Suppr超能文献

退火铁基金属玻璃的结构不均匀性及腐蚀性能研究

Investigation of the Structural Heterogeneity and Corrosion Performance of the Annealed Fe-Based Metallic Glasses.

作者信息

Liang Dandan, Tseng Jo-Chi, Liu Xiaodi, Cai Yuanfei, Xu Gang, Shen Jun

机构信息

College of Mechatronics and Control Engineering, Shenzhen University, Shenzhen 518060, China.

Key Laboratory of Optoelectronic Devices and Systems of Ministry of Education and Guangdong Province, College of Optoelectronic Engineering, Shenzhen University, Shenzhen 518060, China.

出版信息

Materials (Basel). 2021 Feb 16;14(4):929. doi: 10.3390/ma14040929.

Abstract

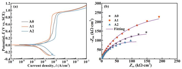
This study investigated the structural heterogeneity, mechanical property, electrochemical behavior, and passive film characteristics of Fe-Cr-Mo-W-C-B-Y metallic glasses (MGs), which were modified through annealing at different temperatures. Results showed that annealing MGs below the glass transition temperature enhanced corrosion resistance in HCl solution owing to a highly protective passive film formed, originating from the decreased free volume and the shrinkage of the first coordination shell, which was found by pair distribution function analysis. In contrast, the enlarged first coordination shell and nanoscale crystal-like clusters were identified for MGs annealed in the supercooled liquid region, which led to a destabilized passive film and thereby deteriorated corrosion resistance. This finding reveals the crucial role of structural heterogeneity in tuning the corrosion performance of MGs.

摘要

本研究调查了通过在不同温度下退火改性的Fe-Cr-Mo-W-C-B-Y金属玻璃(MGs)的结构不均匀性、力学性能、电化学行为和钝化膜特性。结果表明,在玻璃化转变温度以下对MGs进行退火处理可提高其在HCl溶液中的耐腐蚀性,这是由于形成了高度保护性的钝化膜,通过对分布函数分析发现,这源于自由体积的减少和第一配位壳层的收缩。相比之下,在过冷液相区退火的MGs中发现第一配位壳层扩大且存在纳米级晶体状团簇,这导致钝化膜不稳定,从而降低了耐腐蚀性。这一发现揭示了结构不均匀性在调节MGs腐蚀性能方面的关键作用。

https://cdn.ncbi.nlm.nih.gov/pmc/blobs/e15f/7919831/43ecd18eb69c/materials-14-00929-g001.jpg

文献AI研究员

20分钟写一篇综述,助力文献阅读效率提升50倍。

立即体验

用中文搜PubMed

大模型驱动的PubMed中文搜索引擎

马上搜索

文档翻译

学术文献翻译模型,支持多种主流文档格式。

立即体验