Suppr超能文献

比较有视力个体的回声探测和回声定位。

Comparing Echo-Detection and Echo-Localization in Sighted Individuals.

机构信息

7675Stockholm University, Sweden.

出版信息

Perception. 2021 Apr;50(4):308-327. doi: 10.1177/03010066211000617. Epub 2021 Mar 5.

Abstract

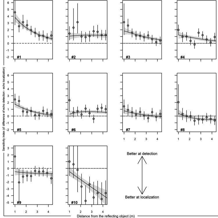
Echolocation is the ability to gather information from sound reflections. Most previous studies have focused on the ability to detect sound reflections, others on the ability to localize sound reflections, but no previous study has compared the two abilities in the same individuals. Our study compared echo-detection (reflecting object present or not?) and echo-localization (reflecting object to the left or right?) in 10 inexperienced sighted participants across 10 distances (1-4.25 m) to the reflecting object, using an automated system for studying human echolocation. There were substantial individual differences, particularly in the performance on the echo-localization task. However, most participants performed better on the detection than the localization task, in particular at the closest distances (1 and 1.7 m), illustrating that it sometimes may be hard to perceive whether an audible reflection came from the left or right.

摘要

回声定位是一种从声音反射中收集信息的能力。大多数先前的研究都集中在检测声音反射的能力上,还有一些研究则集中在定位声音反射的能力上,但之前没有研究在同一批个体中比较这两种能力。我们的研究比较了 10 名无经验的视力正常参与者在 10 个距离(1-4.25 米)处对反射物体的回声检测(反射物体存在或不存在?)和回声定位(反射物体在左侧还是右侧?)的能力,使用了一个自动化系统来研究人类的回声定位。参与者之间存在显著的个体差异,特别是在回声定位任务的表现上。然而,大多数参与者在检测任务上的表现优于定位任务,尤其是在最近的距离(1 米和 1.7 米),这表明有时可能难以感知可听反射是来自左侧还是右侧。

https://cdn.ncbi.nlm.nih.gov/pmc/blobs/14f9/8044610/d1e915271b39/10.1177_03010066211000617-fig1.jpg

文献AI研究员

20分钟写一篇综述,助力文献阅读效率提升50倍。

立即体验

用中文搜PubMed

大模型驱动的PubMed中文搜索引擎

马上搜索

文档翻译

学术文献翻译模型,支持多种主流文档格式。

立即体验