• 文献检索
  • 文档翻译
  • 深度研究
  • 学术资讯
  • Suppr Zotero 插件Zotero 插件
  • 邀请有礼
  • 套餐&价格
  • 历史记录
应用&插件
Suppr Zotero 插件Zotero 插件浏览器插件Mac 客户端Windows 客户端微信小程序
定价
高级版会员购买积分包购买API积分包
服务
文献检索文档翻译深度研究API 文档MCP 服务
关于我们
关于 Suppr公司介绍联系我们用户协议隐私条款
关注我们

Suppr 超能文献

核心技术专利:CN118964589B侵权必究
粤ICP备2023148730 号-1Suppr @ 2026

文献检索

告别复杂PubMed语法,用中文像聊天一样搜索,搜遍4000万医学文献。AI智能推荐,让科研检索更轻松。

立即免费搜索

文件翻译

保留排版,准确专业,支持PDF/Word/PPT等文件格式,支持 12+语言互译。

免费翻译文档

深度研究

AI帮你快速写综述,25分钟生成高质量综述,智能提取关键信息,辅助科研写作。

立即免费体验

使用超声检查评估肩峰骨刺。

Evaluation of acromial spur using ultrasonography.

作者信息

Kim Hyungsuk, Choi Syungkyun, Park Soo Bin, Song Hyun Seok

机构信息

Department of Orthopedic Surgery, Eunpyeong St. Mary's Hospital, College of Medicine, The Catholic University of Korea, Seoul, Korea.

出版信息

Clin Shoulder Elb. 2021 Mar;24(1):15-20. doi: 10.5397/cise.2020.00332. Epub 2021 Feb 18.

DOI:10.5397/cise.2020.00332
PMID:33652507
原文链接:https://pmc.ncbi.nlm.nih.gov/articles/PMC7943378/
Abstract

BACKGROUND

The presence of an acromial spur implies a rotator cuff disorder due to impingement between the acromial spur and the rotator cuff. The purpose of the study was to observe acromial spurs using ultrasonography and to compare measurements between plain radiographs and sonograms.

METHODS

We retrospectively enrolled 51 consecutive patients with acromial spurs, which were interpreted on preoperative plain radiographs (supraspinatus outlet view and 30° caudal tilt) and preoperative sonograms. The ultrasonography transducer was held vertically and continuously moved laterally, which corresponded to the long axis of the long head of the biceps. The distance from the most distal margin of the original acromion to the most projected point of the acromial spur was measured.

RESULTS

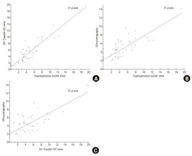
No significant difference was found between the plain radiograph and ultrasonography measurements (p=0.186). A moderate to strong correlation was detected between the ultrasonography and supraspinatus outlet-view measurements (r=0.776, p=0.000).

CONCLUSIONS

Anteriorly projected acromial spurs were well-visualized by ultrasonography. No discrepancy in acromial spur length was detected between the use of plain radiography (supraspinatus outlet view and 30° caudal-tilt view) and ultrasonography. The correlation coefficients between the plain radiography and ultrasonography measurements exceeded 0.7.

摘要

背景

肩峰骨刺的存在意味着肩袖疾病是由肩峰骨刺与肩袖之间的撞击引起的。本研究的目的是使用超声观察肩峰骨刺,并比较X线平片和超声图像的测量结果。

方法

我们回顾性纳入了51例连续的肩峰骨刺患者,这些患者在术前X线平片(冈上肌出口位和尾端倾斜30°位)和术前超声图像上均有诊断。超声探头垂直握持并沿外侧连续移动,该移动方向对应于肱二头肌长头的长轴。测量从原始肩峰最远端边缘到肩峰骨刺最突出点的距离。

结果

X线平片和超声测量结果之间未发现显著差异(p = 0.186)。超声与冈上肌出口位测量结果之间检测到中度至强相关性(r = 0.776,p = 0.000)。

结论

超声能很好地显示向前突出的肩峰骨刺。在使用X线平片(冈上肌出口位和尾端倾斜30°位)和超声测量肩峰骨刺长度时未发现差异。X线平片与超声测量结果之间的相关系数超过0.7。

https://cdn.ncbi.nlm.nih.gov/pmc/blobs/a6af/7943378/793692873527/cise-2020-00332f3.jpg
https://cdn.ncbi.nlm.nih.gov/pmc/blobs/a6af/7943378/b6cd5b11c310/cise-2020-00332f1.jpg
https://cdn.ncbi.nlm.nih.gov/pmc/blobs/a6af/7943378/d44130928380/cise-2020-00332f2.jpg
https://cdn.ncbi.nlm.nih.gov/pmc/blobs/a6af/7943378/793692873527/cise-2020-00332f3.jpg
https://cdn.ncbi.nlm.nih.gov/pmc/blobs/a6af/7943378/b6cd5b11c310/cise-2020-00332f1.jpg
https://cdn.ncbi.nlm.nih.gov/pmc/blobs/a6af/7943378/d44130928380/cise-2020-00332f2.jpg
https://cdn.ncbi.nlm.nih.gov/pmc/blobs/a6af/7943378/793692873527/cise-2020-00332f3.jpg

相似文献

1
Evaluation of acromial spur using ultrasonography.使用超声检查评估肩峰骨刺。
Clin Shoulder Elb. 2021 Mar;24(1):15-20. doi: 10.5397/cise.2020.00332. Epub 2021 Feb 18.
2
Roentgenographic assessment of acromial morphologic condition in rotator cuff impingement syndrome.肩袖撞击综合征中肩峰形态学状况的X线评估
J Shoulder Elbow Surg. 1995 Nov-Dec;4(6):441-8. doi: 10.1016/s1058-2746(05)80036-9.
3
Subacromial impingement anatomy and its association with rotator cuff pathology in women: radiograph and MRI correlation, a retrospective evaluation.女性肩峰下撞击症的解剖结构及其与肩袖病变的关系:X线片与MRI的相关性,一项回顾性评估
Skeletal Radiol. 2019 May;48(5):781-790. doi: 10.1007/s00256-018-3096-0. Epub 2018 Oct 27.
4
The acromion in supraspinatus outlet and Rockwood caudal tilt views from three-dimensional computed tomography scan of the shoulder.肩部三维计算机断层扫描中,棘上肌出口位和Rockwood尾倾位的肩峰。
Asia Pac J Sports Med Arthrosc Rehabil Technol. 2020 Feb 14;20:12-16. doi: 10.1016/j.asmart.2020.02.001. eCollection 2020 Apr.
5
Acromial spur: relationship to aging and morphologic changes in the rotator cuff.肩峰骨刺:与年龄及肩袖形态学变化的关系
J Shoulder Elbow Surg. 2005 Nov-Dec;14(6):591-8. doi: 10.1016/j.jse.2005.03.007.
6
Morphological classification of acromial spur: correlation between Rockwood tilt view and arthroscopic finding.肩峰骨刺的形态学分类:Rockwood倾斜位片与关节镜检查结果的相关性
SICOT J. 2017;3:4. doi: 10.1051/sicotj/2016039. Epub 2017 Jan 11.
7
Acromial angle on radiographs of the shoulder: correlation with the impingement syndrome and rotator cuff tears.肩部X线片上的肩峰角:与撞击综合征和肩袖撕裂的相关性
AJR Am J Roentgenol. 1995 Sep;165(3):609-13. doi: 10.2214/ajr.165.3.7645479.
8
The correlation of supraspinatus outlet view with computed tomography for visualization of the anterior acromial undersurface.用于观察肩峰下表面的冈上肌出口位与计算机断层扫描的相关性。
Eur J Orthop Surg Traumatol. 2018 Feb;28(2):207-212. doi: 10.1007/s00590-017-2036-3. Epub 2017 Sep 20.
9
Does scapular morphology affect the integrity of the rotator cuff?肩胛形态会影响肩袖的完整性吗?
J Shoulder Elbow Surg. 2016 Mar;25(3):413-21. doi: 10.1016/j.jse.2015.09.016. Epub 2015 Dec 2.
10
Acromial structure and tears of the rotator cuff.肩峰结构与肩袖撕裂
J Shoulder Elbow Surg. 1995 Sep-Oct;4(5):376-83. doi: 10.1016/s1058-2746(95)80022-0.

本文引用的文献

1
Effectiveness of Ultrasound in Evaluation of Fatty Infiltration in Rotator Cuff Muscles.超声评估肩袖肌肉脂肪浸润的有效性。
Clin Orthop Surg. 2020 Mar;12(1):76-85. doi: 10.4055/cios.2020.12.1.76. Epub 2020 Feb 13.
2
Accuracy of Preoperative Ultrasonography for Cubital Tunnel Syndrome: A Comparison with Intraoperative Findings.术前超声检查对肘管综合征的准确性:与术中发现的比较。
Clin Orthop Surg. 2018 Sep;10(3):352-357. doi: 10.4055/cios.2018.10.3.352. Epub 2018 Aug 22.
3
Rotator cuff calcific tendinopathy: from diagnosis to treatment.
肩袖钙化性肌腱病:从诊断到治疗
Acta Biomed. 2018 Jan 19;89(1-S):186-196. doi: 10.23750/abm.v89i1-S.7022.
4
Morphological classification of acromial spur: correlation between Rockwood tilt view and arthroscopic finding.肩峰骨刺的形态学分类:Rockwood倾斜位片与关节镜检查结果的相关性
SICOT J. 2017;3:4. doi: 10.1051/sicotj/2016039. Epub 2017 Jan 11.
5
Ultrasound-Guided Percutaneous Irrigation of Calcific Tendinopathy.超声引导下经皮穿刺治疗钙化性肌腱炎
Semin Musculoskelet Radiol. 2016 Nov;20(5):409-413. doi: 10.1055/s-0036-1594285. Epub 2016 Dec 21.
6
Ultrasound evaluation of the subacromial space in healthy subjects performing three different positions of shoulder abduction in both loaded and unloaded conditions.
Phys Ther Sport. 2017 Jan;23:105-112. doi: 10.1016/j.ptsp.2016.08.007. Epub 2016 Aug 12.
7
Ultrasound-guided percutaneous irrigation in rotator cuff calcific tendinopathy: what is the evidence? A systematic review with proposals for future reporting.超声引导下经皮冲洗治疗肩袖钙化性肌腱炎:证据是什么?一项系统评价及对未来报告的建议
Eur Radiol. 2015 Jul;25(7):2176-83. doi: 10.1007/s00330-014-3567-1. Epub 2015 Jan 13.
8
Ultrasonography of fractures in sports medicine.运动医学中的骨折超声检查。
Br J Sports Med. 2015 Feb;49(3):152-60. doi: 10.1136/bjsports-2014-094217. Epub 2014 Dec 24.
9
Use of a thirty-degree caudal tilt radiograph in the shoulder impingement syndrome.三十度尾侧倾斜X线片在肩部撞击综合征中的应用。
J Shoulder Elbow Surg. 1992 Sep;1(5):246-52. doi: 10.1016/S1058-2746(09)80066-9. Epub 2009 Feb 19.
10
Radiographically undetected coracoid fractures diagnosed by sonography. Report of seven cases.超声诊断影像学未能检出的喙突骨折。附 7 例报告。
Skeletal Radiol. 2012 Jun;41(6):693-8. doi: 10.1007/s00256-011-1277-1. Epub 2011 Sep 23.