译文档

深度研究

AI帮你快速写综述,25分钟生成高质量综述,智能提取关键信息,辅助科研写作。

立即免费体验

1436 名奥登塞儿童队列研究女性孕期中全氟烷基物质暴露与血压的关系。

Exposure to perfluoroalkyl substances and blood pressure in pregnancy among 1436 women from the Odense Child Cohort.

机构信息

Department of Molecular Epidemiology, German Institute of Human Nutrition Potsdam-Rehbrücke, Nuthetal, Germany; German Center for Diabetes Research München-Neuherberg, Germany; DZHK (German Centre for Cardiovascular Research), Partner Site Berlin, Berlin, Germany.

Institute of Clinical Research, Faculty of Health Sciences, University of Southern Denmark, Odense, Denmark; Department of Obstetrics and Gynecology, Odense University Hospital, Odense, Denmark.

出版信息

Environ Int. 2021 Jun;151:106442. doi: 10.1016/j.envint.2021.106442. Epub 2021 Feb 17.

DOI:10.1016/j.envint.2021.106442
PMID:33610053
原文链接:https://pmc.ncbi.nlm.nih.gov/articles/PMC11149831/
Abstract

BACKGROUND

Previous studies of association between exposure to poly- and perfluoroalkyl substances (PFAS) and gestational hypertension (GH) and preeclampsia (PE) have shown conflicting results, but most dichotomized outcome and did not study continuous blood pressure (BP) changes.

OBJECTIVES

To study the association between PFAS exposure in early pregnancy and maternal BP trajectories in pregnancy, gestational hypertension and preeclampsia.

METHODS

1436 women were enrolled in the Odense Child Cohort in early pregnancy and had a serum sample drawn, from which perfluorohexane sulfonic acid (PFHxS), perfluorooctane sulfonic acid (PFOS), perfluorooctanoic acid (PFOA), perfluorononanoic acid (PFNA) and perfluorodecanoic acid (PFDA) were measured using LC-MS/MS. Repeated BP measurements through pregnancy and information on PE were obtained from hospital files. Adjusted linear mixed models were used to investigate association between PFAS exposure and BP trajectory. Associations between PFAS and PE and GH were assessed by Cox proportional hazards model.

RESULTS

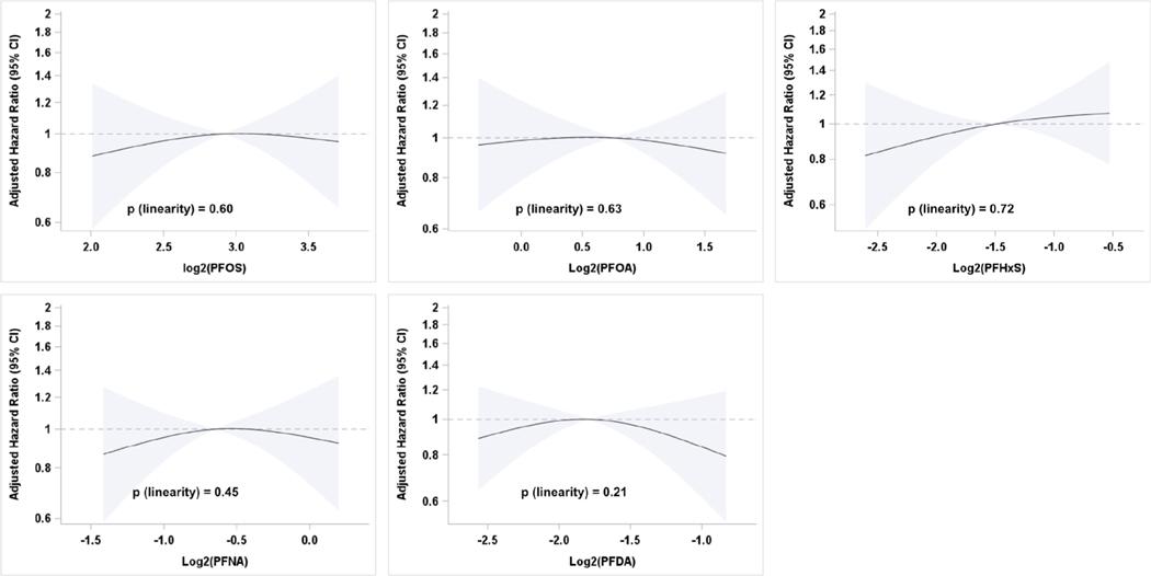
All women had measurable concentrations of PFAS. In all of many comparisons higher PFAS exposure (apart from PFHxS) was associated with higher systolic (SBP) and diastolic (DBP) blood pressures, although not all were significant, which is unlikely to be due to chance. After adjustment, each doubling in PFOS or PFOA exposure was associated with 0.47 mmHg (95% CI: -0.13; 1.08) and 0.36 mmHg (-0.19; 0.92) higher SBP; and 0.58 mmHg (0.13; 1.04) and 0.37 mmHg (-0.05; 0.79) higher DBP. No clear associations between PFAS exposure and PE or GH were found.

DISCUSSION

The magnitude of the association between PFAS exposure and BP might appear small, statistically non-significant and the possible clinical importance low. However, at a population level this may slightly shift the distribution of BP towards an increased incidence of GH. If BP increases in pregnancy, it may have long-term impact on health not only of the pregnant woman but also of her offspring.

摘要

背景

先前关于多氟和全氟烷基物质(PFAS)暴露与妊娠高血压(GH)和子痫前期(PE)之间关联的研究结果相互矛盾,但大多数研究将结局二分法处理,并未研究连续血压(BP)变化。

目的

研究妊娠早期 PFAS 暴露与孕妇妊娠期间 BP 轨迹、妊娠高血压和子痫前期之间的关系。

方法

1436 名妇女在妊娠早期参加了奥登塞儿童队列研究,并抽取了血清样本,采用 LC-MS/MS 测定了其中的全氟己烷磺酸(PFHxS)、全氟辛烷磺酸(PFOS)、全氟辛酸(PFOA)、全氟壬酸(PFNA)和全氟癸酸(PFDA)的含量。通过妊娠期间多次 BP 测量和医院病历获得 PE 相关信息。采用调整后的线性混合模型来研究 PFAS 暴露与 BP 轨迹之间的关系。采用 Cox 比例风险模型评估 PFAS 与 PE 和 GH 的关系。

结果

所有女性的 PFAS 浓度均有可测量值。在许多比较中,较高的 PFAS 暴露(PFHxS 除外)与较高的收缩压(SBP)和舒张压(DBP)相关,尽管并非所有结果均具有统计学意义,但这不太可能是由于偶然因素造成的。调整后,PFOS 或 PFOA 暴露每增加一倍,SBP 分别增加 0.47mmHg(95%CI:-0.13;1.08)和 0.36mmHg(-0.19;0.92);DBP 分别增加 0.58mmHg(0.13;1.04)和 0.37mmHg(-0.05;0.79)。未发现 PFAS 暴露与 PE 或 GH 之间存在明确关联。

讨论

PFAS 暴露与 BP 之间的关联幅度可能看起来较小,统计学上无显著性,潜在的临床重要性较低。然而,从人群水平来看,这可能会使 GH 的发病率略升高,BP 分布向更高的方向移动。如果妊娠期间 BP 升高,不仅会对孕妇,还会对其后代的健康产生长期影响。

https://cdn.ncbi.nlm.nih.gov/pmc/blobs/5f8d/11149831/ee692b7077bd/nihms-1864707-f0002.jpg
https://cdn.ncbi.nlm.nih.gov/pmc/blobs/5f8d/11149831/ade56ef4af61/nihms-1864707-f0001.jpg
https://cdn.ncbi.nlm.nih.gov/pmc/blobs/5f8d/11149831/ee692b7077bd/nihms-1864707-f0002.jpg
https://cdn.ncbi.nlm.nih.gov/pmc/blobs/5f8d/11149831/ade56ef4af61/nihms-1864707-f0001.jpg
https://cdn.ncbi.nlm.nih.gov/pmc/blobs/5f8d/11149831/ee692b7077bd/nihms-1864707-f0002.jpg

相似文献

1
Exposure to perfluoroalkyl substances and blood pressure in pregnancy among 1436 women from the Odense Child Cohort.1436 名奥登塞儿童队列研究女性孕期中全氟烷基物质暴露与血压的关系。
Environ Int. 2021 Jun;151:106442. doi: 10.1016/j.envint.2021.106442. Epub 2021 Feb 17.
2
Prenatal and early postnatal exposure to perfluoroalkyl substances and bone mineral content and density in the Odense Child Cohort.产前和产后早期暴露于全氟烷基物质与奥登塞儿童队列的骨矿物质含量和密度。
Environ Int. 2023 Nov;181:108264. doi: 10.1016/j.envint.2023.108264. Epub 2023 Oct 13.
3
Higher free thyroxine associated with PFAS exposure in first trimester. The Odense Child Cohort.孕早期游离甲状腺素升高与全氟和多氟烷基物质暴露有关。奥登塞儿童队列研究。
Environ Res. 2022 Sep;212(Pt D):113492. doi: 10.1016/j.envres.2022.113492. Epub 2022 May 18.
4
Prenatal and early postnatal exposure to perfluoroalkyl substances and bone mineral content and density in the Odense child cohort.欧登塞儿童队列中产前和产后早期暴露于全氟烷基物质与骨矿物质含量及密度的关系
Environ Int. 2022 Sep;167:107417. doi: 10.1016/j.envint.2022.107417. Epub 2022 Jul 16.
5
[Determination of seven perfluoroalkyl and polyfluoroalkyl substances in serum of pregnant women and evaluation of neonatal neurobehavior based on high performance liquid chromatography-tandem mass spectrometry].基于高效液相色谱-串联质谱法测定孕妇血清中七种全氟烷基和多氟烷基物质并评估新生儿神经行为
Se Pu. 2024 Feb;42(2):194-202. doi: 10.3724/SP.J.1123.2023.07022.
6
Association between prenatal or early postnatal exposure to perfluoroalkyl substances and language development in 18 to 36-month-old children from the Odense Child Cohort.孕期或产后早期接触全氟烷基物质与奥登塞儿童队列中 18 至 36 个月大儿童语言发育的关系。
Environ Health. 2023 May 30;22(1):46. doi: 10.1186/s12940-023-00993-w.
7
Prenatal perfluoroalkyl substances exposure and maternal sex steroid hormones across pregnancy.孕期内全氟烷基物质暴露与母体内性激素水平。
Environ Res. 2023 Mar 1;220:115233. doi: 10.1016/j.envres.2023.115233. Epub 2023 Jan 5.
8
Association of perfluoroalkyl substances with gestational hypertension and preeclampsia in the MIREC study.MIREC 研究中全氟烷基物质与妊娠高血压和子痫前期的关联。
Environ Int. 2020 Aug;141:105789. doi: 10.1016/j.envint.2020.105789. Epub 2020 May 11.
9
Early-life exposure to perfluoroalkyl substances and serum antibody concentrations towards common childhood vaccines in 18-month-old children in the Odense Child Cohort.欧登塞儿童队列研究中18个月大儿童早期接触全氟烷基物质与针对常见儿童疫苗的血清抗体浓度
Environ Res. 2024 Feb 1;242:117814. doi: 10.1016/j.envres.2023.117814. Epub 2023 Dec 1.
10
Associations of perfluoroalkyl and polyfluoroalkyl substances with gestational hypertension and blood pressure during pregnancy: A cohort study.全氟烷基和多氟烷基物质与妊娠期高血压及孕期血压的关联:一项队列研究。
Environ Res. 2022 Dec;215(Pt 2):114284. doi: 10.1016/j.envres.2022.114284. Epub 2022 Sep 8.

引用本文的文献

1
Visceral, Neural, and Immunotoxicity of Per- and Polyfluoroalkyl Substances: A Mini Review.全氟和多氟烷基物质的内脏、神经及免疫毒性:一篇综述短文
Toxics. 2025 Jul 31;13(8):658. doi: 10.3390/toxics13080658.
2
Individual and mixtures of PFAS during pregnancy are associated with maternal cardiometabolic outcomes during pregnancy.孕期接触全氟和多氟烷基物质(PFAS)的个体及混合物与孕期母体心脏代谢结局相关。
Environ Health. 2025 Apr 30;24(1):26. doi: 10.1186/s12940-025-01181-8.
3
Unveiling the Research Void: Exploring the Reproductive Effects of PFAS Compounds on Male Health.

本文引用的文献

1
Risk to human health related to the presence of perfluoroalkyl substances in food.食品中全氟烷基物质的存在对人类健康的风险。
EFSA J. 2020 Sep 17;18(9):e06223. doi: 10.2903/j.efsa.2020.6223. eCollection 2020 Sep.
2
Early life exposure to per- and polyfluoroalkyl substances (PFAS) and latent health outcomes: A review including the placenta as a target tissue and possible driver of peri- and postnatal effects.早期接触全氟和多氟烷基物质(PFAS)与潜在健康后果:综述包括胎盘作为靶组织和围产期及产后影响的可能驱动因素。
Toxicology. 2020 Oct;443:152565. doi: 10.1016/j.tox.2020.152565. Epub 2020 Aug 27.
3
Pregnancy Per- and Polyfluoroalkyl Substance Concentrations and Postpartum Health in Project Viva: A Prospective Cohort.
揭示研究空白:探索全氟和多氟烷基化合物对男性健康的生殖影响。
Adv Exp Med Biol. 2025;1469:127-162. doi: 10.1007/978-3-031-82990-1_7.
4
Maternal perfluoroalkyl and polyfluoroalkyl substances (PFAS) exposure and preeclampsia: a systematic review and meta-analysis.母体全氟烷基和多氟烷基物质(PFAS)暴露与子痫前期:一项系统综述和荟萃分析。
BMC Pregnancy Childbirth. 2025 Mar 13;25(1):279. doi: 10.1186/s12884-025-07366-w.
5
Prenatal per- and polyfluoroalkyl substances and blood pressure trajectories in the New Hampshire Birth Cohort Study.新罕布什尔州出生队列研究中的产前全氟和多氟烷基物质与血压轨迹
Int J Hyg Environ Health. 2025 May;266:114556. doi: 10.1016/j.ijheh.2025.114556. Epub 2025 Mar 8.
6
Per- and Polyfluoroalkyl Substances and Outcomes Related to Metabolic Syndrome: A Review of the Literature and Current Recommendations for Clinicians.全氟和多氟烷基物质与代谢综合征相关结局:文献综述及对临床医生的当前建议
Am J Lifestyle Med. 2023 Mar 15;19(2):211-229. doi: 10.1177/15598276231162802. eCollection 2025 Feb.
7
Perfluoroalkyl substances (PFAS) exposure and preeclampsia risk: Impaired angiogenesis through suppression of VEGF signaling.全氟烷基物质(PFAS)暴露与子痫前期风险:通过抑制VEGF信号传导导致血管生成受损。
Reprod Toxicol. 2025 Mar;132:108827. doi: 10.1016/j.reprotox.2024.108827. Epub 2024 Dec 26.
8
Per- and polyfluoroalkyl substances (PFAS) and hypertensive disorders of Pregnancy- integration of epidemiological and mechanistic evidence.全氟和多氟烷基物质(PFAS)与妊娠期高血压疾病——流行病学证据与机制证据的整合
Reprod Toxicol. 2024 Dec;130:108702. doi: 10.1016/j.reprotox.2024.108702. Epub 2024 Aug 31.
9
First trimester plasma PER- AND Polyfluoroalkyl Substances (PFAS) and blood pressure trajectories across the second and third trimesters of pregnancy.孕早期血浆全氟和多氟烷基物质(PFAS)与妊娠中期和晚期的血压轨迹。
Environ Int. 2024 Apr;186:108628. doi: 10.1016/j.envint.2024.108628. Epub 2024 Apr 3.
10
Perfluoroalkyl substances in umbilical cord blood and blood pressure in offspring: a prospective cohort study.脐带血中全氟烷基物质与后代血压:一项前瞻性队列研究。
Environ Health. 2023 Oct 19;22(1):72. doi: 10.1186/s12940-023-01023-5.
项目 Viva 中孕期和多氟烷基物质浓度与产后健康:一项前瞻性队列研究。
J Clin Endocrinol Metab. 2020 Sep 1;105(9):e3415-26. doi: 10.1210/clinem/dgaa431.
4
Per- and Polyfluoroalkyl Substances in Early Pregnancy and Risk for Preeclampsia: A Case-Control Study in Southern Sweden.孕早期的全氟和多氟烷基物质与子痫前期风险:瑞典南部的一项病例对照研究
Toxics. 2020 Jun 16;8(2):43. doi: 10.3390/toxics8020043.
5
Blood Pressure and Angiogenic Markers in Pregnancy: Contributors to Pregnancy-Induced Hypertension and Offspring Cardiovascular Risk.妊娠血压与血管生成标志物:妊娠高血压的致病因素及其对子代心血管风险的影响。
Hypertension. 2020 Sep;76(3):901-909. doi: 10.1161/HYPERTENSIONAHA.119.13966. Epub 2020 Jun 8.
6
Association of perfluoroalkyl substances with gestational hypertension and preeclampsia in the MIREC study.MIREC 研究中全氟烷基物质与妊娠高血压和子痫前期的关联。
Environ Int. 2020 Aug;141:105789. doi: 10.1016/j.envint.2020.105789. Epub 2020 May 11.
7
Perfluoroalkyl substances in early pregnancy and risk of hypertensive disorders of pregnancy: A prospective cohort study.早孕期全氟烷基物质暴露与妊娠高血压疾病风险:一项前瞻性队列研究。
Environ Int. 2020 May;138:105656. doi: 10.1016/j.envint.2020.105656. Epub 2020 Mar 27.
8
Per- and polyfluoroalkyl substances and blood pressure in pre-diabetic adults-cross-sectional and longitudinal analyses of the diabetes prevention program outcomes study.糖尿病前期成年人的全氟和多氟烷基物质与血压——糖尿病预防计划结局研究的横断面和纵向分析
Environ Int. 2020 Apr;137:105573. doi: 10.1016/j.envint.2020.105573. Epub 2020 Feb 20.
9
Association between prenatal exposure to perfluoroalkyl substances and asthma in 5-year-old children in the Odense Child Cohort.产前暴露于全氟烷基物质与奥登塞儿童队列中 5 岁儿童哮喘的关系。
Environ Health. 2019 Nov 15;18(1):97. doi: 10.1186/s12940-019-0541-z.
10
Early pregnancy serum levels of perfluoroalkyl substances and risk of preeclampsia in Swedish women.瑞典女性妊娠早期血清中全氟烷基物质水平与子痫前期风险的关系。
Sci Rep. 2019 Jun 24;9(1):9179. doi: 10.1038/s41598-019-45483-7.