• 文献检索
  • 文档翻译
  • 深度研究
  • 学术资讯
  • Suppr Zotero 插件Zotero 插件
  • 邀请有礼
  • 套餐&价格
  • 历史记录
应用&插件
Suppr Zotero 插件Zotero 插件浏览器插件Mac 客户端Windows 客户端微信小程序
定价
高级版会员购买积分包购买API积分包
服务
文献检索文档翻译深度研究API 文档MCP 服务
关于我们
关于 Suppr公司介绍联系我们用户协议隐私条款
关注我们

Suppr 超能文献

核心技术专利:CN118964589B侵权必究
粤ICP备2023148730 号-1Suppr @ 2026

文献检索

告别复杂PubMed语法,用中文像聊天一样搜索,搜遍4000万医学文献。AI智能推荐,让科研检索更轻松。

立即免费搜索

文件翻译

保留排版,准确专业,支持PDF/Word/PPT等文件格式,支持 12+语言互译。

免费翻译文档

深度研究

AI帮你快速写综述,25分钟生成高质量综述,智能提取关键信息,辅助科研写作。

立即免费体验

脑脊髓液 NCAM-1 浓度与早产儿出血后脑积水的神经发育结局相关。

Cerebrospinal fluid NCAM-1 concentration is associated with neurodevelopmental outcome in post-hemorrhagic hydrocephalus of prematurity.

机构信息

Department of Neurosurgery, Washington University St. Louis, St. Louis, MO, United States of America.

Department of Neurosurgery, Vanderbilt University Medical Center, Nashville, TN, United States of America.

出版信息

PLoS One. 2021 Mar 10;16(3):e0247749. doi: 10.1371/journal.pone.0247749. eCollection 2021.

DOI:10.1371/journal.pone.0247749
PMID:33690655
原文链接:https://pmc.ncbi.nlm.nih.gov/articles/PMC7946285/
Abstract

OBJECTIVE

Efforts directed at mitigating neurological disability in preterm infants with intraventricular hemorrhage (IVH) and post hemorrhagic hydrocephalus (PHH) are limited by a dearth of quantifiable metrics capable of predicting long-term outcome. The objective of this study was to examine the relationships between candidate cerebrospinal fluid (CSF) biomarkers of PHH and neurodevelopmental outcomes in infants undergoing neurosurgical treatment for PHH.

STUDY DESIGN

Preterm infants with PHH were enrolled across the Hydrocephalus Clinical Research Network. CSF samples were collected at the time of temporizing neurosurgical procedure (n = 98). Amyloid precursor protein (APP), L1CAM, NCAM-1, and total protein (TP) were compared in PHH versus control CSF. Fifty-four of these PHH subjects underwent Bayley Scales of Infant Development-III (Bayley-III) testing at 15-30 months corrected age. Controlling for false discovery rate (FDR) and adjusting for post-menstrual age (PMA) and IVH grade, Pearson's partial correlation coefficients were used to examine relationships between CSF proteins and Bayley-III composite cognitive, language, and motor scores.

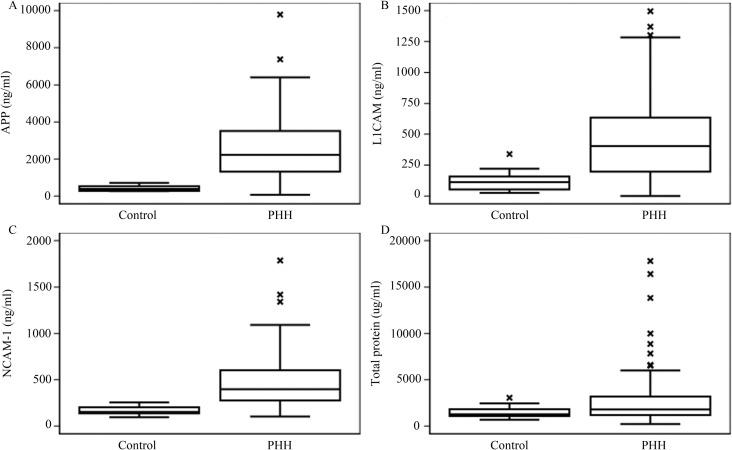
RESULTS

CSF APP, L1CAM, NCAM-1, and TP were elevated in PHH over control at temporizing surgery. CSF NCAM-1 was associated with Bayley-III motor score (R = -0.422, p = 0.007, FDR Q = 0.089), with modest relationships noted with cognition (R = -0.335, p = 0.030, FDR Q = 0.182) and language (R = -0.314, p = 0.048, FDR Q = 0.194) scores. No relationships were observed between CSF APP, L1CAM, or TP and Bayley-III scores. FOHR at the time of temporization did not correlate with Bayley-III scores, though trends were observed with Bayley-III motor (p = 0.0647 and R = -0.2912) and cognitive scores (p = 0.0506 and R = -0.2966).

CONCLUSION

CSF NCAM-1 was associated with neurodevelopment in this multi-institutional PHH cohort. This is the first report relating a specific CSF protein, NCAM-1, to neurodevelopment in PHH. Future work will further investigate a possible role for NCAM-1 as a biomarker of PHH-associated neurological disability.

摘要

目的

针对伴有脑室内出血(IVH)和出血后脑积水(PHH)的早产儿,减轻神经功能障碍的努力受到缺乏能够预测长期结局的可量化指标的限制。本研究的目的是探讨行神经外科治疗 PHH 的婴儿的候选脑脊液(CSF)PHH 生物标志物与神经发育结局之间的关系。

研究设计

PHH 早产儿在脑积水临床研究网络中入组。在临时神经外科手术时采集 CSF 样本(n=98)。比较 PHH 与对照组 CSF 中的淀粉样前体蛋白(APP)、L1CAM、NCAM-1 和总蛋白(TP)。其中 54 例 PHH 受试者在 15-30 个月校正年龄时接受贝利婴幼儿发展量表第三版(Bayley-III)测试。控制假发现率(FDR),并调整胎龄(PMA)和 IVH 分级,采用 Pearson 偏相关系数检验 CSF 蛋白与 Bayley-III 复合认知、语言和运动评分之间的关系。

结果

临时手术时 PHH 的 CSF APP、L1CAM、NCAM-1 和 TP 高于对照组。CSF NCAM-1 与 Bayley-III 运动评分相关(R=-0.422,p=0.007,FDR Q=0.089),与认知(R=-0.335,p=0.030,FDR Q=0.182)和语言(R=-0.314,p=0.048,FDR Q=0.194)评分有中度关系。CSF APP、L1CAM 或 TP 与 Bayley-III 评分无相关性。临时手术时 FOHR 与 Bayley-III 评分无相关性,但与 Bayley-III 运动(p=0.0647,R=-0.2912)和认知评分(p=0.0506,R=-0.2966)有趋势。

结论

本多机构 PHH 队列的 CSF NCAM-1 与神经发育相关。这是首个将特定 CSF 蛋白 NCAM-1 与 PHH 相关神经功能障碍相关的报告。未来的工作将进一步研究 NCAM-1 作为 PHH 相关神经功能障碍的生物标志物的可能作用。

https://cdn.ncbi.nlm.nih.gov/pmc/blobs/3be8/7946285/c8933281d7ca/pone.0247749.g002.jpg
https://cdn.ncbi.nlm.nih.gov/pmc/blobs/3be8/7946285/6f19b21f031b/pone.0247749.g001.jpg
https://cdn.ncbi.nlm.nih.gov/pmc/blobs/3be8/7946285/c8933281d7ca/pone.0247749.g002.jpg
https://cdn.ncbi.nlm.nih.gov/pmc/blobs/3be8/7946285/6f19b21f031b/pone.0247749.g001.jpg
https://cdn.ncbi.nlm.nih.gov/pmc/blobs/3be8/7946285/c8933281d7ca/pone.0247749.g002.jpg

相似文献

1
Cerebrospinal fluid NCAM-1 concentration is associated with neurodevelopmental outcome in post-hemorrhagic hydrocephalus of prematurity.脑脊髓液 NCAM-1 浓度与早产儿出血后脑积水的神经发育结局相关。
PLoS One. 2021 Mar 10;16(3):e0247749. doi: 10.1371/journal.pone.0247749. eCollection 2021.
2
Lumbar Cerebrospinal Fluid Biomarkers of Posthemorrhagic Hydrocephalus of Prematurity: Amyloid Precursor Protein, Soluble Amyloid Precursor Protein α, and L1 Cell Adhesion Molecule.早产儿出血后脑积水的腰椎脑脊液生物标志物:淀粉样前体蛋白、可溶性淀粉样前体蛋白α和L1细胞粘附分子
Neurosurgery. 2017 Jan 1;80(1):82-90. doi: 10.1227/NEU.0000000000001415.
3
Tract-Specific Relationships Between Cerebrospinal Fluid Biomarkers and Periventricular White Matter in Posthemorrhagic Hydrocephalus of Prematurity.早产儿出血后脑积水患者的脑脊液生物标志物与脑室周围白质的特定部位关系。
Neurosurgery. 2021 Feb 16;88(3):698-706. doi: 10.1093/neuros/nyaa466.
4
Cerebrospinal fluid levels of amyloid precursor protein are associated with ventricular size in post-hemorrhagic hydrocephalus of prematurity.早产脑出血后脑积水患者脑脊液中淀粉样前体蛋白水平与脑室大小相关。
PLoS One. 2015 Mar 4;10(3):e0115045. doi: 10.1371/journal.pone.0115045. eCollection 2015.
5
Biochemical profile of human infant cerebrospinal fluid in intraventricular hemorrhage and post-hemorrhagic hydrocephalus of prematurity.人类婴儿脑室出血和早产儿出血后脑积水的脑脊液生化特征。
Fluids Barriers CNS. 2021 Dec 24;18(1):62. doi: 10.1186/s12987-021-00295-8.
6
Chemokine and cytokine levels in the lumbar cerebrospinal fluid of preterm infants with post-hemorrhagic hydrocephalus.早产儿出血后脑积水患者腰椎脑脊液中趋化因子和细胞因子水平。
Fluids Barriers CNS. 2017 Dec 12;14(1):35. doi: 10.1186/s12987-017-0083-0.
7
Outcomes of intraventricular hemorrhage and posthemorrhagic hydrocephalus in a population-based cohort of very preterm infants born to residents of Nova Scotia from 1993 to 2010.1993年至2010年新斯科舍省居民所生极早产儿基于人群队列中的脑室内出血及出血后脑积水的结局
J Neurosurg Pediatr. 2015 Jun;15(6):580-8. doi: 10.3171/2014.11.PEDS14364. Epub 2015 Mar 13.
8
Shunting outcomes in posthemorrhagic hydrocephalus: results of a Hydrocephalus Clinical Research Network prospective cohort study.出血后脑积水的分流结果:脑积水临床研究网络前瞻性队列研究的结果
J Neurosurg Pediatr. 2017 Jul;20(1):19-29. doi: 10.3171/2017.1.PEDS16496. Epub 2017 Apr 28.
9
Elevated cerebrospinal fluid iron and ferritin associated with early severe ventriculomegaly in preterm posthemorrhagic hydrocephalus.早产儿出血后脑积水早期严重脑室扩大与脑脊液铁和铁蛋白升高有关。
J Neurosurg Pediatr. 2022 May 27;30(2):169-176. doi: 10.3171/2022.4.PEDS21463. Print 2022 Aug 1.
10
Longitudinal CSF Iron Pathway Proteins in Posthemorrhagic Hydrocephalus: Associations with Ventricle Size and Neurodevelopmental Outcomes.脑出血后脑积水患者的纵向 CSF 铁通路蛋白:与脑室大小和神经发育结局的关系。
Ann Neurol. 2021 Aug;90(2):217-226. doi: 10.1002/ana.26133. Epub 2021 Jun 25.

引用本文的文献

1
"Proteinjury": a universal pathological mechanism mediated by cerebrospinal fluid in neurodegeneration and trauma.“蛋白质损伤”:一种由脑脊液介导的、在神经退行性变和创伤中普遍存在的病理机制。
Front Cell Dev Biol. 2025 May 20;13:1593122. doi: 10.3389/fcell.2025.1593122. eCollection 2025.
2
Epigenetic scores derived in saliva are associated with gestational age at birth.唾液中提取的表观遗传评分与出生时的胎龄有关。
Clin Epigenetics. 2024 Jun 29;16(1):84. doi: 10.1186/s13148-024-01701-2.
3
Choroid plexus epithelium and its role in neurological diseases.

本文引用的文献

1
School-age outcomes following intraventricular haemorrhage in infants born extremely preterm.极低出生体重儿脑室出血后的学龄期结局。
Arch Dis Child Fetal Neonatal Ed. 2021 Jan;106(1):4-8. doi: 10.1136/archdischild-2020-318989. Epub 2020 Jul 30.
2
Intraventricular Hemorrhage Clearance in Human Neonatal Cerebrospinal Fluid: Associations With Hydrocephalus.人类新生儿脑脊液中脑室内出血清除情况:与脑积水的关联
Stroke. 2020 Jun;51(6):1712-1719. doi: 10.1161/STROKEAHA.119.028744. Epub 2020 May 13.
3
The most useful cranial ultrasound predictor of neurodevelopmental outcome at 2 years for preterm infants.
脉络丛上皮及其在神经疾病中的作用。
Front Mol Neurosci. 2022 Oct 21;15:949231. doi: 10.3389/fnmol.2022.949231. eCollection 2022.
4
Biochemical profile of human infant cerebrospinal fluid in intraventricular hemorrhage and post-hemorrhagic hydrocephalus of prematurity.人类婴儿脑室出血和早产儿出血后脑积水的脑脊液生化特征。
Fluids Barriers CNS. 2021 Dec 24;18(1):62. doi: 10.1186/s12987-021-00295-8.
对于早产儿,2岁时神经发育结局最有用的头颅超声预测指标。
Clin Radiol. 2020 Apr;75(4):278-286. doi: 10.1016/j.crad.2019.11.009. Epub 2019 Dec 20.
4
Does ventricular volume affect the neurodevelopmental outcome in infants with intraventricular hemorrhage?心室容积是否会影响脑室内出血婴儿的神经发育结局?
Childs Nerv Syst. 2020 Mar;36(3):569-575. doi: 10.1007/s00381-019-04355-1. Epub 2019 Aug 29.
5
Impaired hippocampal development and outcomes in very preterm infants with perinatal brain injury.围产期脑损伤的极早产儿中海马发育受损及结局不良。
Neuroimage Clin. 2019;22:101787. doi: 10.1016/j.nicl.2019.101787. Epub 2019 Mar 18.
6
Intraventricular hemorrhage and posthemorrhagic hydrocephalus in preterm infants: diagnosis, classification, and treatment options.早产儿脑室内出血和出血后脑积水:诊断、分类及治疗选择
Childs Nerv Syst. 2019 Jun;35(6):917-927. doi: 10.1007/s00381-019-04127-x. Epub 2019 Apr 5.
7
Assessment of Brain Injury and Brain Volumes after Posthemorrhagic Ventricular Dilatation: A Nested Substudy of the Randomized Controlled ELVIS Trial.脑室内出血后脑积水后脑损伤和脑容量评估:一项随机对照 ELVIS 试验的嵌套子研究。
J Pediatr. 2019 May;208:191-197.e2. doi: 10.1016/j.jpeds.2018.12.062. Epub 2019 Mar 14.
8
L1cam-mediated developmental processes of the nervous system are differentially regulated by proteolytic processing.L1CAM 介导的神经系统发育过程受蛋白水解加工的差异调节。
Sci Rep. 2019 Mar 6;9(1):3716. doi: 10.1038/s41598-019-39884-x.
9
Comparative study of cerebrospinal fluid α-synuclein seeding aggregation assays for diagnosis of Parkinson's disease.对比研究脑脊液α-突触核蛋白种子聚合分析在帕金森病诊断中的应用。
Mov Disord. 2019 Apr;34(4):536-544. doi: 10.1002/mds.27646. Epub 2019 Mar 6.
10
The Relationship Between Clinical Imaging and Neurobehavioral Assessment in Posthemorrhagic Ventricular Dilation of Prematurity.早产儿出血后脑室扩张的临床影像学与神经行为评估之间的关系
Front Physiol. 2019 Feb 11;10:64. doi: 10.3389/fphys.2019.00064. eCollection 2019.