Suppr超能文献

用于结构健康监测应用的(铁-镍)基金属玻璃的磁性、磁弹性和耐腐蚀性能

Magnetic, Magnetoelastic and Corrosion Resistant Properties of (Fe-Ni)-Based Metallic Glasses for Structural Health Monitoring Applications.

作者信息

Sagasti Ariane, Palomares Verónica, Porro Jose María, Orúe Iñaki, Sánchez-Ilárduya M Belén, Lopes Ana Catarina, Gutiérrez Jon

机构信息

Deptartment of Electricity and Electronics, Faculty of Science and Technology, Universidad del País Vasco/Euskal Herriko Unibertsitatea, P.O. Box 644, 48080 Bilbao, Spain.

Deptartment of Inorganic Chemistry, Faculty of Science and Technology, Universidad del País Vasco/Euskal Herriko Unibertsitatea, P.O. Box 644, 48080 Bilbao, Spain.

出版信息

Materials (Basel). 2019 Dec 20;13(1):57. doi: 10.3390/ma13010057.

Abstract

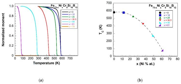
We have performed a study of the magnetic, magnetoelastic, and corrosion resistance properties of seven different composition magnetoelastic-resonant platforms. For some applications, such as structural health monitoring, these materials must have not only good magnetomechanical properties, but also a high corrosion resistance. In the fabricated metallic glasses of composition Fe73-xNixCr5Si10B12, the Fe/Ni ratio was varied (Fe+Ni=73% at.) thus changing the magnetic and magnetoelastic properties. A small amount of chromium (Cr5) was added in order to achieve the desired good corrosion resistance. As expected, all the studied properties change with the composition of the samples. Alloys containing a higher amount of Ni than Fe do not show magnetic behavior at room temperature, while iron-rich alloys have demonstrated not only good magnetic properties, but also good magnetoelastic ones, with magnetoelastic coupling coefficient as high as 0.41 for x=0 in the Fe73Ni0Cr5Si10B12 (the sample containing only Fe but not Ni). Concerning corrosion resistance, we have found a continuous degradation of these properties as the Ni content increases in the composition. Thus, the corrosion potential decreases monotonously from 46.74 mV for the x=0, composition Fe73Ni0Cr5Si10B12 to -239.47 mV for the x=73, composition Fe0Ni73Cr5Si10B12.

摘要

我们对七种不同成分的磁弹性共振平台的磁性、磁弹性和耐腐蚀性进行了研究。对于某些应用,如结构健康监测,这些材料不仅必须具有良好的磁机械性能,还必须具有高耐腐蚀性。在制备的Fe73-xNixCr5Si10B12成分的金属玻璃中,改变Fe/Ni比(Fe+Ni=73%原子分数),从而改变磁性和磁弹性性能。添加少量铬(Cr5)以实现所需的良好耐腐蚀性。正如预期的那样,所有研究的性能都随样品成分而变化。含Ni量高于Fe的合金在室温下不显示磁性,而富铁合金不仅表现出良好的磁性,还表现出良好的磁弹性性能,在Fe73Ni0Cr5Si10B12(仅含Fe不含Ni的样品)中,x=0时磁弹性耦合系数高达0.41。关于耐腐蚀性,我们发现随着成分中Ni含量的增加,这些性能持续下降。因此,腐蚀电位从x=0的Fe73Ni0Cr5Si10B12成分的46.74 mV单调下降到x=73的Fe0Ni73Cr5Si10B12成分的-239.47 mV。

https://cdn.ncbi.nlm.nih.gov/pmc/blobs/29b9/6982346/b102383e51b8/materials-13-00057-g001.jpg

文献AI研究员

20分钟写一篇综述,助力文献阅读效率提升50倍。

立即体验

用中文搜PubMed

大模型驱动的PubMed中文搜索引擎

马上搜索

文档翻译

学术文献翻译模型,支持多种主流文档格式。

立即体验