• 文献检索
  • 文档翻译
  • 深度研究
  • 学术资讯
  • Suppr Zotero 插件Zotero 插件
  • 邀请有礼
  • 套餐&价格
  • 历史记录
应用&插件
Suppr Zotero 插件Zotero 插件浏览器插件Mac 客户端Windows 客户端微信小程序
定价
高级版会员购买积分包购买API积分包
服务
文献检索文档翻译深度研究API 文档MCP 服务
关于我们
关于 Suppr公司介绍联系我们用户协议隐私条款
关注我们

Suppr 超能文献

核心技术专利:CN118964589B侵权必究
粤ICP备2023148730 号-1Suppr @ 2026

文献检索

告别复杂PubMed语法,用中文像聊天一样搜索,搜遍4000万医学文献。AI智能推荐,让科研检索更轻松。

立即免费搜索

文件翻译

保留排版,准确专业,支持PDF/Word/PPT等文件格式,支持 12+语言互译。

免费翻译文档

深度研究

AI帮你快速写综述,25分钟生成高质量综述,智能提取关键信息,辅助科研写作。

立即免费体验

可透气纺织矩形环微带贴片天线,工作频率 2.45GHz,可用于可穿戴设备。

Breathable Textile Rectangular Ring Microstrip Patch Antenna at 2.45 GHz for Wearable Applications.

机构信息

Centre for Textile Science and Engineering, Department of Materials, Textiles and Chemical Engineering, Ghent University, 9052 Ghent, Belgium.

Department of Textile, Mehran University of Engineering & Technology, 76020 Jamshoro, Pakistan.

出版信息

Sensors (Basel). 2021 Feb 26;21(5):1635. doi: 10.3390/s21051635.

DOI:10.3390/s21051635
PMID:33652644
原文链接:https://pmc.ncbi.nlm.nih.gov/articles/PMC7956440/
Abstract

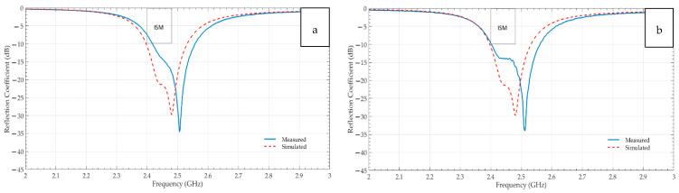
A textile patch antenna is an attractive package for wearable applications as it offers flexibility, less weight, easy integration into the garment and better comfort to the wearer. When it comes to wearability, above all, comfort comes ahead of the rest of the properties. The air permeability and the water vapor permeability of textiles are linked to the thermophysiological comfort of the wearer as they help to improve the breathability of textiles. This paper includes the construction of a breathable textile rectangular ring microstrip patch antenna with improved water vapor permeability. A selection of high air permeable conductive fabrics and 3-dimensional knitted spacer dielectric substrates was made to ensure better water vapor permeability of the breathable textile rectangular ring microstrip patch antenna. To further improve the water vapor permeability of the breathable textile rectangular ring microstrip patch antenna, a novel approach of inserting a large number of small-sized holes of 1 mm diameter in the conductive layers (the patch and the ground plane) of the antenna was adopted. Besides this, the insertion of a large number of small-sized holes improved the flexibility of the rectangular ring microstrip patch antenna. The result was a breathable perforated (with small-sized holes) textile rectangular ring microstrip patch antenna with the water vapor permeability as high as 5296.70 g/m per day, an air permeability as high as 510 mm/s, and with radiation gains being 4.2 dBi and 5.4 dBi in the E-plane and H-plane, respectively. The antenna was designed to resonate for the Industrial, Scientific and Medical band at a specific 2.45 GHz frequency.

摘要

纺织贴片天线对于可穿戴应用来说是一种极具吸引力的封装方式,因为它具有灵活性、重量轻、易于与服装集成以及为佩戴者提供更好的舒适度等优点。在可穿戴性方面,舒适度首先要优于其他性能。纺织品的空气渗透性和水蒸气渗透性与穿着者的热生理舒适度相关,因为它们有助于提高纺织品的透气性。本文包括构建具有改善水蒸气渗透性的透气纺织矩形环微带贴片天线。选择了高透气性的导电织物和三维针织间隔介质基底,以确保透气纺织矩形环微带贴片天线具有更好的水蒸气渗透性。为了进一步提高透气纺织矩形环微带贴片天线的水蒸气渗透性,采用了在天线的导电层(贴片和接地面)中插入大量 1 毫米直径小孔的新颖方法。此外,插入大量小孔还提高了矩形环微带贴片天线的灵活性。结果是一种透气的穿孔(带有小孔)纺织矩形环微带贴片天线,其水蒸气渗透性高达 5296.70 g/m 每天,空气渗透性高达 510 mm/s,在 E 平面和 H 平面的辐射增益分别为 4.2 dBi 和 5.4 dBi。该天线设计用于在特定的 2.45 GHz 频率下共振工业、科学和医疗频段。

https://cdn.ncbi.nlm.nih.gov/pmc/blobs/6cd1/7956440/f18d3426c931/sensors-21-01635-g016.jpg
https://cdn.ncbi.nlm.nih.gov/pmc/blobs/6cd1/7956440/f73f74032285/sensors-21-01635-g001.jpg
https://cdn.ncbi.nlm.nih.gov/pmc/blobs/6cd1/7956440/24f97c5e00f5/sensors-21-01635-g002.jpg
https://cdn.ncbi.nlm.nih.gov/pmc/blobs/6cd1/7956440/dfeceb859d46/sensors-21-01635-g003.jpg
https://cdn.ncbi.nlm.nih.gov/pmc/blobs/6cd1/7956440/868d85ac43c4/sensors-21-01635-g004.jpg
https://cdn.ncbi.nlm.nih.gov/pmc/blobs/6cd1/7956440/576915879f2d/sensors-21-01635-g005.jpg
https://cdn.ncbi.nlm.nih.gov/pmc/blobs/6cd1/7956440/0dc9d061d976/sensors-21-01635-g006.jpg
https://cdn.ncbi.nlm.nih.gov/pmc/blobs/6cd1/7956440/1db60a448701/sensors-21-01635-g007.jpg
https://cdn.ncbi.nlm.nih.gov/pmc/blobs/6cd1/7956440/c7d6db71ff81/sensors-21-01635-g008.jpg
https://cdn.ncbi.nlm.nih.gov/pmc/blobs/6cd1/7956440/3ecfc495cc39/sensors-21-01635-g009.jpg
https://cdn.ncbi.nlm.nih.gov/pmc/blobs/6cd1/7956440/0c44d0d77b32/sensors-21-01635-g010.jpg
https://cdn.ncbi.nlm.nih.gov/pmc/blobs/6cd1/7956440/ed2a90534bc9/sensors-21-01635-g011.jpg
https://cdn.ncbi.nlm.nih.gov/pmc/blobs/6cd1/7956440/fa71dc1532b2/sensors-21-01635-g012.jpg
https://cdn.ncbi.nlm.nih.gov/pmc/blobs/6cd1/7956440/9d32470be643/sensors-21-01635-g013.jpg
https://cdn.ncbi.nlm.nih.gov/pmc/blobs/6cd1/7956440/3e6ed3473def/sensors-21-01635-g014.jpg
https://cdn.ncbi.nlm.nih.gov/pmc/blobs/6cd1/7956440/cb4e7db815e5/sensors-21-01635-g015.jpg
https://cdn.ncbi.nlm.nih.gov/pmc/blobs/6cd1/7956440/f18d3426c931/sensors-21-01635-g016.jpg
https://cdn.ncbi.nlm.nih.gov/pmc/blobs/6cd1/7956440/f73f74032285/sensors-21-01635-g001.jpg
https://cdn.ncbi.nlm.nih.gov/pmc/blobs/6cd1/7956440/24f97c5e00f5/sensors-21-01635-g002.jpg
https://cdn.ncbi.nlm.nih.gov/pmc/blobs/6cd1/7956440/dfeceb859d46/sensors-21-01635-g003.jpg
https://cdn.ncbi.nlm.nih.gov/pmc/blobs/6cd1/7956440/868d85ac43c4/sensors-21-01635-g004.jpg
https://cdn.ncbi.nlm.nih.gov/pmc/blobs/6cd1/7956440/576915879f2d/sensors-21-01635-g005.jpg
https://cdn.ncbi.nlm.nih.gov/pmc/blobs/6cd1/7956440/0dc9d061d976/sensors-21-01635-g006.jpg
https://cdn.ncbi.nlm.nih.gov/pmc/blobs/6cd1/7956440/1db60a448701/sensors-21-01635-g007.jpg
https://cdn.ncbi.nlm.nih.gov/pmc/blobs/6cd1/7956440/c7d6db71ff81/sensors-21-01635-g008.jpg
https://cdn.ncbi.nlm.nih.gov/pmc/blobs/6cd1/7956440/3ecfc495cc39/sensors-21-01635-g009.jpg
https://cdn.ncbi.nlm.nih.gov/pmc/blobs/6cd1/7956440/0c44d0d77b32/sensors-21-01635-g010.jpg
https://cdn.ncbi.nlm.nih.gov/pmc/blobs/6cd1/7956440/ed2a90534bc9/sensors-21-01635-g011.jpg
https://cdn.ncbi.nlm.nih.gov/pmc/blobs/6cd1/7956440/fa71dc1532b2/sensors-21-01635-g012.jpg
https://cdn.ncbi.nlm.nih.gov/pmc/blobs/6cd1/7956440/9d32470be643/sensors-21-01635-g013.jpg
https://cdn.ncbi.nlm.nih.gov/pmc/blobs/6cd1/7956440/3e6ed3473def/sensors-21-01635-g014.jpg
https://cdn.ncbi.nlm.nih.gov/pmc/blobs/6cd1/7956440/cb4e7db815e5/sensors-21-01635-g015.jpg
https://cdn.ncbi.nlm.nih.gov/pmc/blobs/6cd1/7956440/f18d3426c931/sensors-21-01635-g016.jpg

相似文献

1
Breathable Textile Rectangular Ring Microstrip Patch Antenna at 2.45 GHz for Wearable Applications.可透气纺织矩形环微带贴片天线,工作频率 2.45GHz,可用于可穿戴设备。
Sensors (Basel). 2021 Feb 26;21(5):1635. doi: 10.3390/s21051635.
2
A Compact Wearable Textile Antenna for NB-IoT and ISM Band Patient Tracking Applications.一种用于 NB-IoT 和 ISM 频段患者跟踪应用的紧凑可穿戴纺织天线。
Sensors (Basel). 2024 Aug 5;24(15):5077. doi: 10.3390/s24155077.
3
Compact double-p slotted inset-fed microstrip patch antenna on high dielectric substrate.基于高介电常数基板的紧凑型双P型缝隙内嵌馈电微带贴片天线。
ScientificWorldJournal. 2014;2014:909854. doi: 10.1155/2014/909854. Epub 2014 Aug 5.
4
A Lattice-Hinge-Design-Based Stretchable Textile Microstrip Patch Antenna for Wireless Strain Sensing at 2.45 GHz.一种基于晶格铰链设计的可拉伸纺织微带贴片天线,用于2.45GHz无线应变传感。
Sensors (Basel). 2023 Nov 3;23(21):8946. doi: 10.3390/s23218946.
5
Small Antennas for Wearable Sensor Networks: Impact of the Electromagnetic Properties of the Textiles on Antenna Performance.可穿戴传感器网络中的小型天线:纺织品的电磁特性对天线性能的影响。
Sensors (Basel). 2020 Sep 10;20(18):5157. doi: 10.3390/s20185157.
6
Melding Vapor-Phase Organic Chemistry and Textile Manufacturing To Produce Wearable Electronics.将气相有机化学与纺织制造融合,生产可穿戴电子产品。
Acc Chem Res. 2018 Apr 17;51(4):850-859. doi: 10.1021/acs.accounts.7b00604. Epub 2018 Mar 9.
7
Textile Slotted Waveguide Antennas for Body-Centric Applications.用于体域应用的纺织开槽波导天线。
Sensors (Basel). 2022 Jan 28;22(3):1046. doi: 10.3390/s22031046.
8
Textile materials for the design of wearable antennas: a survey.可穿戴天线设计用纺织材料:综述。
Sensors (Basel). 2012 Nov 15;12(11):15841-57. doi: 10.3390/s121115841.
9
Direct-Write Spray Coating of a Full-Duplex Antenna for E-Textile Applications.用于电子纺织品应用的全双工天线的直写喷涂涂层
Micromachines (Basel). 2020 Nov 29;11(12):1056. doi: 10.3390/mi11121056.
10
Design of Miniaturized Dual-Band Microstrip Antenna for WLAN Application.用于无线局域网应用的小型化双频微带天线设计
Sensors (Basel). 2016 Jun 27;16(7):983. doi: 10.3390/s16070983.

引用本文的文献

1
A Compact Wearable Textile Antenna for NB-IoT and ISM Band Patient Tracking Applications.一种用于 NB-IoT 和 ISM 频段患者跟踪应用的紧凑可穿戴纺织天线。
Sensors (Basel). 2024 Aug 5;24(15):5077. doi: 10.3390/s24155077.
2
A Lattice-Hinge-Design-Based Stretchable Textile Microstrip Patch Antenna for Wireless Strain Sensing at 2.45 GHz.一种基于晶格铰链设计的可拉伸纺织微带贴片天线,用于2.45GHz无线应变传感。
Sensors (Basel). 2023 Nov 3;23(21):8946. doi: 10.3390/s23218946.
3
Design and Analysis of a Flexible Smart Apparel MIMO Antenna for Bio-Healthcare Applications.

本文引用的文献

1
Flexible and Stretchable Antennas for Biointegrated Electronics.用于生物集成电子学的灵活可伸缩天线。
Adv Mater. 2020 Apr;32(15):e1902767. doi: 10.1002/adma.201902767. Epub 2019 Sep 6.
2
Stretchable and reversibly deformable radio frequency antennas based on silver nanowires.基于银纳米线的可拉伸且可逆变形的射频天线。
ACS Appl Mater Interfaces. 2014 Mar 26;6(6):4248-53. doi: 10.1021/am405972e. Epub 2014 Mar 17.
3
Textile materials for the design of wearable antennas: a survey.可穿戴天线设计用纺织材料:综述。
用于生物医疗应用的柔性智能服装多输入多输出天线的设计与分析
Micromachines (Basel). 2022 Nov 6;13(11):1919. doi: 10.3390/mi13111919.
4
Fully Textile Dual-Band Logo Antenna for IoT Wearable Devices.全纺织双频物联网可穿戴设备徽标天线。
Sensors (Basel). 2022 Jun 15;22(12):4516. doi: 10.3390/s22124516.
5
Negative Index Metamaterial-Based Frequency-Reconfigurable Textile CPW Antenna for Microwave Imaging of Breast Cancer.基于负折射率超材料的可重构频率纺织共面波导天线用于乳腺癌微波成像。
Sensors (Basel). 2022 Feb 18;22(4):1626. doi: 10.3390/s22041626.
6
A Wearable Button Antenna Sensor for Dual-Mode Wireless Information and Power Transfer.一种用于双模无线信息和功率传输的可穿戴纽扣天线传感器。
Sensors (Basel). 2021 Aug 24;21(17):5678. doi: 10.3390/s21175678.
Sensors (Basel). 2012 Nov 15;12(11):15841-57. doi: 10.3390/s121115841.