• 文献检索
  • 文档翻译
  • 深度研究
  • 学术资讯
  • Suppr Zotero 插件Zotero 插件
  • 邀请有礼
  • 套餐&价格
  • 历史记录
应用&插件
Suppr Zotero 插件Zotero 插件浏览器插件Mac 客户端Windows 客户端微信小程序
定价
高级版会员购买积分包购买API积分包
服务
文献检索文档翻译深度研究API 文档MCP 服务
关于我们
关于 Suppr公司介绍联系我们用户协议隐私条款
关注我们

Suppr 超能文献

核心技术专利:CN118964589B侵权必究
粤ICP备2023148730 号-1Suppr @ 2026

文献检索

告别复杂PubMed语法,用中文像聊天一样搜索,搜遍4000万医学文献。AI智能推荐,让科研检索更轻松。

立即免费搜索

文件翻译

保留排版,准确专业,支持PDF/Word/PPT等文件格式,支持 12+语言互译。

免费翻译文档

深度研究

AI帮你快速写综述,25分钟生成高质量综述,智能提取关键信息,辅助科研写作。

立即免费体验

新型金属配合物的合成及其细胞毒性活性:以3-(4-氯苯基)-3-羟基-2,2-二甲基丙酸甲酯为原料衍生的潜在CDK8激酶抑制剂

Synthesis and Cytotoxic Activity of Novel Metal Complexes Derived from Methyl-3-(4-chlorophenyl)-3-hydroxy-2,2-dimethylpropanoate as Potential CDK8 Kinase Inhibitors.

作者信息

Aboelmagd Ahmed, El Rayes Samir M, Gomaa Mohamed S, Fathalla Walid, Ali Ibrahim A I, Nafie Mohamed S, Pottoo Faheem H, Khan Firdos Alam, Ibrahim Mohamed M

机构信息

Department of Chemistry, Faculty of Science, Suez Canal University, Ismailia 41522, Egypt.

Department of Pharmaceutical, College of Clinical Pharmacy, ImamAbdulrahman Bin Faisal University, P. O. Box 1982, Dammam 31441, Kingdom of Saudi Arabia.

出版信息

ACS Omega. 2021 Feb 15;6(8):5244-5254. doi: 10.1021/acsomega.0c05263. eCollection 2021 Mar 2.

DOI:10.1021/acsomega.0c05263
PMID:33681565
原文链接:https://pmc.ncbi.nlm.nih.gov/articles/PMC7931189/
Abstract

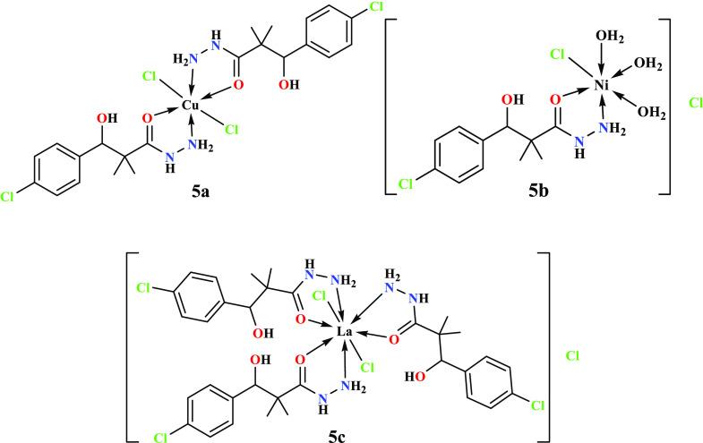
Several metal complexes of methyl-3-(4-chlorophenyl)-3-hydroxy-2,2-dimethylpropanoate derivatives were synthesized and tested for their anti-tumor activities. The ligands include 3-(4-chlorophenyl)-3-hydroxy-2,2-dimethylpropanoic acid (), 3-(4-chlorophenyl)-3-hydroxy-2,2-dimethylpropanehydrazide (), and 3-(4-chlorophenyl)-'-(4-(dimethylamino)benzylidene)-3-hydroxy-2,2-dimethylpropanehydrazide (). The ligands were reacted with Cu (II), Ni (II), and La (III) ions. The formed complexes were characterized using elemental analysis (M%), molar conductivity in DMF (0.001 M), DTA, TG, FTIR, ICP-AES, and magnetic susceptibility. The chemical structures of the obtained complexes were interpreted, and their chemical formulas were postulated. The anti-cancer activities of these complexes were examined on human colorectal carcinoma cells (HCT-116) and also on normal cells (HEK-293). The 48 h post treatments showed that out of 12 compounds, 10 compounds showed inhibitory actions on HCT-116 cells, whereas two compounds did not show any inhibitory actions. Compounds and showed the highest inhibitory actions with IC = 0.154 and 0.18 mM and additionally compounds , , and with IC = 0.267, 0.205, and 0.284 mM, respectively. All tested compounds did not show any inhibitory action on normal HEK-293 cells. Molecular docking results provided a good evidence for activity of the lead compounds and as CDK8-CYCC kinase inhibitors, which may proposed the mechanism of action toward colon cancer therapy.

摘要

合成了几种3-(4-氯苯基)-3-羟基-2,2-二甲基丙酸甲酯衍生物的金属配合物,并对其抗肿瘤活性进行了测试。配体包括3-(4-氯苯基)-3-羟基-2,2-二甲基丙酸、3-(4-氯苯基)-3-羟基-2,2-二甲基丙烷酰肼和3-(4-氯苯基)-α-(4-(二甲氨基)亚苄基)-3-羟基-2,2-二甲基丙烷酰肼。这些配体与铜(II)、镍(II)和镧(III)离子反应。通过元素分析(M%)、在DMF(0.001 M)中的摩尔电导率、差示热分析、热重分析、傅里叶变换红外光谱、电感耦合等离子体原子发射光谱和磁化率对形成的配合物进行了表征。对所得配合物的化学结构进行了解释,并推测了它们的化学式。在人结肠癌细胞(HCT-116)和正常细胞(HEK-293)上检测了这些配合物的抗癌活性。处理48小时后显示,在12种化合物中,10种化合物对HCT-116细胞有抑制作用,而两种化合物没有任何抑制作用。化合物 和 表现出最高的抑制作用,IC50分别为0.154和0.18 mM,此外化合物 、 和 的IC50分别为0.267、0.205和0.284 mM。所有测试化合物对正常HEK-293细胞均未显示任何抑制作用。分子对接结果为先导化合物 和 作为CDK8-CYCC激酶抑制剂的活性提供了有力证据,这可能揭示了其对结肠癌治疗的作用机制。

https://cdn.ncbi.nlm.nih.gov/pmc/blobs/fb36/7931189/db6d1e4501a4/ao0c05263_0003.jpg
https://cdn.ncbi.nlm.nih.gov/pmc/blobs/fb36/7931189/73d7edfede5f/ao0c05263_0004.jpg
https://cdn.ncbi.nlm.nih.gov/pmc/blobs/fb36/7931189/cfec43ad282a/ao0c05263_0005.jpg
https://cdn.ncbi.nlm.nih.gov/pmc/blobs/fb36/7931189/2857a377281d/ao0c05263_0006.jpg
https://cdn.ncbi.nlm.nih.gov/pmc/blobs/fb36/7931189/46fe15f9c957/ao0c05263_0007.jpg
https://cdn.ncbi.nlm.nih.gov/pmc/blobs/fb36/7931189/652fbef382b4/ao0c05263_0002.jpg
https://cdn.ncbi.nlm.nih.gov/pmc/blobs/fb36/7931189/db6d1e4501a4/ao0c05263_0003.jpg
https://cdn.ncbi.nlm.nih.gov/pmc/blobs/fb36/7931189/73d7edfede5f/ao0c05263_0004.jpg
https://cdn.ncbi.nlm.nih.gov/pmc/blobs/fb36/7931189/cfec43ad282a/ao0c05263_0005.jpg
https://cdn.ncbi.nlm.nih.gov/pmc/blobs/fb36/7931189/2857a377281d/ao0c05263_0006.jpg
https://cdn.ncbi.nlm.nih.gov/pmc/blobs/fb36/7931189/46fe15f9c957/ao0c05263_0007.jpg
https://cdn.ncbi.nlm.nih.gov/pmc/blobs/fb36/7931189/652fbef382b4/ao0c05263_0002.jpg
https://cdn.ncbi.nlm.nih.gov/pmc/blobs/fb36/7931189/db6d1e4501a4/ao0c05263_0003.jpg

相似文献

1
Synthesis and Cytotoxic Activity of Novel Metal Complexes Derived from Methyl-3-(4-chlorophenyl)-3-hydroxy-2,2-dimethylpropanoate as Potential CDK8 Kinase Inhibitors.新型金属配合物的合成及其细胞毒性活性:以3-(4-氯苯基)-3-羟基-2,2-二甲基丙酸甲酯为原料衍生的潜在CDK8激酶抑制剂
ACS Omega. 2021 Feb 15;6(8):5244-5254. doi: 10.1021/acsomega.0c05263. eCollection 2021 Mar 2.
2
Newly synthesized 3-(4-chloro-phenyl)-3-hydroxy-2,2-dimethyl-propionic acid methyl ester derivatives selectively inhibit the proliferation of colon cancer cells.新合成的3-(4-氯苯基)-3-羟基-2,2-二甲基丙酸甲酯衍生物可选择性抑制结肠癌细胞的增殖。
RSC Adv. 2020 Feb 28;10(15):8825-8841. doi: 10.1039/c9ra10950a. eCollection 2020 Feb 27.
3
Synthesis and antiproliferative assay of triazolyl-2,2-dimethyl-3-phenylpropanoates as potential HDAC inhibitors.作为潜在组蛋白去乙酰化酶(HDAC)抑制剂的三唑基-2,2-二甲基-3-苯基丙酸酯的合成与抗增殖测定
RSC Adv. 2019 May 7;9(24):13896-13907. doi: 10.1039/c9ra01277j. eCollection 2019 Apr 30.
4
Synthesis, DFT Calculations, Antiproliferative, Bactericidal Activity and Molecular Docking of Novel Mixed-Ligand Salen/8-Hydroxyquinoline Metal Complexes.新型混合配体席夫碱/8-羟基喹啉金属配合物的合成、DFT 计算、抗增殖、杀菌活性及分子对接。
Molecules. 2021 Aug 4;26(16):4725. doi: 10.3390/molecules26164725.
5
Structure-activity relationships of highly cytotoxic copper(II) complexes with modified indolo[3,2-c]quinoline ligands.具有改良吲哚并[3,2-c]喹啉配体的高细胞毒性铜(II)配合物的构效关系。
Inorg Chem. 2010 Dec 6;49(23):11084-95. doi: 10.1021/ic101633z. Epub 2010 Oct 27.
6
Synthesis, structural characterization, and biological studies of ATBS-M complexes (M(II) = Cu, Co, Ni, and Mn): Access for promising antibiotics and anticancer agents.ATBS-M 配合物(M(II) = Cu、Co、Ni 和 Mn)的合成、结构表征和生物学研究:有希望的抗生素和抗癌药物的途径。
Arch Pharm (Weinheim). 2021 Apr;354(4):e2000241. doi: 10.1002/ardp.202000241. Epub 2020 Dec 18.
7
Synthesis, Structure and Cytotoxic Properties of Copper(II) Complexes of 2-Iminocoumarins Bearing a 1,3,5-Triazine or Benzoxazole/Benzothiazole Moiety.2-亚氨基香豆素及其含 1,3,5-三嗪或苯并恶唑/苯并噻唑部分的铜(II)配合物的合成、结构和细胞毒性。
Molecules. 2022 Oct 22;27(21):7155. doi: 10.3390/molecules27217155.
8
DNA binding properties and cell viabilities of metal complexes derived from (E)-2-hydroxy-N'-((thiophen-2-yl)methylene)benzohydrazone and (E)-N'-((thiophen-2-yl)methylene)isonicotinylhydrazone.(E)-2-羟基-N'-((噻吩-2-基)亚甲基)苯甲酰肼和(E)-N'-((噻吩-2-基)亚甲基)异烟酰腙衍生的金属配合物的 DNA 结合性质和细胞活力。
Eur Rev Med Pharmacol Sci. 2023 Jun;27(12):5356-5369. doi: 10.26355/eurrev_202306_32769.
9
Synthesis and biological evaluation of small molecule modulators of CDK8/Cyclin C complex with phenylaminoquinoline scaffold.含苯氨基喹啉骨架的CDK8/细胞周期蛋白C复合物小分子调节剂的合成与生物学评价
PeerJ. 2020 Mar 13;8:e8649. doi: 10.7717/peerj.8649. eCollection 2020.
10
Metal complexes of ONO donor Schiff base ligand as a new class of bioactive compounds: synthesis, characterization and biological evolution.ONO供体席夫碱配体的金属配合物作为一类新型生物活性化合物:合成、表征及生物学研究进展
Spectrochim Acta A Mol Biomol Spectrosc. 2014 Oct 15;131:599-605. doi: 10.1016/j.saa.2014.03.038. Epub 2014 Apr 13.

引用本文的文献

1
CDK8 inhibitors antagonize HIV-1 reactivation and promote provirus latency in T cells.细胞周期蛋白依赖性激酶8(CDK8)抑制剂可拮抗HIV-1再激活并促进T细胞中前病毒的潜伏。
J Virol. 2023 Sep 28;97(9):e0092323. doi: 10.1128/jvi.00923-23. Epub 2023 Sep 6.

本文引用的文献

1
Synthesis and antiproliferative assay of triazolyl-2,2-dimethyl-3-phenylpropanoates as potential HDAC inhibitors.作为潜在组蛋白去乙酰化酶(HDAC)抑制剂的三唑基-2,2-二甲基-3-苯基丙酸酯的合成与抗增殖测定
RSC Adv. 2019 May 7;9(24):13896-13907. doi: 10.1039/c9ra01277j. eCollection 2019 Apr 30.
2
The Roles of Cyclin-Dependent Kinases in Cell-Cycle Progression and Therapeutic Strategies in Human Breast Cancer.细胞周期蛋白依赖性激酶在细胞周期进程中的作用及其在人乳腺癌中的治疗策略。
Int J Mol Sci. 2020 Mar 13;21(6):1960. doi: 10.3390/ijms21061960.
3
Anticandidal and In vitro Anti-Proliferative Activity of Sonochemically synthesized Indium Tin Oxide Nanoparticles.
声化学合成的氧化铟锡纳米粒子的抗真菌和体外抗增殖活性。
Sci Rep. 2020 Feb 24;10(1):3228. doi: 10.1038/s41598-020-60295-w.
4
Convenient Synthesis and Anticancer Activity of Methyl 2-[3-(3-Phenyl-quinoxalin-2-ylsulfanyl)propanamido]alkanoates and -Alkyl 3-((3-Phenyl-quinoxalin-2-yl)sulfanyl)propanamides.2-[3-(3-苯基喹喔啉-2-基硫烷基)丙酰胺基]链烷酸甲酯和3-((3-苯基喹喔啉-2-基)硫烷基)丙酰胺的便捷合成及其抗癌活性
ACS Omega. 2019 Oct 28;4(20):18555-18566. doi: 10.1021/acsomega.9b02320. eCollection 2019 Nov 12.
5
Screening of different drug design tools to predict the mode of action of steroidal derivatives as anti-cancer agents.筛选不同的药物设计工具,以预测甾体衍生物作为抗癌剂的作用模式。
Steroids. 2019 Dec;152:108485. doi: 10.1016/j.steroids.2019.108485. Epub 2019 Sep 3.
6
FMSP-Nanoparticles Induced Cell Death on Human Breast Adenocarcinoma Cell Line (MCF-7 Cells): Morphometric Analysis.FMSP 纳米颗粒诱导人乳腺癌腺癌细胞系(MCF-7 细胞)死亡:形态计量学分析。
Biomolecules. 2018 May 23;8(2):32. doi: 10.3390/biom8020032.
7
Kinase-targeted cancer therapies: progress, challenges and future directions.激酶靶向癌症疗法:进展、挑战与未来方向。
Mol Cancer. 2018 Feb 19;17(1):48. doi: 10.1186/s12943-018-0804-2.
8
In vitro cytotoxicity activity of novel Schiff base ligand-lanthanide complexes.新型希夫碱配体-镧系配合物的体外细胞毒性活性。
Sci Rep. 2018 Feb 14;8(1):3054. doi: 10.1038/s41598-018-21366-1.
9
Synthesis, characterization and antimicrobial study of polymeric transition metal complexes of Mn(II), Co(II), Ni(II), Cu(II) and Zn(II).锰(II)、钴(II)、镍(II)、铜(II)和锌(II)的聚合物过渡金属配合物的合成、表征及抗菌研究
Microb Pathog. 2017 Sep;110:414-425. doi: 10.1016/j.micpath.2017.07.008. Epub 2017 Jul 17.
10
Synthesis and Antitumor Activity of New Group 3 Metallocene Complexes.新型第3族金属茂配合物的合成与抗肿瘤活性
Molecules. 2017 Mar 28;22(4):526. doi: 10.3390/molecules22040526.