• 文献检索
  • 文档翻译
  • 深度研究
  • 学术资讯
  • Suppr Zotero 插件Zotero 插件
  • 邀请有礼
  • 套餐&价格
  • 历史记录
应用&插件
Suppr Zotero 插件Zotero 插件浏览器插件Mac 客户端Windows 客户端微信小程序
定价
高级版会员购买积分包购买API积分包
服务
文献检索文档翻译深度研究API 文档MCP 服务
关于我们
关于 Suppr公司介绍联系我们用户协议隐私条款
关注我们

Suppr 超能文献

核心技术专利:CN118964589B侵权必究
粤ICP备2023148730 号-1Suppr @ 2026

文献检索

告别复杂PubMed语法,用中文像聊天一样搜索,搜遍4000万医学文献。AI智能推荐,让科研检索更轻松。

立即免费搜索

文件翻译

保留排版,准确专业,支持PDF/Word/PPT等文件格式,支持 12+语言互译。

免费翻译文档

深度研究

AI帮你快速写综述,25分钟生成高质量综述,智能提取关键信息,辅助科研写作。

立即免费体验

通过真空紫外圆二色性(VUVCD)对溴丙二烯的绝对构型进行分配。

Assignment of Absolute Configuration of Bromoallenes by Vacuum-Ultraviolet Circular Dichroism (VUVCD).

机构信息

Division of Environmental Materials Science, Graduate School of Environmental Science, Hokkaido University, N10W5, Kita-ku, Sapporo 060-0810, Japan.

Hiroshima Synchrotron Radiation Center (HiSOR), Hiroshima University, 2-313 Kagamiyama, Higashi-Hiroshima 739-0046, Japan.

出版信息

Molecules. 2021 Feb 27;26(5):1296. doi: 10.3390/molecules26051296.

DOI:10.3390/molecules26051296
PMID:33673650
原文链接:https://pmc.ncbi.nlm.nih.gov/articles/PMC7957760/
Abstract

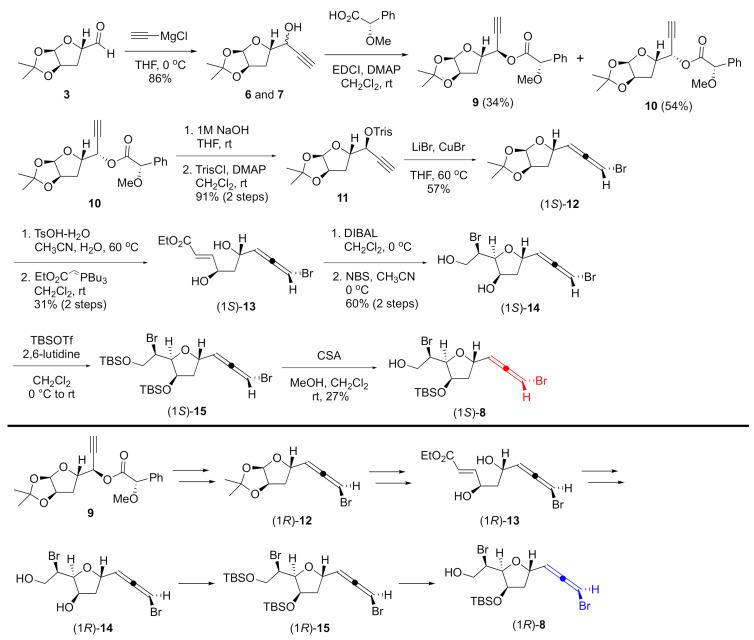
A new application of vacuum-ultraviolet circular dichroism (VUVCD), which enables the measurement of CD spectra in the vacuum-ultraviolet region (140-200 nm), for the assignment of the absolute configurations of bromoallenes is described. Bromoallene moieties are found in natural products obtained from many marine organisms. To date, the absolute configuration of bromoallenes has been assigned almost exclusively with Lowe's rule, which is based on specific rotation. However, exceptions to Lowe's rule have been reported arising from the presence of other substituents with large specific rotations. For the unambiguous assignment of the absolute configuration of the bromoallene moiety with its characteristic absorption wavelength at 180-190 nm due to the π-π* transition, VUVCD was applied to four pairs of bromoallene diastereomers prepared by modifying the synthetic scheme of omaezallene. The VUVCD spectra clearly showed positive or negative Cotton effects around 180-190 nm according to the configuration of the bromoallene employed, revealing the potential of VUVCD for determining absolute stereochemistry.

摘要

本文描述了真空紫外圆二色性(VUVCD)的一种新应用,该应用可用于测量真空紫外区域(140-200nm)的 CD 光谱,从而确定溴代丙二烯的绝对构型。溴代丙二烯部分存在于从许多海洋生物中获得的天然产物中。迄今为止,溴代丙二烯的绝对构型几乎完全是根据基于比旋光度的 Lowe 规则来确定的。然而,据报道,由于存在具有较大比旋光度的其他取代基,Lowe 规则也存在例外。为了明确确定溴代丙二烯部分的绝对构型,该部分在 180-190nm 处具有特征吸收波长,这是由于π-π*跃迁引起的,因此应用 VUVCD 对通过修改 omaezallene 的合成方案制备的四对溴代丙二烯非对映异构体进行了研究。VUVCD 光谱根据所采用的溴代丙二烯的构型,在 180-190nm 附近清晰地显示出正或负的 C otton 效应,这表明 VUVCD 具有确定绝对立体化学的潜力。

https://cdn.ncbi.nlm.nih.gov/pmc/blobs/cb77/7957760/48d2faf2b3cd/molecules-26-01296-g003.jpg
https://cdn.ncbi.nlm.nih.gov/pmc/blobs/cb77/7957760/e24c1d2b514e/molecules-26-01296-g001.jpg
https://cdn.ncbi.nlm.nih.gov/pmc/blobs/cb77/7957760/49b718bd2e77/molecules-26-01296-sch001.jpg
https://cdn.ncbi.nlm.nih.gov/pmc/blobs/cb77/7957760/4e2e474613c7/molecules-26-01296-sch002.jpg
https://cdn.ncbi.nlm.nih.gov/pmc/blobs/cb77/7957760/6a70b2cc38da/molecules-26-01296-g002.jpg
https://cdn.ncbi.nlm.nih.gov/pmc/blobs/cb77/7957760/48d2faf2b3cd/molecules-26-01296-g003.jpg
https://cdn.ncbi.nlm.nih.gov/pmc/blobs/cb77/7957760/e24c1d2b514e/molecules-26-01296-g001.jpg
https://cdn.ncbi.nlm.nih.gov/pmc/blobs/cb77/7957760/49b718bd2e77/molecules-26-01296-sch001.jpg
https://cdn.ncbi.nlm.nih.gov/pmc/blobs/cb77/7957760/4e2e474613c7/molecules-26-01296-sch002.jpg
https://cdn.ncbi.nlm.nih.gov/pmc/blobs/cb77/7957760/6a70b2cc38da/molecules-26-01296-g002.jpg
https://cdn.ncbi.nlm.nih.gov/pmc/blobs/cb77/7957760/48d2faf2b3cd/molecules-26-01296-g003.jpg

相似文献

1
Assignment of Absolute Configuration of Bromoallenes by Vacuum-Ultraviolet Circular Dichroism (VUVCD).通过真空紫外圆二色性(VUVCD)对溴丙二烯的绝对构型进行分配。
Molecules. 2021 Feb 27;26(5):1296. doi: 10.3390/molecules26051296.
2
Vacuum-ultraviolet circular dichroism analysis of biomolecules.生物分子的真空紫外圆二色性分析
Chirality. 2006 May 15;18(5):329-34. doi: 10.1002/chir.20252.
3
Vacuum-ultraviolet circular dichroism study of saccharides by synchrotron radiation spectrophotometry.同步辐射分光光度法对糖类的真空紫外圆二色性研究
Carbohydr Res. 2004 Feb 25;339(3):591-7. doi: 10.1016/j.carres.2003.11.019.
4
Secondary-structure analysis of proteins by vacuum-ultraviolet circular dichroism spectroscopy.利用真空紫外圆二色光谱法对蛋白质进行二级结构分析。
J Biochem. 2004 Mar;135(3):405-11. doi: 10.1093/jb/mvh048.
5
Improved estimation of the secondary structures of proteins by vacuum-ultraviolet circular dichroism spectroscopy.通过真空紫外圆二色光谱法改进蛋白质二级结构的估计
J Biochem. 2005 Jul;138(1):79-88. doi: 10.1093/jb/mvi101.
6
Vacuum-ultraviolet circular dichroism analysis of glycosaminoglycans by synchrotron-radiation spectroscopy.利用同步辐射光谱对糖胺聚糖进行真空紫外圆二色性分析。
Biosci Biotechnol Biochem. 2009 Mar 23;73(3):557-61. doi: 10.1271/bbb.80605. Epub 2009 Mar 7.
7
Improved sequence-based prediction of protein secondary structures by combining vacuum-ultraviolet circular dichroism spectroscopy with neural network.通过将真空紫外圆二色光谱与神经网络相结合,改进基于序列的蛋白质二级结构预测。
Proteins. 2008 Oct;73(1):104-12. doi: 10.1002/prot.22055.
8
Synchrotron-radiation vacuum-ultraviolet circular dichroism spectroscopy in structural biology: an overview.结构生物学中的同步辐射真空紫外圆二色光谱:综述
Biophys Physicobiol. 2019 Feb 6;16:41-58. doi: 10.2142/biophysico.16.0_41. eCollection 2019.
9
Comprehensive secondary-structure analysis of disulfide variants of lysozyme by synchrotron-radiation vacuum-ultraviolet circular dichroism.通过同步辐射真空紫外圆二色性对溶菌酶二硫键变体进行全面的二级结构分析。
Proteins. 2009 Oct;77(1):191-201. doi: 10.1002/prot.22430.
10
Substrate-Controlled Asymmetric Total Syntheses of Microcladallenes A, B, and C Based on the Proposed Structures.基于推测结构的微枝二烯A、B和C的底物控制不对称全合成
Chemistry. 2015 Nov 2;21(45):15988-97. doi: 10.1002/chem.201502592. Epub 2015 Sep 17.

引用本文的文献

1
Effective Synthesis and Antifouling Activity of Dolastatin 16 Derivatives.有效合成和抗菌肽 16 衍生物的抗污活性。
Mar Drugs. 2022 Feb 4;20(2):124. doi: 10.3390/md20020124.

本文引用的文献

1
Halogenated C Acetogenin Analogues of Obtusallene III from a Laurenciella sp. Collected in Corsica.从科西嘉岛采集的一种Laurenciella属物种中提取的卤代C类钝尾烯III乙酸原类似物。
J Nat Prod. 2018 Feb 23;81(2):279-285. doi: 10.1021/acs.jnatprod.7b00706. Epub 2018 Jan 30.
2
Substrate-Controlled Asymmetric Total Syntheses of Microcladallenes A, B, and C Based on the Proposed Structures.基于推测结构的微枝二烯A、B和C的底物控制不对称全合成
Chemistry. 2015 Nov 2;21(45):15988-97. doi: 10.1002/chem.201502592. Epub 2015 Sep 17.
3
An integrated approach using UHPLC-PDA-HRMS and 2D HSQC NMR for the metabolic profiling of the red alga Laurencia: dereplication and tracing of natural products.
采用超高效液相色谱-光电二极管阵列-高分辨质谱联用(UHPLC-PDA-HRMS)和二维异核单量子相干核磁共振(2D HSQC NMR)对红藻劳伦藻进行代谢物谱分析的综合方法:天然产物的去重复和追踪
Phytochemistry. 2014 Dec;108:208-19. doi: 10.1016/j.phytochem.2014.10.007.
4
Omaezallene from red alga Laurencia sp.: structure elucidation, total synthesis, and antifouling activity.红藻泡叶藻中的奥马泽烯:结构解析、全合成及抗污活性。
Angew Chem Int Ed Engl. 2014 Apr 7;53(15):3909-12. doi: 10.1002/anie.201311175. Epub 2014 Mar 11.
5
Roussoellols A and B, tetracyclic fusicoccanes from Roussoella hysterioides. Roussoellols A 和 B,来自 Roussoella hysterioides 的四环 fusicoccanes。
J Nat Prod. 2013 Jun 28;76(6):1047-51. doi: 10.1021/np400045z. Epub 2013 May 21.
6
New bicyclotridecane C15 nonterpenoid bromoallenes from Laurencia marilzae.来自马里藻的新型二环三环 C15 非萜烯溴烯。
Org Lett. 2011 May 20;13(10):2690-3. doi: 10.1021/ol200792v. Epub 2011 Apr 25.
7
Total synthesis of jimenezin via an intramolecular allylboration.通过分子内烯丙基硼化反应全合成吉梅内辛。
Org Lett. 2006 Aug 17;8(17):3829-31. doi: 10.1021/ol0614471.
8
Improved estimation of the secondary structures of proteins by vacuum-ultraviolet circular dichroism spectroscopy.通过真空紫外圆二色光谱法改进蛋白质二级结构的估计
J Biochem. 2005 Jul;138(1):79-88. doi: 10.1093/jb/mvi101.
9
Highly efficient total synthesis of (+)-citreoviral.(+)-柠檬病毒素的高效全合成
Angew Chem Int Ed Engl. 2004 Jun 14;43(24):3175-7. doi: 10.1002/anie.200454212.
10
Secondary-structure analysis of proteins by vacuum-ultraviolet circular dichroism spectroscopy.利用真空紫外圆二色光谱法对蛋白质进行二级结构分析。
J Biochem. 2004 Mar;135(3):405-11. doi: 10.1093/jb/mvh048.