Suppr超能文献

自我辅助患侧肩部抬高联合平衡训练对慢性脑卒中患者上肢连带反应和步行功能的影响:一项随机对照试验。

Effects of Self-Assisted Shoulder Elevation of the Affected Side Combined with Balance Training on Associated Reactions of Upper Limb and Walking Function in Chronic Stroke Patients: A Randomized Controlled Trial.

机构信息

Department of Rehabilitation Medicine, Suzhou Vocational Health College, Suzhou, Jiangsu, China (mainland).

Department of Rehabilitation Medicine, The Affiliated Suzhou Science and Technology Town Hospital of Nanjing Medical University, Suzhou, Jiangsu, China (mainland).

出版信息

Med Sci Monit. 2021 Feb 24;27:e928549. doi: 10.12659/MSM.928549.

Abstract

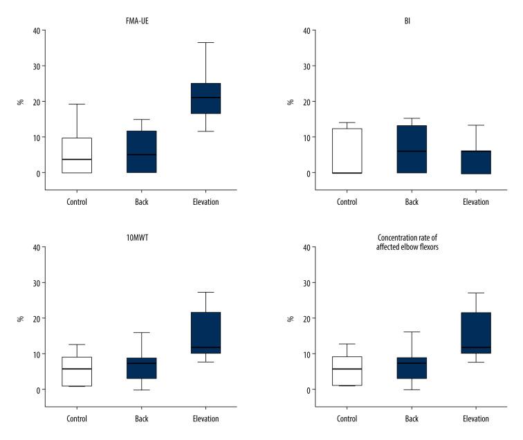
BACKGROUND Associated reactions of the upper limb are frequently seen in stroke patients, especially during dynamic activities, such as walking. The aim of this study was to assess the effect of a method to inhibit the affected upper limb flexors combined with balance training on associated reactions of the affected upper limb and walking function in chronic stroke patients. MATERIAL AND METHODS 60 patients were randomly allocated into 3 groups (n=20 per group): control group (no upper limb intervention), back group (the unaffected hand assists the affected upper limb in the low back and keep it in an extended position) and shoulder elevation group using the inhibition method (the unaffected hand assists the affected shoulder to elevate above 90°). Before and after the four-week balance training, the surface electromyography was used to evaluate the rate of contraction of affected elbow flexors. Fugl-Meyer Assessment of Upper Extremity (FMA-UE), 10 Meter Walking Test (10MWT) and Barthel Index (BI) were used to measure functional status. RESULTS The shoulder elevation group had significant improvement in the percentage changes in the rate of contraction of the affected elbow flexors, 10WMT and FMA-UE (p<0.05) compared with back group and control group. We found no significant difference of 10WMT and FMA-UE between back group and control group. CONCLUSIONS The combination of the new inhibition method and the standing balance training could reduce the abnormal activity of affected elbow flexors during walking, increase walking speed, and improve the affected upper limb motor function.

摘要

背景

上肢相关反应在脑卒中患者中很常见,尤其是在动态活动中,如行走。本研究旨在评估一种抑制患侧上肢屈肌并结合平衡训练的方法对慢性脑卒中患者患侧上肢相关反应和行走功能的影响。

材料与方法

将 60 名患者随机分为 3 组(每组 20 名):对照组(无上肢干预)、背部组(健手辅助患侧上肢置于腰部并保持伸展位)和肩部抬高组(采用抑制法,健手辅助患侧肩部抬高至 90°以上)。在四周平衡训练前后,采用表面肌电图评估患侧肘屈肌收缩率。采用 Fugl-Meyer 上肢评估量表(FMA-UE)、10 米步行测试(10MWT)和 Barthel 指数(BI)评估功能状态。

结果

与背部组和对照组相比,肩部抬高组患侧肘屈肌收缩率、10MWT 和 FMA-UE 的百分比变化均有显著改善(p<0.05)。背部组和对照组之间的 10MWT 和 FMA-UE 无显著差异。

结论

新的抑制方法与站立平衡训练相结合,可减少行走时患侧肘屈肌的异常活动,提高行走速度,改善患侧上肢运动功能。

https://cdn.ncbi.nlm.nih.gov/pmc/blobs/0252/7919230/29ba9c8bd48a/medscimonit-27-e928549-g001.jpg

文献AI研究员

20分钟写一篇综述,助力文献阅读效率提升50倍。

立即体验

用中文搜PubMed

大模型驱动的PubMed中文搜索引擎

马上搜索

文档翻译

学术文献翻译模型,支持多种主流文档格式。

立即体验