Suppr超能文献

农业废弃物沼渣及其更稳定的沼渣衍生堆肥的物理化学特性和生物活性

Physico-Chemical Characterization and Biological Activities of a Digestate and a More Stabilized Digestate-Derived Compost from Agro-Waste.

作者信息

Vitti Antonella, Elshafie Hazem S, Logozzo Giuseppina, Marzario Stefania, Scopa Antonio, Camele Ippolito, Nuzzaci Maria

机构信息

Department of Pharmacy, University of Salerno, Via Giovanni Paolo II, 132, 84084 Fisciano, Italy.

School of Agricultural, Forestry, Food and Environmental Sciences, University of Basilicata, Viale dell'Ateneo Lucano 10, 85100 Potenza, Italy.

出版信息

Plants (Basel). 2021 Feb 18;10(2):386. doi: 10.3390/plants10020386.

Abstract

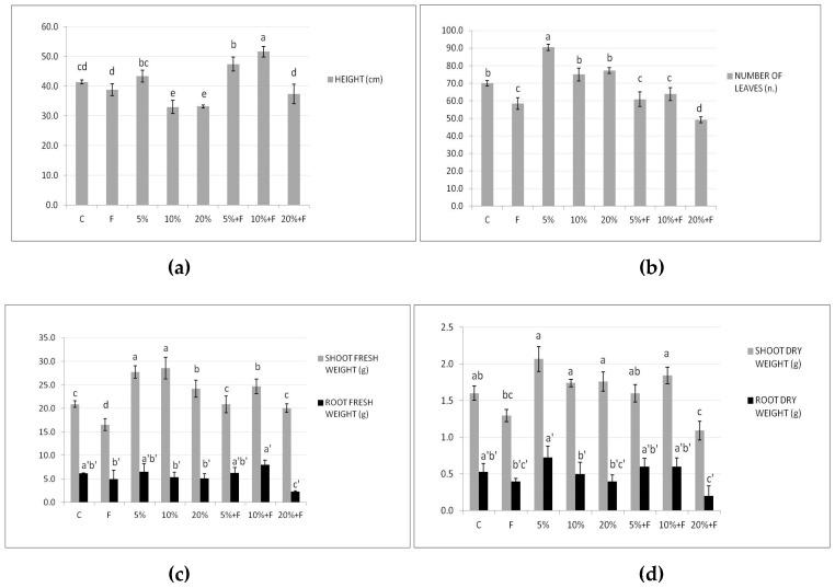
The excessive use of agricultural soils and the reduction in their organic matter, following circular economy and environmental sustainability concepts, determined a strong attention in considering composting as a preferred method for municipalities and industries to recycle organic by-products. Microorganisms degrade organic matter for producing CO, water and energy, originating stable humus named compost. The current study analyzed the chemical composition of a cow slurry on-farm digestate and a more stabilized digestate-derived compost (DdC), along with their phytotoxic, genotoxic and antifungal activities. The chemical analysis showed that digestate cannot be an ideal amendment due to some non-acceptable characteristics. Biological assays showed that the digestate had phytotoxicity on the tested plants, whereas DdC did not induce a phytotoxic effect in both plants at the lowest dilution; hence, the latter was considered in subsequent analyses. The digestate and DdC induced significant antifungal activity against some tested fungi. DdC did not show genotoxic effect on using a micronuclei test. Soil treated with DdC (5 and 10%) induced damping-off suppression caused by in tomato plants. The eco-physiological data indicated that DdC at 5-10% could increase the growth of tomato plants. In conclusion, DdC is eligible as a soil amendment and to strengthen the natural soil suppressiveness against .

摘要

遵循循环经济和环境可持续性理念,农业土壤的过度使用及其有机质的减少,使得人们高度关注将堆肥作为市政当局和工业回收有机副产品的首选方法。微生物降解有机物质以产生二氧化碳、水和能量,形成名为堆肥的稳定腐殖质。本研究分析了农场牛粪沼渣和一种更稳定的沼渣衍生堆肥(DdC)的化学成分,以及它们的植物毒性、遗传毒性和抗真菌活性。化学分析表明,由于一些不可接受的特性,沼渣不能成为理想的改良剂。生物测定表明,沼渣对受试植物具有植物毒性,而DdC在最低稀释度下对两种植物均未诱导植物毒性效应;因此,在后续分析中考虑了后者。沼渣和DdC对一些受试真菌具有显著的抗真菌活性。使用微核试验,DdC未显示遗传毒性效应。用DdC(5%和10%)处理的土壤可抑制番茄植株由[未提及的病原体]引起的猝倒病。生态生理数据表明,5%-10%的DdC可促进番茄植株生长。总之,DdC有资格作为土壤改良剂,并增强土壤对[未提及的病原体]的天然抑制能力。

https://cdn.ncbi.nlm.nih.gov/pmc/blobs/5359/7922375/8d4427af90f8/plants-10-00386-g001.jpg

文献AI研究员

20分钟写一篇综述,助力文献阅读效率提升50倍。

立即体验

用中文搜PubMed

大模型驱动的PubMed中文搜索引擎

马上搜索

文档翻译

学术文献翻译模型,支持多种主流文档格式。

立即体验