Suppr超能文献

急性脑震荡后战斗训练中美国军校学员血液生物标志物特征评估:NCAA 和美国国防部 CARE 联盟的前瞻性研究。

Assessment of Blood Biomarker Profile After Acute Concussion During Combative Training Among US Military Cadets: A Prospective Study From the NCAA and US Department of Defense CARE Consortium.

机构信息

Department of Neurosurgery, UCLA Steve Tisch BrainSPORT Program, University of California, Los Angeles, Los Angeles.

Department of Pediatrics, UCLA Steve Tisch BrainSPORT Program, University of California, Los Angeles, Los Angeles.

出版信息

JAMA Netw Open. 2021 Feb 1;4(2):e2037731. doi: 10.1001/jamanetworkopen.2020.37731.

Abstract

IMPORTANCE

Validation of protein biomarkers for concussion diagnosis and management in military combative training is important, as these injuries occur outside of traditional health care settings and are generally difficult to diagnose.

OBJECTIVE

To investigate acute blood protein levels in military cadets after combative training-associated concussions.

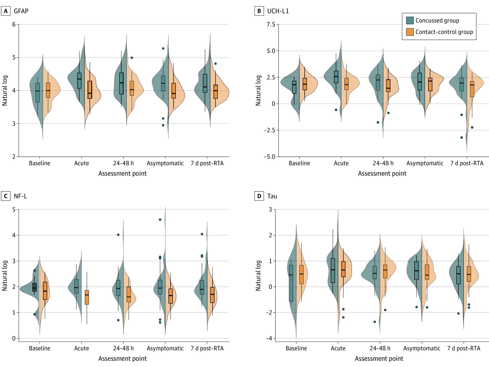
DESIGN, SETTING, AND PARTICIPANTS: This multicenter prospective case-control study was part of a larger cohort study conducted by the National Collegiate Athletic Association and the US Department of Defense Concussion Assessment Research and Education (CARE) Consortium from February 20, 2015, to May 31, 2018. The study was performed among cadets from 2 CARE Consortium Advanced Research Core sites: the US Military Academy at West Point and the US Air Force Academy. Cadets who incurred concussions during combative training (concussion group) were compared with cadets who participated in the same combative training exercises but did not incur concussions (contact-control group). Clinical measures and blood sample collection occurred at baseline, the acute postinjury point (<6 hours), the 24- to 48-hour postinjury point, the asymptomatic postinjury point (defined as the point at which the cadet reported being asymptomatic and began the return-to-activity protocol), and 7 days after return to activity. Biomarker levels and estimated mean differences in biomarker levels were natural log (ln) transformed to decrease the skewness of their distributions. Data were collected from August 1, 2016, to May 31, 2018, and analyses were conducted from March 1, 2019, to January 14, 2020.

EXPOSURE

Concussion incurred during combative training.

MAIN OUTCOMES AND MEASURES

Proteins examined included glial fibrillary acidic protein, ubiquitin C-terminal hydrolase-L1, neurofilament light chain, and tau. Quantification was conducted using a multiplex assay (Simoa; Quanterix Corp). Clinical measures included the Sport Concussion Assessment Tool-Third Edition symptom severity evaluation, the Standardized Assessment of Concussion, the Balance Error Scoring System, and the 18-item Brief Symptom Inventory.

RESULTS

Among 103 military service academy cadets, 67 cadets incurred concussions during combative training, and 36 matched cadets who engaged in the same training exercises did not incur concussions. The mean (SD) age of cadets in the concussion group was 18.6 (1.3) years, and 40 cadets (59.7%) were male. The mean (SD) age of matched cadets in the contact-control group was 19.5 (1.3) years, and 25 cadets (69.4%) were male. Compared with cadets in the contact-control group, those in the concussion group had significant increases in glial fibrillary acidic protein (mean difference in ln values, 0.34; 95% CI, 0.18-0.50; P < .001) and ubiquitin C-terminal hydrolase-L1 (mean difference in ln values, 0.97; 95% CI, 0.44-1.50; P < .001) levels at the acute postinjury point. The glial fibrillary acidic protein level remained high in the concussion group compared with the contact-control group at the 24- to 48-hour postinjury point (mean difference in ln values, 0.22; 95% CI, 0.06-0.38; P = .007) and the asymptomatic postinjury point (mean difference in ln values, 0.21; 95% CI, 0.05-0.36; P = .01). The area under the curve for all biomarkers combined, which was used to differentiate cadets in the concussion and contact-control groups, was 0.80 (95% CI, 0.68-0.93; P < .001) at the acute postinjury point.

CONCLUSIONS AND RELEVANCE

This study's findings indicate that blood biomarkers have potential for use as research tools to better understand the pathobiological changes associated with concussion and to assist with injury identification and recovery from combative training-associated concussions among military service academy cadets. These results extend the previous findings of studies of collegiate athletes with sport-associated concussions.

摘要

重要性

验证与军事格斗训练相关的脑震荡的蛋白质生物标志物的诊断和管理具有重要意义,因为这些损伤发生在传统医疗保健环境之外,通常难以诊断。

目的

调查军事学员在格斗训练相关脑震荡后急性血液蛋白水平。

设计、地点和参与者:这项多中心前瞻性病例对照研究是由美国大学体育协会和美国国防部脑震荡评估研究和教育 (CARE) 联合会进行的更大队列研究的一部分,从 2015 年 2 月 20 日至 2018 年 5 月 31 日。该研究在 CARE 联合会的两个高级研究核心地点的学员中进行:美国西点军校和美国空军学院。在格斗训练中遭受脑震荡的学员(脑震荡组)与参加相同格斗训练但未遭受脑震荡的学员(接触对照组)进行比较。临床测量和血液样本采集在基线、受伤后<6 小时的急性点、24-48 小时后急性点、受伤后无症状点(定义为学员报告无症状并开始恢复活动方案的点)和活动后 7 天进行。生物标志物水平和生物标志物水平的估计平均差异进行自然对数 (ln) 转换,以减少其分布的偏度。数据收集于 2016 年 8 月 1 日至 2018 年 5 月 31 日,分析于 2019 年 3 月 1 日至 2020 年 1 月 14 日进行。

暴露

格斗训练中遭受的脑震荡。

主要结果和措施

检查的蛋白质包括神经胶质纤维酸性蛋白、泛素 C 端水解酶 L1、神经丝轻链和 tau。使用 Simoa(Quanterix 公司)进行定量分析。临床测量包括运动性脑震荡评估工具第三版症状严重程度评估、标准化脑震荡评估、平衡错误评分系统和 18 项简明症状问卷。

结果

在 103 名军事学院学员中,67 名学员在格斗训练中遭受脑震荡,36 名参加相同训练的学员未遭受脑震荡。脑震荡组学员的平均(标准差)年龄为 18.6(1.3)岁,40 名学员(59.7%)为男性。接触对照组学员的平均(标准差)年龄为 19.5(1.3)岁,25 名学员(69.4%)为男性。与接触对照组学员相比,脑震荡组学员在受伤后急性点时神经胶质纤维酸性蛋白(ln 值差异的平均值,0.34;95%CI,0.18-0.50;P<.001)和泛素 C 端水解酶 L1(ln 值差异的平均值,0.97;95%CI,0.44-1.50;P<.001)水平显著升高。与接触对照组相比,脑震荡组学员在受伤后 24-48 小时(ln 值差异的平均值,0.22;95%CI,0.06-0.38;P=.007)和受伤后无症状点(ln 值差异的平均值,0.21;95%CI,0.05-0.36;P=.01)时,神经胶质纤维酸性蛋白水平仍较高。所有生物标志物联合的曲线下面积,用于区分脑震荡组和接触对照组学员,在受伤后急性点时为 0.80(95%CI,0.68-0.93;P<.001)。

结论和相关性

这项研究的结果表明,血液生物标志物具有作为研究工具的潜力,可以更好地了解与脑震荡相关的病理生理变化,并协助军事学院学员格斗训练相关脑震荡的损伤识别和康复。这些结果扩展了之前对运动相关脑震荡的大学生研究的发现。

https://cdn.ncbi.nlm.nih.gov/pmc/blobs/4897/7900866/077d4c1198df/jamanetwopen-e2037731-g001.jpg

文献AI研究员

20分钟写一篇综述,助力文献阅读效率提升50倍。

立即体验

用中文搜PubMed

大模型驱动的PubMed中文搜索引擎

马上搜索

文档翻译

学术文献翻译模型,支持多种主流文档格式。

立即体验