• 文献检索
  • 文档翻译
  • 深度研究
  • 学术资讯
  • Suppr Zotero 插件Zotero 插件
  • 邀请有礼
  • 套餐&价格
  • 历史记录
应用&插件
Suppr Zotero 插件Zotero 插件浏览器插件Mac 客户端Windows 客户端微信小程序
定价
高级版会员购买积分包购买API积分包
服务
文献检索文档翻译深度研究API 文档MCP 服务
关于我们
关于 Suppr公司介绍联系我们用户协议隐私条款
关注我们

Suppr 超能文献

核心技术专利:CN118964589B侵权必究
粤ICP备2023148730 号-1Suppr @ 2026

文献检索

告别复杂PubMed语法,用中文像聊天一样搜索,搜遍4000万医学文献。AI智能推荐,让科研检索更轻松。

立即免费搜索

文件翻译

保留排版,准确专业,支持PDF/Word/PPT等文件格式,支持 12+语言互译。

免费翻译文档

深度研究

AI帮你快速写综述,25分钟生成高质量综述,智能提取关键信息,辅助科研写作。

立即免费体验

等长最大力量训练后的皮质肌肉协调性与运动控制适应性

Corticomuscular Coherence and Motor Control Adaptations after Isometric Maximal Strength Training.

作者信息

Elie Dimitri, Barbier Franck, Ido Ghassan, Cremoux Sylvain

机构信息

UMR CNRS 8201-LAMIH, Université Polytechnique des Hauts de France, F-59313 Valenciennes, France.

Centre Hospitalier de Saint-Amant-les-Eaux, 59230 Saint-Amant-les-Eaux, France.

出版信息

Brain Sci. 2021 Feb 18;11(2):254. doi: 10.3390/brainsci11020254.

DOI:10.3390/brainsci11020254
PMID:33670532
原文链接:https://pmc.ncbi.nlm.nih.gov/articles/PMC7922221/
Abstract

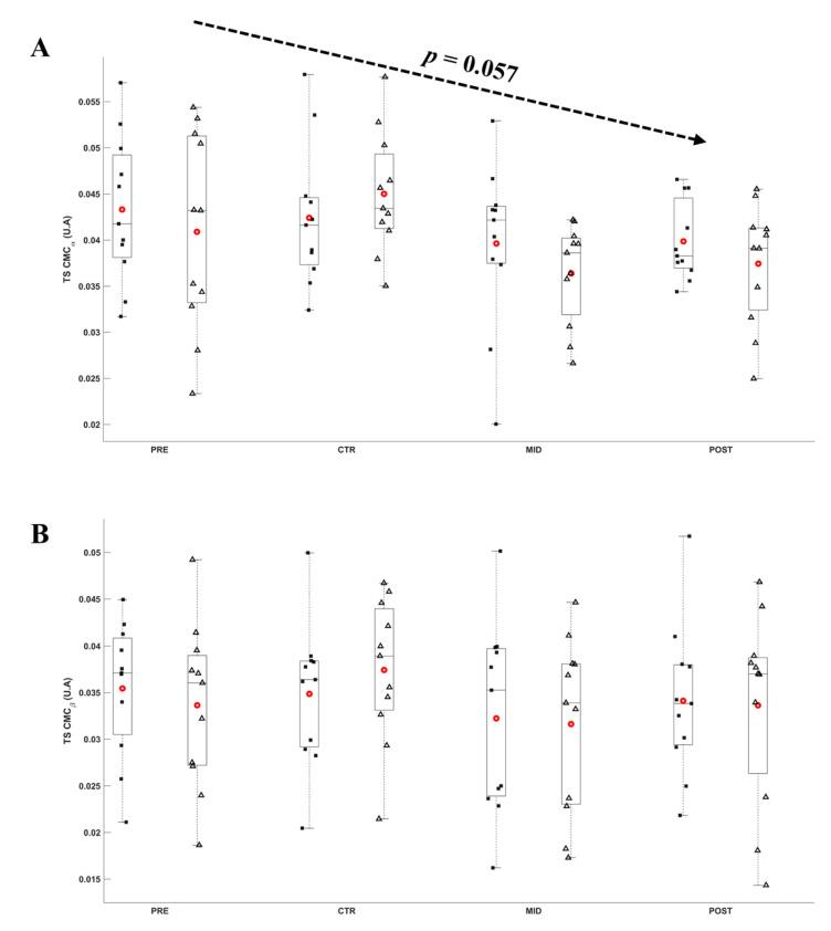
Strength training (ST) induces corticomuscular adaptations leading to enhanced strength. ST alters the agonist and antagonist muscle activations, which changes the motor control, i.e., force production stability and accuracy. This study evaluated the alteration of corticomuscular communication and motor control through the quantification of corticomuscular coherence (CMC) and absolute (AE) and variable error (VE) of the force production throughout a 3 week Maximal Strength Training (MST) intervention specifically designed to strengthen ankle plantarflexion (PF). Evaluation sessions with electroencephalography, electromyography, and torque recordings were conducted pre-training, 1 week after the training initiation, then post-training. Training effect was evaluated over the maximal voluntary isometric contractions (MVIC), the submaximal torque production, AE and VE, muscle activation, and CMC changes during submaximal contractions at 20% of the initial and daily MVIC. MVIC increased significantly throughout the training completion. For submaximal contractions, agonist muscle activation decreased over time only for the initial torque level while antagonist muscle activation, AE, and VE decreased over time for each torque level. CMC remained unaltered by the MST. Our results revealed that neurophysiological adaptations are noticeable as soon as 1 week post-training. However, CMC remained unaltered by MST, suggesting that central motor adaptations may take longer to be translated into CMC alteration.

摘要

力量训练(ST)可诱导皮质-肌肉适应性变化,从而增强力量。ST会改变主动肌和拮抗肌的激活情况,进而改变运动控制,即力量产生的稳定性和准确性。本研究通过量化皮质-肌肉相干性(CMC)以及在为期3周的专门用于增强踝关节跖屈(PF)的最大力量训练(MST)干预过程中力量产生的绝对误差(AE)和可变误差(VE),评估了皮质-肌肉通讯和运动控制的变化。在训练前、训练开始后1周以及训练后进行了脑电图、肌电图和扭矩记录的评估。在初始和每日最大自主等长收缩(MVIC)的20%的次最大收缩过程中,通过最大自主等长收缩(MVIC)、次最大扭矩产生、AE和VE、肌肉激活以及CMC变化来评估训练效果。在整个训练过程中,MVIC显著增加。对于次最大收缩,仅在初始扭矩水平时,主动肌激活随时间下降,而在每个扭矩水平下,拮抗肌激活、AE和VE均随时间下降。MST并未改变CMC。我们的结果显示,训练后1周神经生理适应性变化就很明显。然而,MST并未改变CMC,这表明中枢运动适应性变化可能需要更长时间才能转化为CMC的改变。

https://cdn.ncbi.nlm.nih.gov/pmc/blobs/1d95/7922221/6177a44a3e9d/brainsci-11-00254-g010.jpg
https://cdn.ncbi.nlm.nih.gov/pmc/blobs/1d95/7922221/df4f4a2ccbfe/brainsci-11-00254-g001.jpg
https://cdn.ncbi.nlm.nih.gov/pmc/blobs/1d95/7922221/5d3a81f955cc/brainsci-11-00254-g002.jpg
https://cdn.ncbi.nlm.nih.gov/pmc/blobs/1d95/7922221/a550f8fff135/brainsci-11-00254-g003.jpg
https://cdn.ncbi.nlm.nih.gov/pmc/blobs/1d95/7922221/c6057ccf9c46/brainsci-11-00254-g004.jpg
https://cdn.ncbi.nlm.nih.gov/pmc/blobs/1d95/7922221/92c1c4daef9a/brainsci-11-00254-g005.jpg
https://cdn.ncbi.nlm.nih.gov/pmc/blobs/1d95/7922221/c604f4df6b83/brainsci-11-00254-g006.jpg
https://cdn.ncbi.nlm.nih.gov/pmc/blobs/1d95/7922221/0a0ce55b0c79/brainsci-11-00254-g007.jpg
https://cdn.ncbi.nlm.nih.gov/pmc/blobs/1d95/7922221/09e9904a1044/brainsci-11-00254-g008.jpg
https://cdn.ncbi.nlm.nih.gov/pmc/blobs/1d95/7922221/5352754bdeeb/brainsci-11-00254-g009.jpg
https://cdn.ncbi.nlm.nih.gov/pmc/blobs/1d95/7922221/6177a44a3e9d/brainsci-11-00254-g010.jpg
https://cdn.ncbi.nlm.nih.gov/pmc/blobs/1d95/7922221/df4f4a2ccbfe/brainsci-11-00254-g001.jpg
https://cdn.ncbi.nlm.nih.gov/pmc/blobs/1d95/7922221/5d3a81f955cc/brainsci-11-00254-g002.jpg
https://cdn.ncbi.nlm.nih.gov/pmc/blobs/1d95/7922221/a550f8fff135/brainsci-11-00254-g003.jpg
https://cdn.ncbi.nlm.nih.gov/pmc/blobs/1d95/7922221/c6057ccf9c46/brainsci-11-00254-g004.jpg
https://cdn.ncbi.nlm.nih.gov/pmc/blobs/1d95/7922221/92c1c4daef9a/brainsci-11-00254-g005.jpg
https://cdn.ncbi.nlm.nih.gov/pmc/blobs/1d95/7922221/c604f4df6b83/brainsci-11-00254-g006.jpg
https://cdn.ncbi.nlm.nih.gov/pmc/blobs/1d95/7922221/0a0ce55b0c79/brainsci-11-00254-g007.jpg
https://cdn.ncbi.nlm.nih.gov/pmc/blobs/1d95/7922221/09e9904a1044/brainsci-11-00254-g008.jpg
https://cdn.ncbi.nlm.nih.gov/pmc/blobs/1d95/7922221/5352754bdeeb/brainsci-11-00254-g009.jpg
https://cdn.ncbi.nlm.nih.gov/pmc/blobs/1d95/7922221/6177a44a3e9d/brainsci-11-00254-g010.jpg

相似文献

1
Corticomuscular Coherence and Motor Control Adaptations after Isometric Maximal Strength Training.等长最大力量训练后的皮质肌肉协调性与运动控制适应性
Brain Sci. 2021 Feb 18;11(2):254. doi: 10.3390/brainsci11020254.
2
Effect of the phase of force production on corticomuscular coherence with agonist and antagonist muscles.力的产生相位对原动肌和拮抗肌皮质肌层协同性的影响。
Eur J Neurosci. 2018 Nov;48(10):3288-3298. doi: 10.1111/ejn.14126. Epub 2018 Oct 10.
3
Effect of training status on beta-range corticomuscular coherence in agonist vs. antagonist muscles during isometric knee contractions.等长膝关节收缩过程中,训练状态对主动肌与拮抗肌β波段皮质-肌肉相干性的影响。
Exp Brain Res. 2017 Oct;235(10):3023-3031. doi: 10.1007/s00221-017-5035-z. Epub 2017 Jul 19.
4
Impaired corticomuscular coherence during isometric elbow flexion contractions in humans with cervical spinal cord injury.颈脊髓损伤患者等长肘屈肌收缩时皮质-肌肉相干性降低。
Eur J Neurosci. 2017 Aug;46(4):1991-2000. doi: 10.1111/ejn.13641. Epub 2017 Aug 1.
5
Torque gains and neural adaptations following low-intensity motor nerve electrical stimulation training.低强度运动神经电刺激训练后的扭矩增益和神经适应。
J Appl Physiol (1985). 2019 Nov 1;127(5):1469-1477. doi: 10.1152/japplphysiol.00513.2019. Epub 2019 Sep 23.
6
The increase in muscle force after 4 weeks of strength training is mediated by adaptations in motor unit recruitment and rate coding.经过 4 周的力量训练后,肌肉力量的增加是通过运动单位募集和频率编码的适应性变化来介导的。
J Physiol. 2019 Apr;597(7):1873-1887. doi: 10.1113/JP277250. Epub 2019 Feb 6.
7
Greater Neural Adaptations following High- vs. Low-Load Resistance Training.高负荷与低负荷抗阻训练后的更大神经适应性
Front Physiol. 2017 May 29;8:331. doi: 10.3389/fphys.2017.00331. eCollection 2017.
8
Influence of joint position on electromyographic and torque generation during maximal voluntary isometric contractions of the hamstrings and gluteus maximus muscles.在腘绳肌和臀大肌最大自主等长收缩过程中,关节位置对肌电图和扭矩产生的影响。
J Orthop Sports Phys Ther. 2001 Dec;31(12):730-40. doi: 10.2519/jospt.2001.31.12.730.
9
Neural adaptations to submaximal isokinetic eccentric strength training.神经对次最大等速离心力量训练的适应性
Eur J Appl Physiol. 2016 May;116(5):1021-30. doi: 10.1007/s00421-016-3367-1. Epub 2016 Mar 30.
10
Experimental Pain Decreases Corticomuscular Coherence in a Force- But Not a Position-Control Task.实验性疼痛会降低力控制任务而非位置控制任务中的皮质肌层相干性。
J Pain. 2019 Feb;20(2):192-200. doi: 10.1016/j.jpain.2018.08.012. Epub 2018 Sep 25.

引用本文的文献

1
Comparison of corticomuscular coherence under different balance paradigms in individuals with and without forward head posture.有无头部前倾姿势个体在不同平衡范式下的皮质-肌肉相干性比较。
Sci Rep. 2025 Jul 2;15(1):22985. doi: 10.1038/s41598-025-06603-8.
2
Brain-hemispheric differences in the premotor area for motor planning: An approach based on corticomuscular connectivity during motor decision-making.运动规划前运动区的脑半球差异:一种基于运动决策过程中皮质-肌肉连接性的研究方法。
Neuroimage. 2025 May 15;312:121230. doi: 10.1016/j.neuroimage.2025.121230. Epub 2025 Apr 17.
3
The neuromechanical of Beta-band corticomuscular coupling within the human motor system.

本文引用的文献

1
Muscles from the same muscle group do not necessarily share common drive: evidence from the human triceps surae.来自同一肌肉群的肌肉不一定具有共同的驱动力:来自人体小腿三头肌的证据。
J Appl Physiol (1985). 2021 Feb 1;130(2):342-354. doi: 10.1152/japplphysiol.00635.2020. Epub 2020 Nov 26.
2
A pilot study assessing reliability and age-related differences in corticomuscular and intramuscular coherence in ankle dorsiflexors during walking.一项评估在行走过程中踝关节背屈肌皮质肌和肌内相干性的可靠性和与年龄相关差异的初步研究。
Physiol Rep. 2020 Feb;8(4):e14378. doi: 10.14814/phy2.14378.
3
Corticomuscular Coherence for Upper Arm Flexor and Extensor Muscles During Isometric Exercise and Cyclically Isokinetic Movement.
人类运动系统中β波段皮质-肌肉耦合的神经力学
Front Neurosci. 2024 Aug 15;18:1441002. doi: 10.3389/fnins.2024.1441002. eCollection 2024.
4
Assessing Cognitive Workload in Motor Decision-Making through Functional Connectivity Analysis: Towards Early Detection and Monitoring of Neurodegenerative Diseases.通过功能连接分析评估运动决策中的认知工作量:实现神经退行性疾病的早期检测和监测。
Sensors (Basel). 2024 Feb 7;24(4):1089. doi: 10.3390/s24041089.
5
Intermuscular coherence of plantar and dorsiflexor muscles in older adults with Parkinson's disease and age-matched controls during bipedal and unipedal stance.帕金森病老年患者与年龄匹配的对照组在双足和单足站立期间足底和背屈肌的肌间协调性。
Front Aging Neurosci. 2023 Feb 20;15:1093295. doi: 10.3389/fnagi.2023.1093295. eCollection 2023.
等长运动和周期性等速运动期间上臂屈肌和伸肌的皮质肌肉相干性
Front Neurosci. 2019 May 22;13:522. doi: 10.3389/fnins.2019.00522. eCollection 2019.
4
Brief Review: Effects of Isometric Strength Training on Strength and Dynamic Performance.简介:等长力量训练对力量和动态表现的影响。
Int J Sports Med. 2019 May;40(6):363-375. doi: 10.1055/a-0863-4539. Epub 2019 Apr 3.
5
Effect of the phase of force production on corticomuscular coherence with agonist and antagonist muscles.力的产生相位对原动肌和拮抗肌皮质肌层协同性的影响。
Eur J Neurosci. 2018 Nov;48(10):3288-3298. doi: 10.1111/ejn.14126. Epub 2018 Oct 10.
6
Effects of 8-week sensory electrical stimulation combined with motor training on EEG-EMG coherence and motor function in individuals with stroke.8 周感觉电刺激联合运动训练对脑卒中患者脑电-肌电相干性和运动功能的影响。
Sci Rep. 2018 Jun 15;8(1):9217. doi: 10.1038/s41598-018-27553-4.
7
Effects of high loading by eccentric triceps surae training on Achilles tendon properties in humans.离心性腘绳肌训练高负荷对人体跟腱特性的影响。
Eur J Appl Physiol. 2018 Aug;118(8):1725-1736. doi: 10.1007/s00421-018-3904-1. Epub 2018 Jun 1.
8
Muscle coactivation: definitions, mechanisms, and functions.肌肉共同激活:定义、机制及功能
J Neurophysiol. 2018 Jul 1;120(1):88-104. doi: 10.1152/jn.00084.2018. Epub 2018 Mar 28.
9
Neural Plasticity with Age: Unilateral Maximal Strength Training Augments Efferent Neural Drive to the Contralateral Limb in Older Adults.年龄相关的神经可塑性:单侧最大强度训练增强老年人对侧肢体传出神经的驱动。
J Gerontol A Biol Sci Med Sci. 2018 Apr 17;73(5):596-602. doi: 10.1093/gerona/glx218.
10
Effect of training status on beta-range corticomuscular coherence in agonist vs. antagonist muscles during isometric knee contractions.等长膝关节收缩过程中,训练状态对主动肌与拮抗肌β波段皮质-肌肉相干性的影响。
Exp Brain Res. 2017 Oct;235(10):3023-3031. doi: 10.1007/s00221-017-5035-z. Epub 2017 Jul 19.